Association between the dietary index for gut microbiota and Alzheimer's disease: A cross-sectional study from the National Health and Nutrition Examination Survey (2004 to 2018).

IF 4.4 Q1 CLINICAL NEUROLOGY
Jingjing Liu, Shaoqiang Huang
{"title":"Association between the dietary index for gut microbiota and Alzheimer's disease: A cross-sectional study from the National Health and Nutrition Examination Survey (2004 to 2018).","authors":"Jingjing Liu, Shaoqiang Huang","doi":"10.1002/dad2.70170","DOIUrl":null,"url":null,"abstract":"<p><strong>Introduction: </strong>Emerging evidence implicates gut microbiota (GM), shaped by diet, in Alzheimer's disease (AD) pathogenesis. However, the association between the dietary index for GM (DI-GM) and AD remains unclear.</p><p><strong>Methods: </strong>This cross-sectional study analyzed data from 28,830 adults aged ≥20 years in the 2004-2018 National Health and Nutrition Examination Survey (NHANES). The DI-GM score, derived from dietary recalls, comprised beneficial to GM score (BGMS) and unfavorable to GM score (UGMS) components. AD was identified via self-report, medications, or death certificates. Multivariable weighted logistic regression, restricted cubic spline, and subgroup analyses were performed.</p><p><strong>Results: </strong>Contrary to expectations, higher DI-GM score and UGMS were associated with increased AD prevalence (DI-GM: odds ratio [OR] = 1.24, 95% CI: 1.02 to 1.52, <i>p</i> = 0.033; UGMS: OR = 1.36, 95% CI: 1.10 to 1.69, <i>p</i> = 0.005).</p><p><strong>Discussion: </strong>The DI-GM was positively associated with AD prevalence, suggesting that imbalanced plant-based diets low in protein or key nutrients may elevate AD risk despite presumed microbiota benefits.</p><p><strong>Highlights: </strong>Higher DI-GM and UGMS were significantly associated with greater AD prevalence in US adults.Restricted cubic spline analyses showed linear and non-linear associations of DI-GM and UGMS with AD, respectively.Results challenge prior assumptions that higher DI-GM scores are uniformly linked to health benefits.Imbalanced plant-based diets low in protein or key nutrients may adversely affect cognitive aging despite presumed microbiota benefits.</p>","PeriodicalId":53226,"journal":{"name":"Alzheimer''s and Dementia: Diagnosis, Assessment and Disease Monitoring","volume":"17 3","pages":"e70170"},"PeriodicalIF":4.4000,"publicationDate":"2025-08-25","publicationTypes":"Journal Article","fieldsOfStudy":null,"isOpenAccess":false,"openAccessPdf":"https://www.ncbi.nlm.nih.gov/pmc/articles/PMC12375974/pdf/","citationCount":"0","resultStr":null,"platform":"Semanticscholar","paperid":null,"PeriodicalName":"Alzheimer''s and Dementia: Diagnosis, Assessment and Disease Monitoring","FirstCategoryId":"1085","ListUrlMain":"https://doi.org/10.1002/dad2.70170","RegionNum":0,"RegionCategory":null,"ArticlePicture":[],"TitleCN":null,"AbstractTextCN":null,"PMCID":null,"EPubDate":"2025/7/1 0:00:00","PubModel":"eCollection","JCR":"Q1","JCRName":"CLINICAL NEUROLOGY","Score":null,"Total":0}
引用次数: 0

Abstract

Introduction: Emerging evidence implicates gut microbiota (GM), shaped by diet, in Alzheimer's disease (AD) pathogenesis. However, the association between the dietary index for GM (DI-GM) and AD remains unclear.

