Benzalkonium Chloride Significantly Improves Environmental DNA Detection from Schistosomiasis Snail Vectors in Freshwater Samples.

IF 2.6 4区 医学 Q2 INFECTIOUS DISEASES
Raquel Sánchez-Marqués, Pablo Fernando Cuervo, Alejandra De Elías-Escribano, Alberto Martínez-Ortí, Patricio Artigas, Maria Cecilia Fantozzi, Santiago Mas-Coma, Maria Dolores Bargues
{"title":"Benzalkonium Chloride Significantly Improves Environmental DNA Detection from Schistosomiasis Snail Vectors in Freshwater Samples.","authors":"Raquel Sánchez-Marqués, Pablo Fernando Cuervo, Alejandra De Elías-Escribano, Alberto Martínez-Ortí, Patricio Artigas, Maria Cecilia Fantozzi, Santiago Mas-Coma, Maria Dolores Bargues","doi":"10.3390/tropicalmed10080201","DOIUrl":null,"url":null,"abstract":"<p><p>Urogenital schistosomiasis, caused by <i>Schistosoma haematobium</i> and transmitted by <i>Bulinus</i> snails, affects approximately 190 million individuals globally and remains a major public health concern. Effective surveillance of snail vectors is critical for disease control, but traditional identification methods are time-intensive and require specialized expertise. Environmental DNA (eDNA) detection using qPCR has emerged as a promising alternative for large-scale vector surveillance. To prevent eDNA degradation, benzalkonium chloride (BAC) has been proposed as a preservative, though its efficacy with schistosomiasis snail vectors has not been evaluated. This study tested the impact of BAC (0.01%) on the stability of <i>Bulinus truncatus</i> eDNA under simulated field conditions. Water samples from aquaria with varying snail densities (0.5-30 snails/L) were stored up to 42 days with BAC. eDNA detection via qPCR and multivariable linear mixed regression analysis revealed that BAC enhanced eDNA stability. eDNA was detectable up to 42 days in samples with ≥1 snail/L and up to 35 days at 0.5 snails/L. Additionally, a positive correlation between snail density and eDNA concentration was observed. These findings support the development of robust eDNA sampling protocols for field surveillance, enabling effective monitoring in remote areas and potentially distinguishing between low- and high-risk schistosomiasis transmission zones.</p>","PeriodicalId":23330,"journal":{"name":"Tropical Medicine and Infectious Disease","volume":"10 8","pages":""},"PeriodicalIF":2.6000,"publicationDate":"2025-07-22","publicationTypes":"Journal Article","fieldsOfStudy":null,"isOpenAccess":false,"openAccessPdf":"https://www.ncbi.nlm.nih.gov/pmc/articles/PMC12390305/pdf/","citationCount":"0","resultStr":null,"platform":"Semanticscholar","paperid":null,"PeriodicalName":"Tropical Medicine and Infectious Disease","FirstCategoryId":"3","ListUrlMain":"https://doi.org/10.3390/tropicalmed10080201","RegionNum":4,"RegionCategory":"医学","ArticlePicture":[],"TitleCN":null,"AbstractTextCN":null,"PMCID":null,"EPubDate":"","PubModel":"","JCR":"Q2","JCRName":"INFECTIOUS DISEASES","Score":null,"Total":0}
引用次数: 0

