Reliability and Validation Study of the Spanish Translation of the Nociception Coma Scale-Revised-Adapted for Intubated Patients (NCS-R-I).

IF 2 Q1 NURSING
Candelas López-López, Gemma Robleda-Font, María Del Mar Sánchez-Sánchez, Carmen María Sarabia-Cobo, Ignacio Latorre-Marco, Montserrat Solís-Muñoz, Teresa Pérez-Pérez, Cristina Martín-Arriscado Arroba, Caroline Schnakers, Juan Roldan-Merino
{"title":"Reliability and Validation Study of the Spanish Translation of the Nociception Coma Scale-Revised-Adapted for Intubated Patients (NCS-R-I).","authors":"Candelas López-López, Gemma Robleda-Font, María Del Mar Sánchez-Sánchez, Carmen María Sarabia-Cobo, Ignacio Latorre-Marco, Montserrat Solís-Muñoz, Teresa Pérez-Pérez, Cristina Martín-Arriscado Arroba, Caroline Schnakers, Juan Roldan-Merino","doi":"10.3390/nursrep15080278","DOIUrl":null,"url":null,"abstract":"<p><p><b>Background/Objectives</b>: Pain assessment scales provide a clear clinical benefit in patients who are unable to self-report. The Nociception Coma Scale-Revised-adapted for Intubated patients (NCS-R-I) was developed to assess pain in patients with acquired brain injury who are unable to self-report. However, this instrument has not yet been translated and validated for use in Spain. The objective was to translate the Nociception Coma Scale-Revised-adapted for Intubated patients (NCS-R-I) into Spanish and to assess the reliability and validity of the Spanish version in patients with brain injury. <b>Methods</b>: This study was carried out in two phases. First, the scale was translated into Spanish. Next, a psychometric analysis was performed to determine the reliability and validity of the Spanish version of the NCS-R-I in 207 critically ill patients with acquired brain injury and disorders of consciousness. Two blinded observers administered the scale at three time points: 5 min before, during, and 15 min after a series of nociceptive and non-nociceptive procedures. <b>Results</b>: The internal consistency of the NCS-R-I was acceptable (ordinal alpha = 0.60-0.90). Interobserver agreement was good (kappa = 0.80; intraclass correlation coefficient = 0.90). In terms of discriminant validity, the AUC was 0.952 (95% CI: 0.931-0.973). NCS-R-I scores increased significantly during performance of nociceptive procedures compared to scores obtained before and after these procedures, confirming the scale's sensitivity to change. Similarly, during the performance of nociceptive procedures, scores on the NCS-R-I were significantly higher (<i>p</i> < 0.001) than those observed during non-nociceptive procedures. <b>Conclusions</b>: The results of this study demonstrate that the NCS-R-I is a valid, reliable tool for the assessment of pain in patients with acquired brain injury who are unable to self-report.</p>","PeriodicalId":40753,"journal":{"name":"Nursing Reports","volume":"15 8","pages":""},"PeriodicalIF":2.0000,"publicationDate":"2025-07-30","publicationTypes":"Journal Article","fieldsOfStudy":null,"isOpenAccess":false,"openAccessPdf":"https://www.ncbi.nlm.nih.gov/pmc/articles/PMC12389189/pdf/","citationCount":"0","resultStr":null,"platform":"Semanticscholar","paperid":null,"PeriodicalName":"Nursing Reports","FirstCategoryId":"1085","ListUrlMain":"https://doi.org/10.3390/nursrep15080278","RegionNum":0,"RegionCategory":null,"ArticlePicture":[],"TitleCN":null,"AbstractTextCN":null,"PMCID":null,"EPubDate":"","PubModel":"","JCR":"Q1","JCRName":"NURSING","Score":null,"Total":0}
引用次数: 0

Abstract

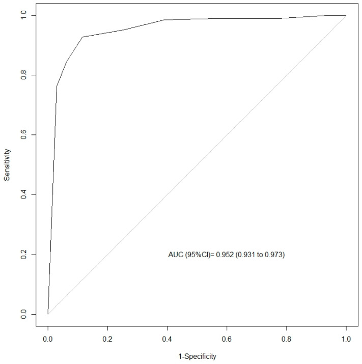
Background/Objectives: Pain assessment scales provide a clear clinical benefit in patients who are unable to self-report. The Nociception Coma Scale-Revised-adapted for Intubated patients (NCS-R-I) was developed to assess pain in patients with acquired brain injury who are unable to self-report. However, this instrument has not yet been translated and validated for use in Spain. The objective was to translate the Nociception Coma Scale-Revised-adapted for Intubated patients (NCS-R-I) into Spanish and to assess the reliability and validity of the Spanish version in patients with brain injury. Methods: This study was carried out in two phases. First, the scale was translated into Spanish. Next, a psychometric analysis was performed to determine the reliability and validity of the Spanish version of the NCS-R-I in 207 critically ill patients with acquired brain injury and disorders of consciousness. Two blinded observers administered the scale at three time points: 5 min before, during, and 15 min after a series of nociceptive and non-nociceptive procedures. Results: The internal consistency of the NCS-R-I was acceptable (ordinal alpha = 0.60-0.90). Interobserver agreement was good (kappa = 0.80; intraclass correlation coefficient = 0.90). In terms of discriminant validity, the AUC was 0.952 (95% CI: 0.931-0.973). NCS-R-I scores increased significantly during performance of nociceptive procedures compared to scores obtained before and after these procedures, confirming the scale's sensitivity to change. Similarly, during the performance of nociceptive procedures, scores on the NCS-R-I were significantly higher (p < 0.001) than those observed during non-nociceptive procedures. Conclusions: The results of this study demonstrate that the NCS-R-I is a valid, reliable tool for the assessment of pain in patients with acquired brain injury who are unable to self-report.

