Change-of-Direction Deficit and Positional Physical Profiles in Youth Futsal Players: A Cross-Sectional Study.

IF 2.9 Q2 SPORT SCIENCES
Sports Pub Date : 2025-08-12 DOI:10.3390/sports13080263
Oscar Villanueva-Guerrero, Oliver Gonzalo-Skok, Rafael Albalad-Aiguabella, Elena Mainer-Pardos
{"title":"Change-of-Direction Deficit and Positional Physical Profiles in Youth Futsal Players: A Cross-Sectional Study.","authors":"Oscar Villanueva-Guerrero, Oliver Gonzalo-Skok, Rafael Albalad-Aiguabella, Elena Mainer-Pardos","doi":"10.3390/sports13080263","DOIUrl":null,"url":null,"abstract":"<p><p>This study aimed to describe and assess differences among playing positions, to determine playing position profiles, and to analyze the relationships between the change-of-direction deficit (CODD) percentage and the other anthropometric and performance variables. A total of 98 young futsal players (age: 17 ± 1 years) from the highest national level in Spain were assessed using a cross-sectional design. Anthropometric variables such as height and body mass were recorded. The performance tests included countermovement jumps; horizontal jumps; sprint tests (10 m and 25 m); change-of-direction (COD) tests, including a 10 m test with one COD of 180° (COD180) and a 25 m test with 4 CODs (V-cut); and the percentage CODD. Furthermore, asymmetries were recorded. The group comparisons were considered statistically significant at <i>p</i> ≤ 0.05 and were supported by the effect sizes and mean differences. Significant differences were found among playing positions, showing that pivots and goalkeepers were significantly taller than left- and right-wingers and defenders (<i>p</i> < 0.05, effect size (ES) = -1.42 to 0.72). Goalkeepers were significantly slower than the rest of the positions in COD180 to the left (<i>p</i> < 0.05, ES = 1.32 to 1.89). A very large association was found between the CODDs of 25 m and 25 m (<i>p</i> < 0.001; r = -0.72). These results suggest that pivots and goalkeepers are taller and larger than the other players. However, aside from goalkeepers, no differences in performance variables were observed among the outfield players. In addition, a lower %CODD is associated with a faster COD performance, highlighting its importance in training.</p>","PeriodicalId":53303,"journal":{"name":"Sports","volume":"13 8","pages":""},"PeriodicalIF":2.9000,"publicationDate":"2025-08-12","publicationTypes":"Journal Article","fieldsOfStudy":null,"isOpenAccess":false,"openAccessPdf":"https://www.ncbi.nlm.nih.gov/pmc/articles/PMC12390412/pdf/","citationCount":"0","resultStr":null,"platform":"Semanticscholar","paperid":null,"PeriodicalName":"Sports","FirstCategoryId":"1085","ListUrlMain":"https://doi.org/10.3390/sports13080263","RegionNum":0,"RegionCategory":null,"ArticlePicture":[],"TitleCN":null,"AbstractTextCN":null,"PMCID":null,"EPubDate":"","PubModel":"","JCR":"Q2","JCRName":"SPORT SCIENCES","Score":null,"Total":0}
引用次数: 0

Abstract

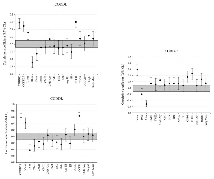
This study aimed to describe and assess differences among playing positions, to determine playing position profiles, and to analyze the relationships between the change-of-direction deficit (CODD) percentage and the other anthropometric and performance variables. A total of 98 young futsal players (age: 17 ± 1 years) from the highest national level in Spain were assessed using a cross-sectional design. Anthropometric variables such as height and body mass were recorded. The performance tests included countermovement jumps; horizontal jumps; sprint tests (10 m and 25 m); change-of-direction (COD) tests, including a 10 m test with one COD of 180° (COD180) and a 25 m test with 4 CODs (V-cut); and the percentage CODD. Furthermore, asymmetries were recorded. The group comparisons were considered statistically significant at p ≤ 0.05 and were supported by the effect sizes and mean differences. Significant differences were found among playing positions, showing that pivots and goalkeepers were significantly taller than left- and right-wingers and defenders (p < 0.05, effect size (ES) = -1.42 to 0.72). Goalkeepers were significantly slower than the rest of the positions in COD180 to the left (p < 0.05, ES = 1.32 to 1.89). A very large association was found between the CODDs of 25 m and 25 m (p < 0.001; r = -0.72). These results suggest that pivots and goalkeepers are taller and larger than the other players. However, aside from goalkeepers, no differences in performance variables were observed among the outfield players. In addition, a lower %CODD is associated with a faster COD performance, highlighting its importance in training.

Abstract Image

青少年五人制足球运动员方向改变缺陷与位置身体特征的横断面研究。
本研究旨在描述和评估不同打球位置之间的差异,确定打球位置概况,并分析方向变化缺陷(CODD)百分比与其他人体测量和表现变量之间的关系。采用横断面设计对来自西班牙最高国家水平的98名年轻五人制足球运动员(年龄:17±1岁)进行评估。记录了身高和体重等人体测量变量。性能测试包括反向跳跃;水平跳跃;冲刺测试(10米和25米);方向改变(COD)试验,包括10米试验,其中一个COD为180°(COD180), 25米试验,4个COD (V-cut);CODD的百分比。此外,还记录了不对称。p≤0.05认为组间比较具有统计学意义,并以效应量和平均差异为依据。各位置间存在显著性差异,中锋和守门员显著高于左右边锋和后卫(p < 0.05,效应值(ES) = -1.42 ~ 0.72)。守门员的左移速度明显慢于COD180其他位置(p < 0.05, ES = 1.32 ~ 1.89)。25 m和25 m的codd之间存在非常大的相关性(p < 0.001; r = -0.72)。这些结果表明,中锋和守门员比其他球员更高、更大。然而,除了守门员之外,外场球员的表现变量没有差异。此外,较低的%CODD与更快的COD表现相关,突出了其在训练中的重要性。
本文章由计算机程序翻译,如有差异,请以英文原文为准。
求助全文
约1分钟内获得全文 求助全文
来源期刊
Sports
Sports SPORT SCIENCES-
CiteScore
4.10
自引率
7.40%
发文量
167
审稿时长
11 weeks
×
引用
GB/T 7714-2015
复制
MLA
复制
APA
复制
导出至
BibTeX EndNote RefMan NoteFirst NoteExpress
×
提示
您的信息不完整,为了账户安全,请先补充。
现在去补充
×
提示
您因"违规操作"
具体请查看互助需知
我知道了
×
提示
确定
请完成安全验证×
copy
已复制链接
快去分享给好友吧!
我知道了
右上角分享
点击右上角分享
0
联系我们:info@booksci.cn Book学术提供免费学术资源搜索服务,方便国内外学者检索中英文文献。致力于提供最便捷和优质的服务体验。 Copyright © 2023 布克学术 All rights reserved.
京ICP备2023020795号-1
ghs 京公网安备 11010802042870号
Book学术文献互助
Book学术文献互助群
群 号:604180095
Book学术官方微信