Adapting temporal preference to scarcity: A role for emotion?

IF 2.3 2区 经济学 Q3 BUSINESS, FINANCE
Journal of Risk and Uncertainty Pub Date : 2025-01-01 Epub Date: 2025-06-20 DOI:10.1007/s11166-025-09453-x
Bastien Blain, Laura K Globig, Tali Sharot
{"title":"Adapting temporal preference to scarcity: A role for emotion?","authors":"Bastien Blain, Laura K Globig, Tali Sharot","doi":"10.1007/s11166-025-09453-x","DOIUrl":null,"url":null,"abstract":"<p><p>A critical optimization problem is how to distribute resource consumption over time. Humans tend to value immediate rewards over equivalent future rewards-a phenomenon called temporal discounting. Such imbalance can lead to poor health, education, and financial decisions. It is also a hurdle for implementing sustainability policies. A major research goal is to identify factors that influence temporal discounting, so that policymakers could develop interventions to correct for this imbalance. One such factor is available resources; scarcity may increase in temporal discounting. Another potential factor is emotion; negative emotions may lead to high temporal discounting. However, emotion and resources are not independent. For example, losing a large sum of money will lead to negative affect. Here, we take advantage of one of the largest global 'income shocks' in history, to tease apart the role of emotion and income on temporal discounting. We tested 1,145 individuals as the market was crashing in late March 2020 and unemployment rising and then retested 200 of those individuals as the market was recovering in June 2020. We found that income shock was strongly related to an increase in delay discounting using cross-sectional and longitudinal data. Importantly, this relationship was independent of the negative impact on affect. These findings suggest that, contrary to wide held assumptions, people directly adapt delay discounting to environmental constraints, without the need for input from the affective system. This independence may be adaptive, as affect is a noisy reflection of environmental constraints, which may lead to suboptimal choice.</p><p><strong>Supplementary information: </strong>The online version contains supplementary material available at 10.1007/s11166-025-09453-x.</p>","PeriodicalId":48066,"journal":{"name":"Journal of Risk and Uncertainty","volume":"71 1","pages":"93-109"},"PeriodicalIF":2.3000,"publicationDate":"2025-01-01","publicationTypes":"Journal Article","fieldsOfStudy":null,"isOpenAccess":false,"openAccessPdf":"https://www.ncbi.nlm.nih.gov/pmc/articles/PMC12373532/pdf/","citationCount":"0","resultStr":null,"platform":"Semanticscholar","paperid":null,"PeriodicalName":"Journal of Risk and Uncertainty","FirstCategoryId":"96","ListUrlMain":"https://doi.org/10.1007/s11166-025-09453-x","RegionNum":2,"RegionCategory":"经济学","ArticlePicture":[],"TitleCN":null,"AbstractTextCN":null,"PMCID":null,"EPubDate":"2025/6/20 0:00:00","PubModel":"Epub","JCR":"Q3","JCRName":"BUSINESS, FINANCE","Score":null,"Total":0}
引用次数: 0

Abstract

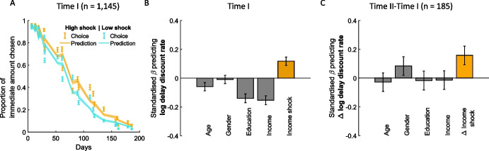
A critical optimization problem is how to distribute resource consumption over time. Humans tend to value immediate rewards over equivalent future rewards-a phenomenon called temporal discounting. Such imbalance can lead to poor health, education, and financial decisions. It is also a hurdle for implementing sustainability policies. A major research goal is to identify factors that influence temporal discounting, so that policymakers could develop interventions to correct for this imbalance. One such factor is available resources; scarcity may increase in temporal discounting. Another potential factor is emotion; negative emotions may lead to high temporal discounting. However, emotion and resources are not independent. For example, losing a large sum of money will lead to negative affect. Here, we take advantage of one of the largest global 'income shocks' in history, to tease apart the role of emotion and income on temporal discounting. We tested 1,145 individuals as the market was crashing in late March 2020 and unemployment rising and then retested 200 of those individuals as the market was recovering in June 2020. We found that income shock was strongly related to an increase in delay discounting using cross-sectional and longitudinal data. Importantly, this relationship was independent of the negative impact on affect. These findings suggest that, contrary to wide held assumptions, people directly adapt delay discounting to environmental constraints, without the need for input from the affective system. This independence may be adaptive, as affect is a noisy reflection of environmental constraints, which may lead to suboptimal choice.

