Characterizing landscape configuration effects on eastern spruce budworm infestation dynamics.

IF 3.7 2区 环境科学与生态学 Q1 ECOLOGY
Landscape Ecology Pub Date : 2025-01-01 Epub Date: 2025-08-27 DOI:10.1007/s10980-025-02203-z
Tommaso Trotto, Nicholas C Coops, Alexis Achim, Sarah E Gergel, Dominik Roeser
{"title":"Characterizing landscape configuration effects on eastern spruce budworm infestation dynamics.","authors":"Tommaso Trotto, Nicholas C Coops, Alexis Achim, Sarah E Gergel, Dominik Roeser","doi":"10.1007/s10980-025-02203-z","DOIUrl":null,"url":null,"abstract":"<p><strong>Context: </strong>Spruce budworm (<i>Choristoneura fumiferana</i>, Clem, SBW) is the largest defoliator of boreal and mixedwood forests in North America. Its impact is directly linked to the quality and availability of primary host species such as balsam fir (<i>Abies balsamea</i>, (L.) Mill.) at the stand level. At the landscape level, the ability of SBW to disperse over long distances suggests that the configuration of available resources may also play an important role in affecting infestation success and outcomes.</p><p><strong>Objectives: </strong>We hypothesized that fragmented landscapes characterized by smaller and more dispersed conifer patches intermixed with other land cover types may promote infestations thanks to the ability of SBW to saturate the landscape and avidly consume limited resources. To test our hypothesis, we investigated to what degree landscape configuration plays a significant role in modulating defoliations using spectrally-segmented forest stands. Next, we determined the major drivers of infestation probabilities and how they have evolved as a result of landscape configuration changes.</p><p><strong>Methods: </strong>We capitalized on a combination of Landsat imagery, Forest Resource Inventory (FRI) data, and probability estimates from random forest models to investigate multi-scale effects of landscape configuration on SBW infestations over 13 years in eastern Quebec, Canada, in a spatially-explicit fashion. Based on annual best available pixel composites of surface reflectance derived from Landsat, we superimposed a 400 m tessellation over which we extracted six landscape configuration metrics describing area, aggregation, and shape for infested and non-infested conifer forest patches. Next, probability estimates from two sets of random forest models were extracted from the configuration metrics at annual time steps and for the entire length of the time series.</p><p><strong>Results: </strong>Landscapes characterized by greater fragmentation of conifer patches had a higher risk of infestation. In such landscapes, greater fragmentation was indicated by smaller and more variable-sized conifer patches, with a mean patch area < 40 ha (CV > 100 ha) and a landscape patch index < 50 %. In addition, such areas had more isolated patches and more complex shapes, as indicated by cohesion < 97 %, landscape shape index > 3, and shape > 1.35. The landscape patch index, quantifying the percentage of landscape covered by the largest coniferous patch, had the greatest influence on SBW infestations. These results confirmed our initial hypothesis that a higher level of fragmentation of conifer patches may favor infestation establishment.</p><p><strong>Conclusions: </strong>We demonstrated the use of freely available Landsat imagery to extract configuration metrics in a spatially-explicit fashion. Further, we highlighted the value of using probability estimates to capture landscape configurations at higher risk of infestations. This knowledge can inform forest management practices, such as where harvesting operations may be carried out on the landscape or where planting may be prioritized to reduce conifer stand fragmentation and infestation risk.</p><p><strong>Supplementary information: </strong>The online version contains supplementary material available at 10.1007/s10980-025-02203-z.</p>","PeriodicalId":54745,"journal":{"name":"Landscape Ecology","volume":"40 9","pages":"183"},"PeriodicalIF":3.7000,"publicationDate":"2025-01-01","publicationTypes":"Journal Article","fieldsOfStudy":null,"isOpenAccess":false,"openAccessPdf":"https://www.ncbi.nlm.nih.gov/pmc/articles/PMC12380986/pdf/","citationCount":"0","resultStr":null,"platform":"Semanticscholar","paperid":null,"PeriodicalName":"Landscape Ecology","FirstCategoryId":"93","ListUrlMain":"https://doi.org/10.1007/s10980-025-02203-z","RegionNum":2,"RegionCategory":"环境科学与生态学","ArticlePicture":[],"TitleCN":null,"AbstractTextCN":null,"PMCID":null,"EPubDate":"2025/8/27 0:00:00","PubModel":"Epub","JCR":"Q1","JCRName":"ECOLOGY","Score":null,"Total":0}
引用次数: 0

Abstract

Context: Spruce budworm (Choristoneura fumiferana, Clem, SBW) is the largest defoliator of boreal and mixedwood forests in North America. Its impact is directly linked to the quality and availability of primary host species such as balsam fir (Abies balsamea, (L.) Mill.) at the stand level. At the landscape level, the ability of SBW to disperse over long distances suggests that the configuration of available resources may also play an important role in affecting infestation success and outcomes.

Objectives: We hypothesized that fragmented landscapes characterized by smaller and more dispersed conifer patches intermixed with other land cover types may promote infestations thanks to the ability of SBW to saturate the landscape and avidly consume limited resources. To test our hypothesis, we investigated to what degree landscape configuration plays a significant role in modulating defoliations using spectrally-segmented forest stands. Next, we determined the major drivers of infestation probabilities and how they have evolved as a result of landscape configuration changes.

