Educational and economic disparities and risk factors associated with diabetes and impaired fasting glucose in Cambodia: analysis of a national population-based study.

IF 4.3 3区 医学 Q1 PUBLIC, ENVIRONMENTAL & OCCUPATIONAL HEALTH
Rei Haruyama, Md Shafiur Rahman, Md Mahfuzur Rahman, Sam Ath Khim, Ada Moadsiri, Savina Chham, Srean Chhim, Hero Kol, Maly Phy
{"title":"Educational and economic disparities and risk factors associated with diabetes and impaired fasting glucose in Cambodia: analysis of a national population-based study.","authors":"Rei Haruyama, Md Shafiur Rahman, Md Mahfuzur Rahman, Sam Ath Khim, Ada Moadsiri, Savina Chham, Srean Chhim, Hero Kol, Maly Phy","doi":"10.7189/jogh.15.04251","DOIUrl":null,"url":null,"abstract":"<p><strong>Background: </strong>In this study, we aimed to quantify the magnitude of educational and economic disparities and examine risk factors associated with diabetes and impaired fasting glucose in Cambodia.</p><p><strong>Methods: </strong>We used data from the 2023 STEPwise approach to noncommunicable risk factor surveillance to analyse 3660 participants aged 18-69 years. We quantified the extent of disparities using the regression-based slope index of inequality (SII) and relative index of inequality (RII). We used multi-level modified Poisson regression models to identify the potential risk factors.</p><p><strong>Results: </strong>Overall, the prevalence of diabetes and impaired fasting glucose was 6.4% (95% confidence interval (CI) = 5.6, 7.3) and 4.4% (95% CI = 3.6, 5.3). The magnitude of educational inequality in the prevalence of diabetes was significant, with the disease more concentrated among the non-educated population (SII = -7.6; 95% CI = -12.0, -3.3). Economic inequality in diabetes prevalence was less pronounced than education-based inequality at the national level (SII = -0.7; 95% CI = -4.5, 3.0); however, rural areas showed a concentration of diabetes among economically disadvantaged groups (SII = -4.7; 95% CI = -9.1, -0.3). Key factors associated with diabetes were advanced age ≥40 years, overweight (prevalence ratio (PR) = 1.4; 95% CI = 1.0, 2.0), obesity (PR = 1.7; 95% CI = 1.1, 2.5), comorbid hypertension (PR = 2.4; 95% CI = 1.8, 3.1), and daily alcohol consumption (PR = 2.0; 95% CI = 1.2, 3.3). Daily sugar-sweetened beverage consumption (PR = 1.8; 95% CI = 1.1, 3.1) also showed an increased risk of undiagnosed diabetes.</p><p><strong>Conclusions: </strong>The significant educational and economic disparities underscore the need for targeted interventions aimed at supporting non-educated and economically poor populations. Strengthening public health measures to address key risk factors, particularly alcohol and sugar-sweetened beverage consumption, is essential to curbing the growing burden of diabetes in Cambodia.</p>","PeriodicalId":48734,"journal":{"name":"Journal of Global Health","volume":"15 ","pages":"04251"},"PeriodicalIF":4.3000,"publicationDate":"2025-08-22","publicationTypes":"Journal Article","fieldsOfStudy":null,"isOpenAccess":false,"openAccessPdf":"https://www.ncbi.nlm.nih.gov/pmc/articles/PMC12371606/pdf/","citationCount":"0","resultStr":null,"platform":"Semanticscholar","paperid":null,"PeriodicalName":"Journal of Global Health","FirstCategoryId":"3","ListUrlMain":"https://doi.org/10.7189/jogh.15.04251","RegionNum":3,"RegionCategory":"医学","ArticlePicture":[],"TitleCN":null,"AbstractTextCN":null,"PMCID":null,"EPubDate":"","PubModel":"","JCR":"Q1","JCRName":"PUBLIC, ENVIRONMENTAL & OCCUPATIONAL HEALTH","Score":null,"Total":0}
引用次数: 0

Abstract

Background: In this study, we aimed to quantify the magnitude of educational and economic disparities and examine risk factors associated with diabetes and impaired fasting glucose in Cambodia.

Methods: We used data from the 2023 STEPwise approach to noncommunicable risk factor surveillance to analyse 3660 participants aged 18-69 years. We quantified the extent of disparities using the regression-based slope index of inequality (SII) and relative index of inequality (RII). We used multi-level modified Poisson regression models to identify the potential risk factors.

