Causal relationship between Alzheimer's disease and cerebral small vessel disease: a Mendelian randomization study.

IF 6.2 1区 医学 Q1 PSYCHIATRY
Renjie Liu, Lanlan Chen, Xuan Chen
{"title":"Causal relationship between Alzheimer's disease and cerebral small vessel disease: a Mendelian randomization study.","authors":"Renjie Liu, Lanlan Chen, Xuan Chen","doi":"10.1038/s41398-025-03560-8","DOIUrl":null,"url":null,"abstract":"<p><p>Observational studies have produced inconsistent findings regarding the relationship between Alzheimer's disease (AD) and cerebral small vessel disease (CSVD) risk. Residual confounding and potential reverse causality are inevitable in such conventional observational studies. We tried to examine the causal relationship between AD and CSVD-related phenotypes using genetic methods. Genetic instruments for each AD and CSVD-related phenotypes (cerebral microbleeds, white matter hyperintensity, and lacunar stroke) were derived from large-scale genome-wide association studies. In this study, two-sample Mendelian randomization (MR) tested potential causal associations between AD and CSVD-related phenotypes, followed by a colocalization analysis to corroborate MR findings and explain possible mechanisms. Using univariable MR, we observed that genetic liability to AD was associated with an increased risk of cerebral microbleeds (CMBs) [odds ratio (OR) = 1.149; 95% confidence interval (CI) = 1.070-1.235, P < 0.001], and a modest increase in white matter hyperintensities (WMHs) volume (β = 0.031 mm<sup>3</sup>, 95% CI = 0.009-0.054 mm<sup>3</sup>, P = 0.005). In multivariable MR, the causal effect of genetic liability for AD on CMBs and WMHs remained after adjusting for risk factors, with the estimate across the IVW method. Colocalization results provided evidence for a shared causal variant between AD with CMBs (PPH4 = 0.996) and WMHs (PPH4 = 0.657), suggesting that the MR estimates were not confounded by linkage disequilibrium. Our MR analyses provided robust evidence for the causal effects of genetic liability for AD on an increased risk of CMBs and WMHs. More work is warranted to confirm the mechanisms of association between AD and CSVD.</p>","PeriodicalId":23278,"journal":{"name":"Translational Psychiatry","volume":"15 1","pages":"317"},"PeriodicalIF":6.2000,"publicationDate":"2025-08-26","publicationTypes":"Journal Article","fieldsOfStudy":null,"isOpenAccess":false,"openAccessPdf":"https://www.ncbi.nlm.nih.gov/pmc/articles/PMC12381051/pdf/","citationCount":"0","resultStr":null,"platform":"Semanticscholar","paperid":null,"PeriodicalName":"Translational Psychiatry","FirstCategoryId":"3","ListUrlMain":"https://doi.org/10.1038/s41398-025-03560-8","RegionNum":1,"RegionCategory":"医学","ArticlePicture":[],"TitleCN":null,"AbstractTextCN":null,"PMCID":null,"EPubDate":"","PubModel":"","JCR":"Q1","JCRName":"PSYCHIATRY","Score":null,"Total":0}
引用次数: 0

