The early impact of COVID-19 vaccines on major events in cardiac, pulmonary, and thromboembolic disease: a population-based study.

IF 2.4 4区 医学 Q2 MEDICINE, GENERAL & INTERNAL
Korean Journal of Internal Medicine Pub Date : 2025-09-01 Epub Date: 2025-08-26 DOI:10.3904/kjim.2025.056
Myeong Geun Choi, Min-Ho Kim, Eun Mi Chun
{"title":"The early impact of COVID-19 vaccines on major events in cardiac, pulmonary, and thromboembolic disease: a population-based study.","authors":"Myeong Geun Choi, Min-Ho Kim, Eun Mi Chun","doi":"10.3904/kjim.2025.056","DOIUrl":null,"url":null,"abstract":"<p><strong>Background/aims: </strong>Although COVID-19 vaccines reduce COVID-19 severity, various safety concerns have emerged. This study, involving a population-based cohort, used health insurance data to investigate potential vaccine-related major outcomes, including cardiac, pulmonary, and thromboembolic diseases.</p><p><strong>Methods: </strong>This retrospective cohort study involved data from 2,017,884 vaccinated (at least two doses) individuals and 334,583 unvaccinated individuals. The incidences of myocarditis, myocardial infarction, atrial fibrillation, interstitial lung disease, pulmonary thromboembolism, deep vein thrombosis, and cerebrovascular disease were compared between the vaccinated and the unvaccinated groups at 1 week to 3 months after vaccination.</p><p><strong>Results: </strong>The study population had a mean age of 54 years (male: 44.6%). Among the vaccinated, 57.7% received the mRNA vaccine only, whereas 35.5% received the adenoviral vector vaccine alone. Multivariate logistic analysis revealed that vaccination was significantly associated with the early development of myocarditis. The mRNA vaccine, a younger age, and retrohyperlipidemia were independent indicators of poor myocarditis prognosis after vaccination. However, the incidence of myocardial infarction at 1-2 weeks post-vaccination, as well as pulmonary thromboembolism and cerebrovascular disease (both at 3 months post-vaccination), were significantly lower in the vaccinated group when compared with the unvaccinated one. However, there was no significant association between vaccination and interstitial lung disease, atrial fibrillation, or deep vein thrombosis.</p><p><strong>Conclusion: </strong>The younger male population (age: < 45 years) should be cautious about receiving the COVID-19 mRNA vaccine and should be closely monitored for myocarditis after vaccination. Vaccination was associated with short-term protection against venous and arterial thrombotic events, as well as hemorrhagic events.</p>","PeriodicalId":48785,"journal":{"name":"Korean Journal of Internal Medicine","volume":" ","pages":"801-812"},"PeriodicalIF":2.4000,"publicationDate":"2025-09-01","publicationTypes":"Journal Article","fieldsOfStudy":null,"isOpenAccess":false,"openAccessPdf":"https://www.ncbi.nlm.nih.gov/pmc/articles/PMC12425682/pdf/","citationCount":"0","resultStr":null,"platform":"Semanticscholar","paperid":null,"PeriodicalName":"Korean Journal of Internal Medicine","FirstCategoryId":"3","ListUrlMain":"https://doi.org/10.3904/kjim.2025.056","RegionNum":4,"RegionCategory":"医学","ArticlePicture":[],"TitleCN":null,"AbstractTextCN":null,"PMCID":null,"EPubDate":"2025/8/26 0:00:00","PubModel":"Epub","JCR":"Q2","JCRName":"MEDICINE, GENERAL & INTERNAL","Score":null,"Total":0}
引用次数: 0

Abstract

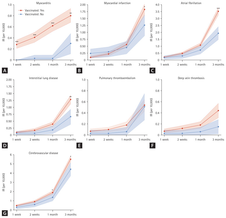
Background/aims: Although COVID-19 vaccines reduce COVID-19 severity, various safety concerns have emerged. This study, involving a population-based cohort, used health insurance data to investigate potential vaccine-related major outcomes, including cardiac, pulmonary, and thromboembolic diseases.

Methods: This retrospective cohort study involved data from 2,017,884 vaccinated (at least two doses) individuals and 334,583 unvaccinated individuals. The incidences of myocarditis, myocardial infarction, atrial fibrillation, interstitial lung disease, pulmonary thromboembolism, deep vein thrombosis, and cerebrovascular disease were compared between the vaccinated and the unvaccinated groups at 1 week to 3 months after vaccination.

