Based on real-world data: Risk factors and prediction model for mental disorders induced by rabies vaccination.

IF 3.4 4区 医学 Q1 PSYCHIATRY
Jin-Yan Ding, Jun-Juan Zhu
{"title":"Based on real-world data: Risk factors and prediction model for mental disorders induced by rabies vaccination.","authors":"Jin-Yan Ding, Jun-Juan Zhu","doi":"10.5498/wjp.v15.i8.105929","DOIUrl":null,"url":null,"abstract":"<p><strong>Background: </strong>Rabies is a zoonotic viral disease affecting the central nervous system, caused by the rabies virus, with a case-fatality rate of 100% once symptoms appear.</p><p><strong>Aim: </strong>To analyze high-risk factors associated with mental disorders induced by rabies vaccination and to construct a risk prediction model to inform strategies for improving patients' mental health.</p><p><strong>Methods: </strong>Patients who received rabies vaccinations at the Department of Infusion Yiwu Central Hospital between August 2024 and July 2025 were included, totaling 384 cases. Data were collected from medical records and included demographic characteristics (age, gender, occupation), lifestyle habits, and details regarding vaccine type, dosage, and injection site. The incidence of psychiatric disorders following vaccination was assessed using standardized anxiety and depression rating scales. Patients were categorized into two groups based on the presence or absence of anxiety and depression symptoms: The psychiatric disorder group and the non-psychiatric disorder group. Differences between the two groups were compared, and high-risk factors were identified using multivariate logistic regression analysis. A predictive model was then developed based on these factors to evaluate its predictive performance.</p><p><strong>Results: </strong>Among the 384 patients who received rabies vaccinations, 36 cases (9.38%) were diagnosed with anxiety, 52 cases (13.54%) with depression, and 88 cases (22.92%) with either condition. Logistic regression analysis identified the following significant risk factors for psychiatric disorders: Education level of primary school or below, exposure site at the head and neck, exposure classified as grade III, family status of divorced/widowed/unmarried/living alone, number of wounds greater than one, and low awareness of rabies prevention and control (<i>P</i> < 0.05). The risk prediction model demonstrated good performance, with an area under the receiver operating characteristic curve of 0.859, a specificity of 74.42%, and a sensitivity of 93.02%.</p><p><strong>Conclusion: </strong>In real-world settings, psychiatric disorders following rabies vaccination are relatively common and are associated with factors such as lower education level, higher exposure severity, vulnerable family status, and limited awareness of rabies prevention and control. The developed risk prediction model may aid in early identification of high-risk individuals and support timely clinical intervention.</p>","PeriodicalId":23896,"journal":{"name":"World Journal of Psychiatry","volume":"15 8","pages":"105929"},"PeriodicalIF":3.4000,"publicationDate":"2025-08-19","publicationTypes":"Journal Article","fieldsOfStudy":null,"isOpenAccess":false,"openAccessPdf":"https://www.ncbi.nlm.nih.gov/pmc/articles/PMC12362662/pdf/","citationCount":"0","resultStr":null,"platform":"Semanticscholar","paperid":null,"PeriodicalName":"World Journal of Psychiatry","FirstCategoryId":"3","ListUrlMain":"https://doi.org/10.5498/wjp.v15.i8.105929","RegionNum":4,"RegionCategory":"医学","ArticlePicture":[],"TitleCN":null,"AbstractTextCN":null,"PMCID":null,"EPubDate":"","PubModel":"","JCR":"Q1","JCRName":"PSYCHIATRY","Score":null,"Total":0}
引用次数: 0

Abstract

Background: Rabies is a zoonotic viral disease affecting the central nervous system, caused by the rabies virus, with a case-fatality rate of 100% once symptoms appear.

Aim: To analyze high-risk factors associated with mental disorders induced by rabies vaccination and to construct a risk prediction model to inform strategies for improving patients' mental health.

Methods: Patients who received rabies vaccinations at the Department of Infusion Yiwu Central Hospital between August 2024 and July 2025 were included, totaling 384 cases. Data were collected from medical records and included demographic characteristics (age, gender, occupation), lifestyle habits, and details regarding vaccine type, dosage, and injection site. The incidence of psychiatric disorders following vaccination was assessed using standardized anxiety and depression rating scales. Patients were categorized into two groups based on the presence or absence of anxiety and depression symptoms: The psychiatric disorder group and the non-psychiatric disorder group. Differences between the two groups were compared, and high-risk factors were identified using multivariate logistic regression analysis. A predictive model was then developed based on these factors to evaluate its predictive performance.