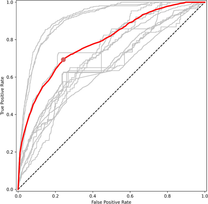
Methods: We capitalized on a combination of Landsat imagery, Forest Resource Inventory (FRI) data, and probability estimates from random forest models to investigate multi-scale effects of landscape configuration on SBW infestations over 13 years in eastern Quebec, Canada, in a spatially-explicit fashion. Based on annual best available pixel composites of surface reflectance derived from Landsat, we superimposed a 400 m tessellation over which we extracted six landscape configuration metrics describing area, aggregation, and shape for infested and non-infested conifer forest patches. Next, probability estimates from two sets of random forest models were extracted from the configuration metrics at annual time steps and for the entire length of the time series.

Results: Landscapes characterized by greater fragmentation of conifer patches had a higher risk of infestation. In such landscapes, greater fragmentation was indicated by smaller and more variable-sized conifer patches, with a mean patch area < 40 ha (CV > 100 ha) and a landscape patch index < 50 %. In addition, such areas had more isolated patches and more complex shapes, as indicated by cohesion < 97 %, landscape shape index > 3, and shape > 1.35. The landscape patch index, quantifying the percentage of landscape covered by the largest coniferous patch, had the greatest influence on SBW infestations. These results confirmed our initial hypothesis that a higher level of fragmentation of conifer patches may favor infestation establishment.

Conclusions: We demonstrated the use of freely available Landsat imagery to extract configuration metrics in a spatially-explicit fashion. Further, we highlighted the value of using probability estimates to capture landscape configurations at higher risk of infestations. This knowledge can inform forest management practices, such as where harvesting operations may be carried out on the landscape or where planting may be prioritized to reduce conifer stand fragmentation and infestation risk.

Supplementary information: The online version contains supplementary material available at 10.1007/s10980-025-02203-z.

Abstract Image

Abstract Image

Abstract Image

景观配置对东部云杉芽虫侵染动态的影响。
背景:云杉budworm (Choristoneura fumiferana, Clem, SBW)是北美北方和混交林中最大的落叶动物。它的影响与主要寄主物种如苦瓜冷杉(Abies balsamea, (L.))的质量和可得性直接相关。磨坊)在看台水平。在景观水平上,SBW远距离分散的能力表明,可用资源的配置也可能在影响虫害成功和结果方面发挥重要作用。研究目的:我们假设,以更小、更分散的针叶树斑块与其他土地覆盖类型混合为特征的破碎化景观可能会促进侵染,这是因为SBW能够使景观饱和并大量消耗有限的资源。为了验证我们的假设,我们研究了景观配置在多大程度上对光谱分割林分的落叶调节起着重要作用。接下来,我们确定了入侵概率的主要驱动因素,以及它们是如何随着景观配置变化而演变的。方法:结合Landsat图像、森林资源调查(FRI)数据和随机森林模型的概率估计,以空间明确的方式研究了13年来加拿大魁北克省东部景观配置对SBW侵害的多尺度影响。基于来自Landsat的年度最佳地表反射率像素复合数据,我们叠加了一个400 m的镶嵌图,在此基础上提取了描述侵染和未侵染针叶林斑块的面积、聚集和形状的6个景观配置指标。接下来,从配置度量中提取两组随机森林模型的概率估计,在每年的时间步长和整个时间序列的长度。结果:针叶树斑块破碎度越高的景观,侵染风险越高。在这些景观中,针叶林斑块的破碎化程度越高,平均斑块面积< 40 ha (CV bb0 ~ 100 ha),景观斑块指数< 50%。此外,该地区斑块较为孤立,景观形态较为复杂,内聚力< 97%,景观形态指数>.3,景观形态> 1.35。景观斑块指数(量化最大针叶斑块覆盖的景观百分比)对SBW侵害的影响最大。这些结果证实了我们最初的假设,即较高水平的针叶树斑块碎片化可能有利于虫害的建立。结论:我们展示了使用免费可用的陆地卫星图像以空间明确的方式提取配置指标。此外,我们强调了使用概率估计来捕获具有较高感染风险的景观配置的价值。这些知识可以为森林管理实践提供信息,例如可以在景观上进行采伐作业,或者可以优先种植以减少针叶林破碎和虫害风险。补充信息:在线版本包含补充资料,提供地址为10.1007/s10980-025-02203-z。
本文章由计算机程序翻译,如有差异,请以英文原文为准。
求助全文
约1分钟内获得全文 求助全文
来源期刊
Landscape Ecology
Landscape Ecology 环境科学-地球科学综合
CiteScore
8.30
自引率
7.70%
发文量
164
审稿时长
8-16 weeks
期刊介绍: Landscape Ecology is the flagship journal of a well-established and rapidly developing interdisciplinary science that focuses explicitly on the ecological understanding of spatial heterogeneity. Landscape Ecology draws together expertise from both biophysical and socioeconomic sciences to explore basic and applied research questions concerning the ecology, conservation, management, design/planning, and sustainability of landscapes as coupled human-environment systems. Landscape ecology studies are characterized by spatially explicit methods in which spatial attributes and arrangements of landscape elements are directly analyzed and related to ecological processes.
×
引用
GB/T 7714-2015
复制
MLA
复制
APA
复制
导出至
BibTeX EndNote RefMan NoteFirst NoteExpress
×
提示
您的信息不完整,为了账户安全,请先补充。
现在去补充
×
提示
您因"违规操作"
具体请查看互助需知
我知道了
×
提示
确定
请完成安全验证×
copy
已复制链接
快去分享给好友吧!
我知道了
右上角分享
点击右上角分享
0
联系我们:info@booksci.cn Book学术提供免费学术资源搜索服务,方便国内外学者检索中英文文献。致力于提供最便捷和优质的服务体验。 Copyright © 2023 布克学术 All rights reserved.
京ICP备2023020795号-1
ghs 京公网安备 11010802042870号
Book学术文献互助
Book学术文献互助群
群 号:604180095
Book学术官方微信