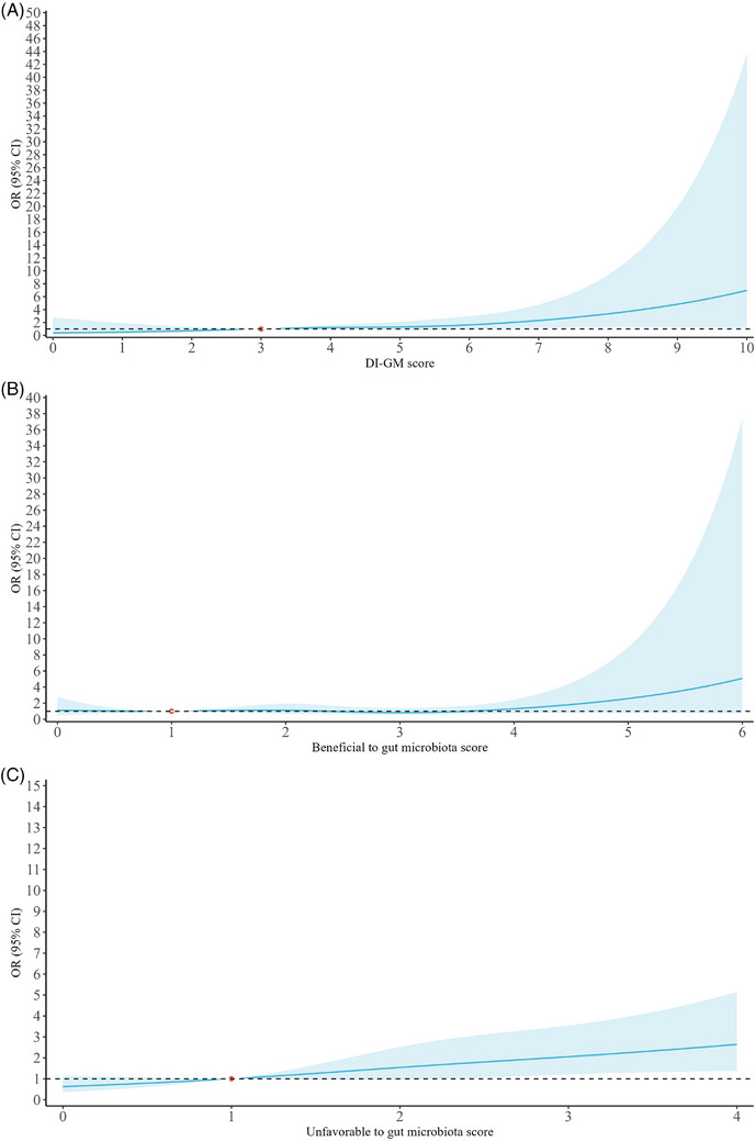
Methods: This cross-sectional study analyzed data from 28,830 adults aged ≥20 years in the 2004-2018 National Health and Nutrition Examination Survey (NHANES). The DI-GM score, derived from dietary recalls, comprised beneficial to GM score (BGMS) and unfavorable to GM score (UGMS) components. AD was identified via self-report, medications, or death certificates. Multivariable weighted logistic regression, restricted cubic spline, and subgroup analyses were performed.

Results: Contrary to expectations, higher DI-GM score and UGMS were associated with increased AD prevalence (DI-GM: odds ratio [OR] = 1.24, 95% CI: 1.02 to 1.52, p = 0.033; UGMS: OR = 1.36, 95% CI: 1.10 to 1.69, p = 0.005).

Discussion: The DI-GM was positively associated with AD prevalence, suggesting that imbalanced plant-based diets low in protein or key nutrients may elevate AD risk despite presumed microbiota benefits.

Highlights: Higher DI-GM and UGMS were significantly associated with greater AD prevalence in US adults.Restricted cubic spline analyses showed linear and non-linear associations of DI-GM and UGMS with AD, respectively.Results challenge prior assumptions that higher DI-GM scores are uniformly linked to health benefits.Imbalanced plant-based diets low in protein or key nutrients may adversely affect cognitive aging despite presumed microbiota benefits.