Supplementary information: The online version contains supplementary material available at 10.1007/s11166-025-09453-x.

Abstract Image

Abstract Image

Abstract Image

使时间偏好适应稀缺性:情感的作用?
一个关键的优化问题是如何随时间分配资源消耗。比起同等的未来回报,人类往往更看重眼前的回报——这种现象被称为时间贴现。这种不平衡可能导致健康、教育和财务决策不佳。这也是实施可持续发展政策的障碍。一个主要的研究目标是确定影响时间贴现的因素,以便政策制定者可以制定干预措施来纠正这种不平衡。其中一个因素是可利用的资源;稀缺性在时间折现中可能会增加。另一个潜在因素是情绪;消极情绪可能导致高时间折扣。然而,情感和资源并不是独立的。例如,失去一大笔钱会导致负面影响。在这里,我们利用历史上最大的全球“收入冲击”之一,梳理情绪和收入对时间贴现的作用。我们在2020年3月下旬市场崩盘、失业率上升时对1145人进行了测试,然后在2020年6月市场复苏时对其中200人进行了重新测试。我们使用横断面和纵向数据发现,收入冲击与延迟折扣的增加密切相关。重要的是,这种关系是独立于负面影响的影响。这些发现表明,与广泛持有的假设相反,人们直接适应延迟折扣环境约束,而不需要情感系统的输入。这种独立性可能是自适应的,因为影响是环境约束的嘈杂反映,这可能导致次优选择。补充信息:在线版本包含补充资料,可在10.1007/s11166-025-09453-x获得。
本文章由计算机程序翻译,如有差异,请以英文原文为准。
求助全文
约1分钟内获得全文 求助全文
来源期刊
CiteScore
6.30
自引率
10.60%
发文量
29
期刊介绍: The Journal of Risk and Uncertainty (JRU) welcomes original empirical, experimental, and theoretical manuscripts dealing with the analysis of risk-bearing behavior and decision making under uncertainty. The topics covered in the journal include, but are not limited to, decision theory and the economics of uncertainty, experimental investigations of behavior under uncertainty, empirical studies of real world risk-taking behavior, behavioral models of choice under uncertainty, and risk and public policy. Review papers are welcome. The JRU does not publish finance or behavioral finance research, game theory, note length work, or papers that treat Likert-type scales as having cardinal significance. An important aim of the JRU is to encourage interdisciplinary communication and interaction between researchers in the area of risk and uncertainty. Authors are expected to provide introductory discussions which set forth the nature of their research and the interpretation and implications of their findings in a manner accessible to knowledgeable researchers in other disciplines. Officially cited as: J Risk Uncertain
×
引用
GB/T 7714-2015
复制
MLA
复制
APA
复制
导出至
BibTeX EndNote RefMan NoteFirst NoteExpress
×
提示
您的信息不完整,为了账户安全,请先补充。
现在去补充
×
提示
您因"违规操作"
具体请查看互助需知
我知道了
×
提示
确定
请完成安全验证×
copy
已复制链接
快去分享给好友吧!
我知道了
右上角分享
点击右上角分享
0
联系我们:info@booksci.cn Book学术提供免费学术资源搜索服务,方便国内外学者检索中英文文献。致力于提供最便捷和优质的服务体验。 Copyright © 2023 布克学术 All rights reserved.
京ICP备2023020795号-1
ghs 京公网安备 11010802042870号
Book学术文献互助
Book学术文献互助群
群 号:604180095
Book学术官方微信