Exploring the Impact of Small Group Teaching and Case-Based Learning on Optometry Students' Binocular Vision Clinical Knowledge.

Q3 Medicine
British and Irish Orthoptic Journal Pub Date : 2025-08-25 eCollection Date: 2025-01-01 DOI:10.22599/bioj.486
Sirawit Ketchan, Ketan Parmar, Catherine Porter
{"title":"Exploring the Impact of Small Group Teaching and Case-Based Learning on Optometry Students' Binocular Vision Clinical Knowledge.","authors":"Sirawit Ketchan, Ketan Parmar, Catherine Porter","doi":"10.22599/bioj.486","DOIUrl":null,"url":null,"abstract":"<p><strong>Introduction: </strong>Small group teaching is widely used in healthcare education. Few studies have specifically focused on small group teaching in optometry. This study investigated the effects of small group clinical teaching combined with case-based learning (CBL) on final-year optometry students' knowledge in the assessment, diagnosis and management of accommodation and convergence anomalies.</p><p><strong>Methods: </strong>Students took part in a tutorial session involving the assessment of accommodation and convergence. A total of 89 final-year optometry students were randomly divided into two groups (control and intervention) prior to attending a binocular vision tutorial. Before undergoing the tutorial, the control group completed 20 multiple-choice questions (sets A and B), whilst the intervention group answered 10 questions (set A) before and the remaining 10 questions (set B) after the tutorial. Non-parametric statistics were employed to investigate the differences in Set A and B scores within and between the groups.</p><p><strong>Results: </strong>There was no significant difference in set A scores between the control (48.18%, ±17.16) and intervention (43.81%, ±13.43) groups (p = 0.27). The intervention group had significantly higher set B scores (60.71%, ±17.02) than the control group (50.68%, ±17.84) (p = 0.01).</p><p><strong>Conclusion: </strong>Small group teaching combined with CBL significantly enhances optometry students' knowledge of the diagnosis and management of accommodation and convergence anomalies. This teaching and evaluation methodology has the potential to be applied across all healthcare disciplines.</p>","PeriodicalId":36083,"journal":{"name":"British and Irish Orthoptic Journal","volume":"21 1","pages":"88-94"},"PeriodicalIF":0.0000,"publicationDate":"2025-08-25","publicationTypes":"Journal Article","fieldsOfStudy":null,"isOpenAccess":false,"openAccessPdf":"https://www.ncbi.nlm.nih.gov/pmc/articles/PMC12396193/pdf/","citationCount":"0","resultStr":null,"platform":"Semanticscholar","paperid":null,"PeriodicalName":"British and Irish Orthoptic Journal","FirstCategoryId":"1085","ListUrlMain":"https://doi.org/10.22599/bioj.486","RegionNum":0,"RegionCategory":null,"ArticlePicture":[],"TitleCN":null,"AbstractTextCN":null,"PMCID":null,"EPubDate":"2025/1/1 0:00:00","PubModel":"eCollection","JCR":"Q3","JCRName":"Medicine","Score":null,"Total":0}
引用次数: 0

Abstract

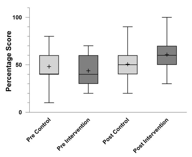
Introduction: Small group teaching is widely used in healthcare education. Few studies have specifically focused on small group teaching in optometry. This study investigated the effects of small group clinical teaching combined with case-based learning (CBL) on final-year optometry students' knowledge in the assessment, diagnosis and management of accommodation and convergence anomalies.

Methods: Students took part in a tutorial session involving the assessment of accommodation and convergence. A total of 89 final-year optometry students were randomly divided into two groups (control and intervention) prior to attending a binocular vision tutorial. Before undergoing the tutorial, the control group completed 20 multiple-choice questions (sets A and B), whilst the intervention group answered 10 questions (set A) before and the remaining 10 questions (set B) after the tutorial. Non-parametric statistics were employed to investigate the differences in Set A and B scores within and between the groups.

Results: There was no significant difference in set A scores between the control (48.18%, ±17.16) and intervention (43.81%, ±13.43) groups (p = 0.27). The intervention group had significantly higher set B scores (60.71%, ±17.02) than the control group (50.68%, ±17.84) (p = 0.01).

Conclusion: Small group teaching combined with CBL significantly enhances optometry students' knowledge of the diagnosis and management of accommodation and convergence anomalies. This teaching and evaluation methodology has the potential to be applied across all healthcare disciplines.

Abstract Image

Abstract Image

Abstract Image

探讨小组教学和案例学习对视光专业学生双眼视觉临床知识的影响。
小组教学在卫生保健教育中应用广泛。很少有研究专门关注验光中的小组教学。本研究探讨了小组临床教学结合案例学习(CBL)对最后一年级学生视光调节和会聚异常评估、诊断和管理知识的影响。方法:学生参加了一个包括适应和融合评估的辅导课。89名最后一年的验光学生在参加双目视觉教程之前被随机分为两组(对照组和干预组)。对照组在辅导前完成20道选择题(A、B组),干预组在辅导前完成10道选择题(A组),辅导后完成10道选择题(B组)。采用非参数统计来调查组内和组间A组和B组得分的差异。结果:对照组(48.18%,±17.16)与干预组(43.81%,±13.43)在set A评分上差异无统计学意义(p = 0.27)。干预组患者B组评分(60.71%,±17.02)显著高于对照组(50.68%,±17.84)(p = 0.01)。结论:小组教学结合CBL能显著提高视光学学生对调节和会聚异常诊断和处理的认识。这种教学和评估方法具有在所有医疗保健学科中应用的潜力。
本文章由计算机程序翻译,如有差异,请以英文原文为准。
求助全文
约1分钟内获得全文 求助全文
来源期刊
British and Irish Orthoptic Journal
British and Irish Orthoptic Journal Health Professions-Optometry
CiteScore
1.50
自引率
0.00%
发文量
13
审稿时长
18 weeks
×
引用
GB/T 7714-2015
复制
MLA
复制
APA
复制
导出至
BibTeX EndNote RefMan NoteFirst NoteExpress
×
提示
您的信息不完整,为了账户安全,请先补充。
现在去补充
×
提示
您因"违规操作"
具体请查看互助需知
我知道了
×
提示
确定
请完成安全验证×
copy
已复制链接
快去分享给好友吧!
我知道了
右上角分享
点击右上角分享
0
联系我们:info@booksci.cn Book学术提供免费学术资源搜索服务,方便国内外学者检索中英文文献。致力于提供最便捷和优质的服务体验。 Copyright © 2023 布克学术 All rights reserved.
京ICP备2023020795号-1
ghs 京公网安备 11010802042870号
Book学术文献互助
Book学术文献互助群
群 号:604180095
Book学术官方微信