Abstract Image

Abstract Image

Abstract Image

肠道微生物群饮食指数与阿尔茨海默病之间的关系:来自国家健康与营养检查调查(2004年至2018年)的横断面研究。
新出现的证据表明,饮食塑造的肠道微生物群(GM)与阿尔茨海默病(AD)的发病机制有关。然而,膳食中GM指数(DI-GM)与AD之间的关系尚不清楚。方法:本横断面研究分析了2004-2018年国家健康与营养检查调查(NHANES)中28,830名年龄≥20岁的成年人的数据。DI-GM评分来源于饮食回顾,由有益GM评分(BGMS)和不利GM评分(UGMS)组成。AD是通过自我报告、药物或死亡证明来确定的。进行了多变量加权逻辑回归、受限三次样条和亚组分析。结果:与预期相反,较高的DI-GM评分和UGMS与AD患病率增加相关(DI-GM:比值比[OR] = 1.24, 95% CI: 1.02至1.52,p = 0.033; UGMS: OR = 1.36, 95% CI: 1.10至1.69,p = 0.005)。讨论:DI-GM与AD患病率呈正相关,这表明尽管假定微生物群有益,但蛋白质或关键营养素含量低的不平衡植物性饮食可能会增加AD风险。在美国成人中,较高的DI-GM和UGMS与较高的AD患病率显著相关。限制三次样条分析显示DI-GM和UGMS分别与AD呈线性和非线性关系。研究结果挑战了先前的假设,即较高的DI-GM分数与健康益处一致相关。尽管假定微生物群有益,但蛋白质或关键营养素含量低的不平衡植物性饮食可能对认知衰老产生不利影响。
本文章由计算机程序翻译,如有差异,请以英文原文为准。
求助全文
约1分钟内获得全文 求助全文
来源期刊
CiteScore
7.80
自引率
7.50%
发文量
101
审稿时长
8 weeks
期刊介绍: Alzheimer''s & Dementia: Diagnosis, Assessment & Disease Monitoring (DADM) is an open access, peer-reviewed, journal from the Alzheimer''s Association® that will publish new research that reports the discovery, development and validation of instruments, technologies, algorithms, and innovative processes. Papers will cover a range of topics interested in the early and accurate detection of individuals with memory complaints and/or among asymptomatic individuals at elevated risk for various forms of memory disorders. The expectation for published papers will be to translate fundamental knowledge about the neurobiology of the disease into practical reports that describe both the conceptual and methodological aspects of the submitted scientific inquiry. Published topics will explore the development of biomarkers, surrogate markers, and conceptual/methodological challenges. Publication priority will be given to papers that 1) describe putative surrogate markers that accurately track disease progression, 2) biomarkers that fulfill international regulatory requirements, 3) reports from large, well-characterized population-based cohorts that comprise the heterogeneity and diversity of asymptomatic individuals and 4) algorithmic development that considers multi-marker arrays (e.g., integrated-omics, genetics, biofluids, imaging, etc.) and advanced computational analytics and technologies.
×
引用
GB/T 7714-2015
复制
MLA
复制
APA
复制
导出至
BibTeX EndNote RefMan NoteFirst NoteExpress
×
提示
您的信息不完整,为了账户安全,请先补充。
现在去补充
×
提示
您因"违规操作"
具体请查看互助需知
我知道了
×
提示
确定
请完成安全验证×
copy
已复制链接
快去分享给好友吧!
我知道了
右上角分享
点击右上角分享
0
联系我们:info@booksci.cn Book学术提供免费学术资源搜索服务,方便国内外学者检索中英文文献。致力于提供最便捷和优质的服务体验。 Copyright © 2023 布克学术 All rights reserved.
京ICP备2023020795号-1
ghs 京公网安备 11010802042870号
Book学术文献互助
Book学术文献互助群
群 号:604180095
Book学术官方微信