Impact of Doxorubicin on Cardiac Function in Dogs: Ejection Fraction Changes and Heart Failure Risk.

IF 1.7 3区 农林科学 Q2 VETERINARY SCIENCES
Gustavo Cavinato Herrera, Luiz Ricardo Soldi, Leandro Machado Oliveira, Luiz Renato Paranhos, Marcelo José Barbosa Silva
{"title":"Impact of Doxorubicin on Cardiac Function in Dogs: Ejection Fraction Changes and Heart Failure Risk.","authors":"Gustavo Cavinato Herrera, Luiz Ricardo Soldi, Leandro Machado Oliveira, Luiz Renato Paranhos, Marcelo José Barbosa Silva","doi":"10.1002/vms3.70497","DOIUrl":null,"url":null,"abstract":"<p><p>Doxorubicin is an antitumor antibiotic. It is often used in veterinary medicine to treat and extend the lives of dogs with cancer. A cardiotoxic side effect can lead to heart failure and treatment discontinuation. This systematic review and meta-analysis aimed to evaluate the drug's cardiotoxic effects on the ejection fraction (EF) of dogs in doxorubicin protocols. The search was done in eight databases, with a total of 3587 articles screened, resulting in fifteen eligible articles included. A report on the included studies' methods and results was done. It also assessed the risk of bias. Thirteen articles demonstrated cardiac changes in echocardiography with different routes of administration (intravenous and intracoronary). The intracoronary route was more toxic, and in all six studies performed, there was heart failure. The intravenous route caused heart failure in six of the nine studies. A meta-analysis showed this drug worsened heart disease. It included four studies where it significantly lowered the EF. Overall, the intervention produced a mean reduction of 21.24% in EF. This review shows doxorubicin's impact on cardiac function. It reveals the need for careful monitoring of each patient.</p>","PeriodicalId":23543,"journal":{"name":"Veterinary Medicine and Science","volume":"11 5","pages":"e70497"},"PeriodicalIF":1.7000,"publicationDate":"2025-09-01","publicationTypes":"Journal Article","fieldsOfStudy":null,"isOpenAccess":false,"openAccessPdf":"https://www.ncbi.nlm.nih.gov/pmc/articles/PMC12376308/pdf/","citationCount":"0","resultStr":null,"platform":"Semanticscholar","paperid":null,"PeriodicalName":"Veterinary Medicine and Science","FirstCategoryId":"97","ListUrlMain":"https://doi.org/10.1002/vms3.70497","RegionNum":3,"RegionCategory":"农林科学","ArticlePicture":[],"TitleCN":null,"AbstractTextCN":null,"PMCID":null,"EPubDate":"","PubModel":"","JCR":"Q2","JCRName":"VETERINARY SCIENCES","Score":null,"Total":0}
引用次数: 0

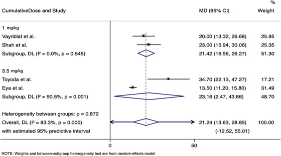
Abstract

Doxorubicin is an antitumor antibiotic. It is often used in veterinary medicine to treat and extend the lives of dogs with cancer. A cardiotoxic side effect can lead to heart failure and treatment discontinuation. This systematic review and meta-analysis aimed to evaluate the drug's cardiotoxic effects on the ejection fraction (EF) of dogs in doxorubicin protocols. The search was done in eight databases, with a total of 3587 articles screened, resulting in fifteen eligible articles included. A report on the included studies' methods and results was done. It also assessed the risk of bias. Thirteen articles demonstrated cardiac changes in echocardiography with different routes of administration (intravenous and intracoronary). The intracoronary route was more toxic, and in all six studies performed, there was heart failure. The intravenous route caused heart failure in six of the nine studies. A meta-analysis showed this drug worsened heart disease. It included four studies where it significantly lowered the EF. Overall, the intervention produced a mean reduction of 21.24% in EF. This review shows doxorubicin's impact on cardiac function. It reveals the need for careful monitoring of each patient.

Abstract Image

Abstract Image

Abstract Image

阿霉素对狗心脏功能的影响:射血分数变化和心力衰竭风险。
阿霉素是一种抗肿瘤抗生素。它经常用于兽医治疗和延长癌症狗的生命。心脏毒性副作用可导致心力衰竭和停止治疗。本系统综述和荟萃分析旨在评估阿霉素方案中药物对狗射血分数(EF)的心脏毒性作用。在8个数据库中进行检索,共筛选了3587篇文章,最终纳入了15篇符合条件的文章。对纳入研究的方法和结果进行了报告。它还评估了偏倚风险。13篇文章显示不同给药途径(静脉和冠状动脉内)的心脏超声心动图变化。冠状动脉内途径毒性更大,在进行的所有六项研究中,都有心力衰竭。在9项研究中,有6项静脉注射导致心力衰竭。一项荟萃分析显示,这种药物会加重心脏病。它包括四项研究,其中它显著降低了EF。总的来说,干预使EF平均降低了21.24%。这篇综述显示了阿霉素对心功能的影响。它揭示了对每个病人进行仔细监测的必要性。
本文章由计算机程序翻译,如有差异,请以英文原文为准。
求助全文
约1分钟内获得全文 求助全文
来源期刊
Veterinary Medicine and Science
Veterinary Medicine and Science Veterinary-General Veterinary
CiteScore
3.00
自引率
0.00%
发文量
296
期刊介绍: Veterinary Medicine and Science is the peer-reviewed journal for rapid dissemination of research in all areas of veterinary medicine and science. The journal aims to serve the research community by providing a vehicle for authors wishing to publish interesting and high quality work in both fundamental and clinical veterinary medicine and science. Veterinary Medicine and Science publishes original research articles, systematic reviews, meta-analyses, and research methods papers, along with invited editorials and commentaries. Original research papers must report well-conducted research with conclusions supported by the data presented in the paper. We aim to be a truly global forum for high-quality research in veterinary medicine and science, and believe that the best research should be published and made widely accessible as quickly as possible. Veterinary Medicine and Science publishes papers submitted directly to the journal and those referred from a select group of prestigious journals published by Wiley-Blackwell. Veterinary Medicine and Science is a Wiley Open Access journal, one of a new series of peer-reviewed titles publishing quality research with speed and efficiency. For further information visit the Wiley Open Access website.
×
引用
GB/T 7714-2015
复制
MLA
复制
APA
复制
导出至
BibTeX EndNote RefMan NoteFirst NoteExpress
×
提示
您的信息不完整,为了账户安全,请先补充。
现在去补充
×
提示
您因"违规操作"
具体请查看互助需知
我知道了
×
提示
确定
请完成安全验证×
copy
已复制链接
快去分享给好友吧!
我知道了
右上角分享
点击右上角分享
0
联系我们:info@booksci.cn Book学术提供免费学术资源搜索服务,方便国内外学者检索中英文文献。致力于提供最便捷和优质的服务体验。 Copyright © 2023 布克学术 All rights reserved.
京ICP备2023020795号-1
ghs 京公网安备 11010802042870号
Book学术文献互助
Book学术文献互助群
群 号:604180095
Book学术官方微信