Abstract Image

插管患者伤害感觉昏迷量表(NCS-R-I)西班牙语翻译的可靠性和有效性研究
背景/目的:疼痛评估量表为无法自我报告的患者提供了明确的临床益处。痛觉昏迷量表(NCS-R-I)用于评估无法自我报告的后获得性脑损伤患者的疼痛。但是,该仪器尚未翻译和验证,以便在西班牙使用。目的是将插管患者伤害感觉昏迷量表(NCS-R-I)翻译成西班牙语,并评估西班牙语版本在脑损伤患者中的可靠性和有效性。方法:本研究分为两期进行。首先,量表被翻译成西班牙语。接下来,对207例获得性脑损伤和意识障碍危重患者进行了心理测量分析,以确定西班牙语版NCS-R-I的信度和效度。两名盲法观察者在三个时间点:一系列伤害性和非伤害性过程前5分钟、过程中5分钟和过程后15分钟使用量表。结果:NCS-R-I的内部一致性可接受(序数α = 0.60 ~ 0.90)。观察者间一致性良好(kappa = 0.80,类内相关系数= 0.90)。判别效度方面,AUC为0.952 (95% CI: 0.931-0.973)。NCS-R-I得分在实施伤害性治疗过程中显著增加,与治疗前后的得分相比,证实了量表对变化的敏感性。同样,在伤害性过程中,NCS-R-I得分显著高于非伤害性过程中观察到的得分(p < 0.001)。结论:本研究的结果表明,NCS-R-I是评估无法自我报告的获得性脑损伤患者疼痛的有效、可靠的工具。
本文章由计算机程序翻译,如有差异,请以英文原文为准。
求助全文
约1分钟内获得全文 求助全文
来源期刊
Nursing Reports
Nursing Reports NURSING-
CiteScore
2.50
自引率
4.20%
发文量
78
期刊介绍: Nursing Reports is an open access, peer-reviewed, online-only journal that aims to influence the art and science of nursing by making rigorously conducted research accessible and understood to the full spectrum of practicing nurses, academics, educators and interested members of the public. The journal represents an exhilarating opportunity to make a unique and significant contribution to nursing and the wider community by addressing topics, theories and issues that concern the whole field of Nursing Science, including research, practice, policy and education. The primary intent of the journal is to present scientifically sound and influential empirical and theoretical studies, critical reviews and open debates to the global community of nurses. Short reports, opinions and insight into the plight of nurses the world-over will provide a voice for those of all cultures, governments and perspectives. The emphasis of Nursing Reports will be on ensuring that the highest quality of evidence and contribution is made available to the greatest number of nurses. Nursing Reports aims to make original, evidence-based, peer-reviewed research available to the global community of nurses and to interested members of the public. In addition, reviews of the literature, open debates on professional issues and short reports from around the world are invited to contribute to our vibrant and dynamic journal. All published work will adhere to the most stringent ethical standards and journalistic principles of fairness, worth and credibility. Our journal publishes Editorials, Original Articles, Review articles, Critical Debates, Short Reports from Around the Globe and Letters to the Editor.
×
引用
GB/T 7714-2015
复制
MLA
复制
APA
复制
导出至
BibTeX EndNote RefMan NoteFirst NoteExpress
×
提示
您的信息不完整,为了账户安全,请先补充。
现在去补充
×
提示
您因"违规操作"
具体请查看互助需知
我知道了
×
提示
确定
请完成安全验证×
copy
已复制链接
快去分享给好友吧!
我知道了
右上角分享
点击右上角分享
0
联系我们:info@booksci.cn Book学术提供免费学术资源搜索服务,方便国内外学者检索中英文文献。致力于提供最便捷和优质的服务体验。 Copyright © 2023 布克学术 All rights reserved.
京ICP备2023020795号-1
ghs 京公网安备 11010802042870号
Book学术文献互助
Book学术文献互助群
群 号:604180095
Book学术官方微信