Results: The study population had a mean age of 54 years (male: 44.6%). Among the vaccinated, 57.7% received the mRNA vaccine only, whereas 35.5% received the adenoviral vector vaccine alone. Multivariate logistic analysis revealed that vaccination was significantly associated with the early development of myocarditis. The mRNA vaccine, a younger age, and retrohyperlipidemia were independent indicators of poor myocarditis prognosis after vaccination. However, the incidence of myocardial infarction at 1-2 weeks post-vaccination, as well as pulmonary thromboembolism and cerebrovascular disease (both at 3 months post-vaccination), were significantly lower in the vaccinated group when compared with the unvaccinated one. However, there was no significant association between vaccination and interstitial lung disease, atrial fibrillation, or deep vein thrombosis.

Conclusion: The younger male population (age: < 45 years) should be cautious about receiving the COVID-19 mRNA vaccine and should be closely monitored for myocarditis after vaccination. Vaccination was associated with short-term protection against venous and arterial thrombotic events, as well as hemorrhagic events.

Abstract Image

Abstract Image

Abstract Image

COVID-19疫苗对心脏、肺部和血栓栓塞性疾病重大事件的早期影响:一项基于人群的研究
背景/目的:虽然COVID-19疫苗降低了COVID-19的严重程度,但各种安全性问题已经出现。本研究以人群为基础,使用健康保险数据调查疫苗相关的潜在主要结局,包括心脏、肺部和血栓栓塞性疾病。方法:这项回顾性队列研究的数据来自2,017,884名接种疫苗(至少两剂)的个体和334,583名未接种疫苗的个体。比较接种疫苗组与未接种疫苗组在接种后1周~ 3个月的心肌炎、心肌梗死、房颤、肺间质性疾病、肺血栓栓塞、深静脉血栓形成、脑血管疾病的发生率。结果:研究人群平均年龄54岁(男性44.6%)。仅接种mRNA疫苗者占57.7%,单独接种腺病毒载体疫苗者占35.5%。多因素logistic分析显示,接种疫苗与心肌炎的早期发展显著相关。mRNA疫苗接种、年龄的年轻化和后高脂血症是接种后心肌炎预后不良的独立指标。然而,与未接种疫苗组相比,接种疫苗组在接种疫苗后1-2周心肌梗死、肺血栓栓塞和脑血管疾病(均在接种疫苗后3个月)的发生率显著降低。然而,接种疫苗与间质性肺疾病、心房颤动或深静脉血栓之间没有显著关联。结论:年轻男性人群(年龄< 45岁)应谨慎接种新冠病毒mRNA疫苗,接种后应密切监测心肌炎。疫苗接种与静脉和动脉血栓事件以及出血事件的短期保护有关。
本文章由计算机程序翻译,如有差异,请以英文原文为准。
求助全文
约1分钟内获得全文 求助全文
来源期刊
Korean Journal of Internal Medicine
Korean Journal of Internal Medicine MEDICINE, GENERAL & INTERNAL-
CiteScore
5.10
自引率
4.20%
发文量
129
审稿时长
20 weeks
期刊介绍: The Korean Journal of Internal Medicine is an international medical journal published in English by the Korean Association of Internal Medicine. The Journal publishes peer-reviewed original articles, reviews, and editorials on all aspects of medicine, including clinical investigations and basic research. Both human and experimental animal studies are welcome, as are new findings on the epidemiology, pathogenesis, diagnosis, and treatment of diseases. Case reports will be published only in exceptional circumstances, when they illustrate a rare occurrence of clinical importance. Letters to the editor are encouraged for specific comments on published articles and general viewpoints.
×
引用
GB/T 7714-2015
复制
MLA
复制
APA
复制
导出至
BibTeX EndNote RefMan NoteFirst NoteExpress
×
提示
您的信息不完整,为了账户安全,请先补充。
现在去补充
×
提示
您因"违规操作"
具体请查看互助需知
我知道了
×
提示
确定
请完成安全验证×
copy
已复制链接
快去分享给好友吧!
我知道了
右上角分享
点击右上角分享
0
联系我们:info@booksci.cn Book学术提供免费学术资源搜索服务,方便国内外学者检索中英文文献。致力于提供最便捷和优质的服务体验。 Copyright © 2023 布克学术 All rights reserved.
京ICP备2023020795号-1
ghs 京公网安备 11010802042870号
Book学术文献互助
Book学术文献互助群
群 号:604180095
Book学术官方微信