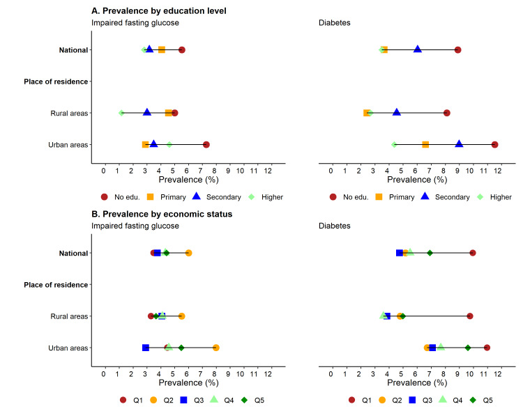
Results: Overall, the prevalence of diabetes and impaired fasting glucose was 6.4% (95% confidence interval (CI) = 5.6, 7.3) and 4.4% (95% CI = 3.6, 5.3). The magnitude of educational inequality in the prevalence of diabetes was significant, with the disease more concentrated among the non-educated population (SII = -7.6; 95% CI = -12.0, -3.3). Economic inequality in diabetes prevalence was less pronounced than education-based inequality at the national level (SII = -0.7; 95% CI = -4.5, 3.0); however, rural areas showed a concentration of diabetes among economically disadvantaged groups (SII = -4.7; 95% CI = -9.1, -0.3). Key factors associated with diabetes were advanced age ≥40 years, overweight (prevalence ratio (PR) = 1.4; 95% CI = 1.0, 2.0), obesity (PR = 1.7; 95% CI = 1.1, 2.5), comorbid hypertension (PR = 2.4; 95% CI = 1.8, 3.1), and daily alcohol consumption (PR = 2.0; 95% CI = 1.2, 3.3). Daily sugar-sweetened beverage consumption (PR = 1.8; 95% CI = 1.1, 3.1) also showed an increased risk of undiagnosed diabetes.

Conclusions: The significant educational and economic disparities underscore the need for targeted interventions aimed at supporting non-educated and economically poor populations. Strengthening public health measures to address key risk factors, particularly alcohol and sugar-sweetened beverage consumption, is essential to curbing the growing burden of diabetes in Cambodia.

Abstract Image

Abstract Image

Abstract Image

柬埔寨的教育和经济差异以及与糖尿病和空腹血糖受损相关的危险因素:一项基于全国人群的研究分析
背景:在这项研究中,我们旨在量化柬埔寨教育和经济差异的程度,并检查与糖尿病和空腹血糖受损相关的危险因素。方法:我们使用2023年逐步非传染性危险因素监测方法的数据,分析了3660名年龄在18-69岁之间的参与者。我们使用基于回归的不平等斜率指数(SII)和相对不平等指数(RII)来量化差异的程度。我们使用多级修正泊松回归模型来识别潜在的危险因素。结果:总体而言,糖尿病和空腹血糖受损的患病率分别为6.4%(95%可信区间(CI) = 5.6, 7.3)和4.4% (95% CI = 3.6, 5.3)。糖尿病患病率的教育不平等程度是显著的,疾病更集中在未受教育的人群中(SII = -7.6; 95% CI = -12.0, -3.3)。在国家层面上,经济不平等对糖尿病患病率的影响不如教育不平等那么明显(SII = -0.7; 95% CI = -4.5, 3.0);然而,农村地区的糖尿病集中在经济条件较差的人群中(SII = -4.7; 95% CI = -9.1, -0.3)。与糖尿病相关的关键因素为高龄≥40岁、超重(患病率比(PR) = 1.4;95% CI = 1.0, 2.0),肥胖(公关= 1.7,95% CI = 1.1, 2.5),共病高血压(公关= 2.4,95% CI = 1.8, 3.1),和每日饮酒(公关= 2.0,95% CI = 1.2, 3.3)。每天饮用含糖饮料(PR = 1.8; 95% CI = 1.1, 3.1)也显示患未确诊糖尿病的风险增加。结论:显著的教育和经济差异强调了有针对性的干预措施的必要性,旨在支持未受教育和经济贫困人口。加强公共卫生措施以处理主要风险因素,特别是酒精和含糖饮料的消费,对于遏制柬埔寨日益加重的糖尿病负担至关重要。
本文章由计算机程序翻译,如有差异,请以英文原文为准。
求助全文
约1分钟内获得全文 求助全文
来源期刊
Journal of Global Health
Journal of Global Health PUBLIC, ENVIRONMENTAL & OCCUPATIONAL HEALTH -
CiteScore
6.10
自引率
2.80%
发文量
240
审稿时长
6 weeks
期刊介绍: Journal of Global Health is a peer-reviewed journal published by the Edinburgh University Global Health Society, a not-for-profit organization registered in the UK. We publish editorials, news, viewpoints, original research and review articles in two issues per year.
×
引用
GB/T 7714-2015
复制
MLA
复制
APA
复制
导出至
BibTeX EndNote RefMan NoteFirst NoteExpress
×
提示
您的信息不完整,为了账户安全,请先补充。
现在去补充
×
提示
您因"违规操作"
具体请查看互助需知
我知道了
×
提示
确定
请完成安全验证×
copy
已复制链接
快去分享给好友吧!
我知道了
右上角分享
点击右上角分享
0
联系我们:info@booksci.cn Book学术提供免费学术资源搜索服务,方便国内外学者检索中英文文献。致力于提供最便捷和优质的服务体验。 Copyright © 2023 布克学术 All rights reserved.
京ICP备2023020795号-1
ghs 京公网安备 11010802042870号
Book学术文献互助
Book学术文献互助群
群 号:604180095
Book学术官方微信