Abstract

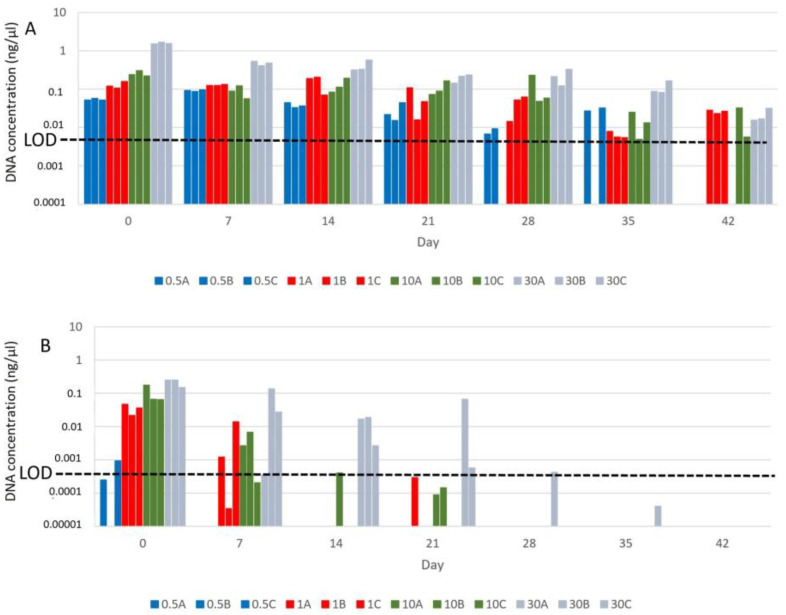
Urogenital schistosomiasis, caused by Schistosoma haematobium and transmitted by Bulinus snails, affects approximately 190 million individuals globally and remains a major public health concern. Effective surveillance of snail vectors is critical for disease control, but traditional identification methods are time-intensive and require specialized expertise. Environmental DNA (eDNA) detection using qPCR has emerged as a promising alternative for large-scale vector surveillance. To prevent eDNA degradation, benzalkonium chloride (BAC) has been proposed as a preservative, though its efficacy with schistosomiasis snail vectors has not been evaluated. This study tested the impact of BAC (0.01%) on the stability of Bulinus truncatus eDNA under simulated field conditions. Water samples from aquaria with varying snail densities (0.5-30 snails/L) were stored up to 42 days with BAC. eDNA detection via qPCR and multivariable linear mixed regression analysis revealed that BAC enhanced eDNA stability. eDNA was detectable up to 42 days in samples with ≥1 snail/L and up to 35 days at 0.5 snails/L. Additionally, a positive correlation between snail density and eDNA concentration was observed. These findings support the development of robust eDNA sampling protocols for field surveillance, enabling effective monitoring in remote areas and potentially distinguishing between low- and high-risk schistosomiasis transmission zones.

Abstract Image

Abstract Image

Abstract Image

苯扎氯铵显著提高淡水血吸虫病病媒蜗牛环境DNA检测效果。
由血血吸虫引起并由布氏蜗牛传播的泌尿生殖血吸虫病影响全球约1.9亿人,仍然是一个主要的公共卫生问题。对蜗牛病媒的有效监测对疾病控制至关重要,但传统的识别方法耗时且需要专门知识。qPCR检测环境DNA (eDNA)已成为大规模媒介监测的一种有前途的替代方法。为了防止eDNA降解,苯扎氯铵(benzalkonium chloride, BAC)被提议作为一种防腐剂,尽管其对血吸虫病蜗牛载体的功效尚未得到评估。本研究在模拟田间条件下,测试了BAC(0.01%)对白杨eDNA稳定性的影响。不同蜗牛密度(0.5 ~ 30只/L)的水族馆水样用BAC保存42天。通过qPCR检测eDNA和多变量线性混合回归分析显示BAC增强了eDNA的稳定性。在≥1只蜗牛/L的样品中,eDNA可检测到42天,在0.5只蜗牛/L的样品中可检测到35天。此外,蜗牛密度与eDNA浓度呈正相关。这些发现支持为现场监测制定强有力的eDNA采样方案,从而能够在偏远地区进行有效监测,并有可能区分低风险和高风险血吸虫病传播区。
本文章由计算机程序翻译,如有差异,请以英文原文为准。
求助全文
约1分钟内获得全文 求助全文
来源期刊
Tropical Medicine and Infectious Disease
Tropical Medicine and Infectious Disease Medicine-Public Health, Environmental and Occupational Health
CiteScore
3.90
自引率
10.30%
发文量
353
审稿时长
11 weeks
×
引用
GB/T 7714-2015
复制
MLA
复制
APA
复制
导出至
BibTeX EndNote RefMan NoteFirst NoteExpress
×
提示
您的信息不完整,为了账户安全,请先补充。
现在去补充
×
提示
您因"违规操作"
具体请查看互助需知
我知道了
×
提示
确定
请完成安全验证×
copy
已复制链接
快去分享给好友吧!
我知道了
右上角分享
点击右上角分享
0
联系我们:info@booksci.cn Book学术提供免费学术资源搜索服务,方便国内外学者检索中英文文献。致力于提供最便捷和优质的服务体验。 Copyright © 2023 布克学术 All rights reserved.
京ICP备2023020795号-1
ghs 京公网安备 11010802042870号
Book学术文献互助
Book学术文献互助群
群 号:604180095
Book学术官方微信