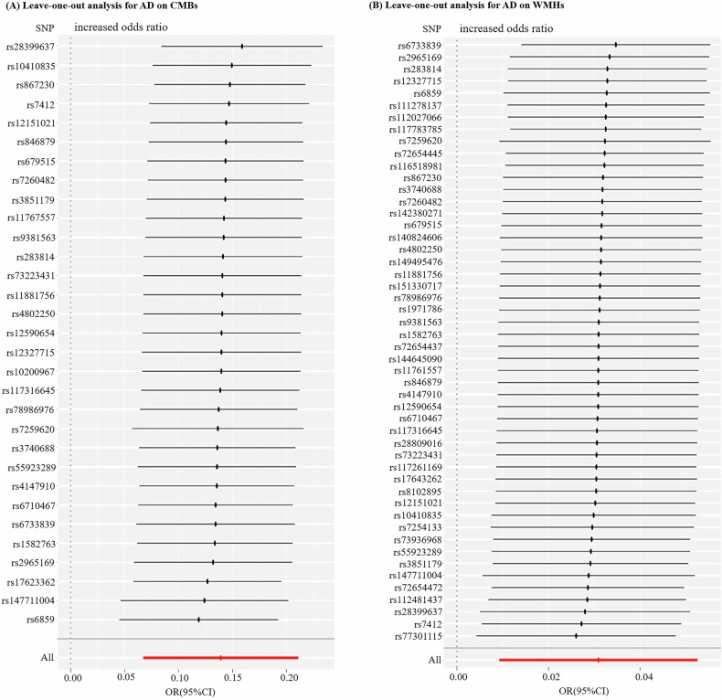
Abstract

Observational studies have produced inconsistent findings regarding the relationship between Alzheimer's disease (AD) and cerebral small vessel disease (CSVD) risk. Residual confounding and potential reverse causality are inevitable in such conventional observational studies. We tried to examine the causal relationship between AD and CSVD-related phenotypes using genetic methods. Genetic instruments for each AD and CSVD-related phenotypes (cerebral microbleeds, white matter hyperintensity, and lacunar stroke) were derived from large-scale genome-wide association studies. In this study, two-sample Mendelian randomization (MR) tested potential causal associations between AD and CSVD-related phenotypes, followed by a colocalization analysis to corroborate MR findings and explain possible mechanisms. Using univariable MR, we observed that genetic liability to AD was associated with an increased risk of cerebral microbleeds (CMBs) [odds ratio (OR) = 1.149; 95% confidence interval (CI) = 1.070-1.235, P < 0.001], and a modest increase in white matter hyperintensities (WMHs) volume (β = 0.031 mm3, 95% CI = 0.009-0.054 mm3, P = 0.005). In multivariable MR, the causal effect of genetic liability for AD on CMBs and WMHs remained after adjusting for risk factors, with the estimate across the IVW method. Colocalization results provided evidence for a shared causal variant between AD with CMBs (PPH4 = 0.996) and WMHs (PPH4 = 0.657), suggesting that the MR estimates were not confounded by linkage disequilibrium. Our MR analyses provided robust evidence for the causal effects of genetic liability for AD on an increased risk of CMBs and WMHs. More work is warranted to confirm the mechanisms of association between AD and CSVD.

Abstract Image

Abstract Image

Abstract Image

阿尔茨海默病与脑血管病的因果关系:一项孟德尔随机研究。
关于阿尔茨海默病(AD)和脑血管病(CSVD)风险之间的关系,观察性研究得出了不一致的结果。在这种传统的观察性研究中,残留的混淆和潜在的反向因果关系是不可避免的。我们试图用遗传学方法检查AD和csvd相关表型之间的因果关系。每种AD和csvd相关表型(脑微出血、白质高强度和腔隙性卒中)的遗传工具来自大规模全基因组关联研究。在这项研究中,双样本孟德尔随机化(MR)测试了AD和csvd相关表型之间的潜在因果关系,随后进行了共定位分析,以证实MR结果并解释可能的机制。使用单变量MR,我们观察到AD的遗传易感性与脑微出血(CMBs)风险增加相关[优势比(OR) = 1.149;95%可信区间(CI) = 1.070 - -1.235, P 3, mm3 95% CI = 0.009 -0.054, P = 0.005)。在多变量MR中,在调整了风险因素后,AD遗传倾向对CMBs和wmh的因果效应仍然存在,通过IVW方法进行了估计。共定位结果为AD与CMBs (PPH4 = 0.996)和wmh (PPH4 = 0.657)之间存在共同的因果变异提供了证据,表明MR估计值不受连锁不平衡的影响。我们的MR分析为AD遗传倾向与CMBs和wmh风险增加的因果关系提供了有力证据。需要更多的工作来证实AD和CSVD之间的关联机制。
本文章由计算机程序翻译,如有差异,请以英文原文为准。
求助全文
约1分钟内获得全文 求助全文
来源期刊
CiteScore
11.50
自引率
2.90%
发文量
484
审稿时长
23 weeks
期刊介绍: Psychiatry has suffered tremendously by the limited translational pipeline. Nobel laureate Julius Axelrod''s discovery in 1961 of monoamine reuptake by pre-synaptic neurons still forms the basis of contemporary antidepressant treatment. There is a grievous gap between the explosion of knowledge in neuroscience and conceptually novel treatments for our patients. Translational Psychiatry bridges this gap by fostering and highlighting the pathway from discovery to clinical applications, healthcare and global health. We view translation broadly as the full spectrum of work that marks the pathway from discovery to global health, inclusive. The steps of translation that are within the scope of Translational Psychiatry include (i) fundamental discovery, (ii) bench to bedside, (iii) bedside to clinical applications (clinical trials), (iv) translation to policy and health care guidelines, (v) assessment of health policy and usage, and (vi) global health. All areas of medical research, including — but not restricted to — molecular biology, genetics, pharmacology, imaging and epidemiology are welcome as they contribute to enhance the field of translational psychiatry.
×
引用
GB/T 7714-2015
复制
MLA
复制
APA
复制
导出至
BibTeX EndNote RefMan NoteFirst NoteExpress
×
提示
您的信息不完整,为了账户安全,请先补充。
现在去补充
×
提示
您因"违规操作"
具体请查看互助需知
我知道了
×
提示
确定
请完成安全验证×
copy
已复制链接
快去分享给好友吧!
我知道了
右上角分享
点击右上角分享
0
联系我们:info@booksci.cn Book学术提供免费学术资源搜索服务,方便国内外学者检索中英文文献。致力于提供最便捷和优质的服务体验。 Copyright © 2023 布克学术 All rights reserved.
京ICP备2023020795号-1
ghs 京公网安备 11010802042870号
Book学术文献互助
Book学术文献互助群
群 号:604180095
Book学术官方微信