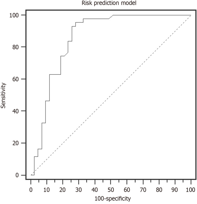
Results: Among the 384 patients who received rabies vaccinations, 36 cases (9.38%) were diagnosed with anxiety, 52 cases (13.54%) with depression, and 88 cases (22.92%) with either condition. Logistic regression analysis identified the following significant risk factors for psychiatric disorders: Education level of primary school or below, exposure site at the head and neck, exposure classified as grade III, family status of divorced/widowed/unmarried/living alone, number of wounds greater than one, and low awareness of rabies prevention and control (P < 0.05). The risk prediction model demonstrated good performance, with an area under the receiver operating characteristic curve of 0.859, a specificity of 74.42%, and a sensitivity of 93.02%.

Conclusion: In real-world settings, psychiatric disorders following rabies vaccination are relatively common and are associated with factors such as lower education level, higher exposure severity, vulnerable family status, and limited awareness of rabies prevention and control. The developed risk prediction model may aid in early identification of high-risk individuals and support timely clinical intervention.

Abstract Image

Abstract Image

Abstract Image

基于真实数据:狂犬病疫苗接种导致精神障碍的危险因素及预测模型。
背景:狂犬病是由狂犬病毒引起的一种影响中枢神经系统的人畜共患病毒性疾病,一旦出现症状,病死率为100%。目的:分析狂犬病疫苗接种导致精神障碍的高危因素,建立风险预测模型,为提高患者心理健康水平提供依据。方法:选取2024年8月~ 2025年7月在义乌市中心医院输液科接种狂犬病疫苗的患者384例。数据从医疗记录中收集,包括人口统计学特征(年龄、性别、职业)、生活习惯以及有关疫苗类型、剂量和注射部位的详细信息。接种疫苗后精神疾病的发生率采用标准化的焦虑和抑郁评定量表进行评估。患者根据是否存在焦虑和抑郁症状分为两组:精神障碍组和非精神障碍组。比较两组间的差异,并采用多因素logistic回归分析确定高危因素。然后基于这些因素建立预测模型来评估其预测性能。结果:384例接受狂犬病疫苗接种的患者中,焦虑36例(9.38%),抑郁52例(13.54%),两者皆有88例(22.92%)。Logistic回归分析发现,小学及以下文化程度、头颈部暴露部位、暴露程度三级、离婚/丧偶/未婚/独居家庭状况、创伤次数大于1次、狂犬病防治意识不高(P < 0.05)是精神障碍发生的显著危险因素。该风险预测模型具有良好的预测效果,受试者工作特征曲线下面积为0.859,特异性为74.42%,敏感性为93.02%。结论:在现实环境中,狂犬病疫苗接种后精神障碍较为常见,且与受教育程度低、暴露程度高、家庭脆弱、狂犬病防控意识不足等因素有关。建立的风险预测模型有助于早期识别高危人群,并支持及时的临床干预。
本文章由计算机程序翻译,如有差异,请以英文原文为准。
求助全文
约1分钟内获得全文 求助全文
来源期刊
自引率
6.50%
发文量
110
期刊介绍: The World Journal of Psychiatry (WJP) is a high-quality, peer reviewed, open-access journal. The primary task of WJP is to rapidly publish high-quality original articles, reviews, editorials, and case reports in the field of psychiatry. In order to promote productive academic communication, the peer review process for the WJP is transparent; to this end, all published manuscripts are accompanied by the anonymized reviewers’ comments as well as the authors’ responses. The primary aims of the WJP are to improve diagnostic, therapeutic and preventive modalities and the skills of clinicians and to guide clinical practice in psychiatry.
×
引用
GB/T 7714-2015
复制
MLA
复制
APA
复制
导出至
BibTeX EndNote RefMan NoteFirst NoteExpress
×
提示
您的信息不完整,为了账户安全,请先补充。
现在去补充
×
提示
您因"违规操作"
具体请查看互助需知
我知道了
×
提示
确定
请完成安全验证×
copy
已复制链接
快去分享给好友吧!
我知道了
右上角分享
点击右上角分享
0
联系我们:info@booksci.cn Book学术提供免费学术资源搜索服务,方便国内外学者检索中英文文献。致力于提供最便捷和优质的服务体验。 Copyright © 2023 布克学术 All rights reserved.
京ICP备2023020795号-1
ghs 京公网安备 11010802042870号
Book学术文献互助
Book学术文献互助群
群 号:604180095
Book学术官方微信