Physiologically based pharmacokinetic modelling to predict artemether and lumefantrine exposure in neonates weighing less than 5 kg treated with artemether-lumefantrine to supplement the clinical data from the CALINA study.

IF 3.5 Q1 TROPICAL MEDICINE
Helen Gu, Nada Abla, Vinay Kumar Venishetty, Birgit Schoeberl, Julia Zack, Heidi J Einolf
{"title":"Physiologically based pharmacokinetic modelling to predict artemether and lumefantrine exposure in neonates weighing less than 5 kg treated with artemether-lumefantrine to supplement the clinical data from the CALINA study.","authors":"Helen Gu, Nada Abla, Vinay Kumar Venishetty, Birgit Schoeberl, Julia Zack, Heidi J Einolf","doi":"10.1186/s41182-025-00790-w","DOIUrl":null,"url":null,"abstract":"<p><strong>Background: </strong>Evidence-based recommendations for malaria treatment in patients weighing < 5 kg are lacking as a consequence of differences in pharmacokinetics due to age and/or body weight (BW), and recruitment challenges in conducting trials in this population. A physiologically based pharmacokinetic (PBPK) model was developed and validated to predict artemether and lumefantrine concentrations in patients < 5 kg BW aged 1-28 days. The model predictions supplemented data from a trial (CALINA; NCT04300309) with an optimized dose of artemether-lumefantrine (5 mg artemether: 60 mg lumefantrine) in patients < 5 kg with Plasmodium falciparum malaria.</p><p><strong>Methods: </strong>PBPK models of artemether and lumefantrine were developed using Simcyp (Version 22) and validation was performed using historical data from adults and paediatric patients. To compare model-predicted and observed values, populations were matched to clinical trial populations (ranging from adults to infants) for patient numbers and demographics. The models were applied to predict artemether maximal concentration (C<sub>max</sub>) and lumefantrine C<sub>max</sub> and Day 7 concentration (C<sub>168h</sub>) in neonates of < 5 kg BW aged 1-28 days, and for subgroups aged 1-7, 8-14, and 15-28 days.</p><p><strong>Results: </strong>Validated models for artemether and lumefantrine were used to predict plasma concentrations in neonates and young infants with BW < 5 kg after 3-day administration of 5 mg artemether and 60 mg lumefantrine twice daily with high confidence. The PBPK model using Upreti hepatic cytochrome P450 (CYP)3A4 ontogeny predicted observed artemether and lumefantrine exposure in infants and neonates better than Salem ontogeny. The predicted variability in neonates was comparable to or larger than the variability of observed concentrations in infants and older neonates in the CALINA study.</p><p><strong>Conclusions: </strong>Based on the success of the PBPK models for artemether and lumefantrine in predicting drug concentrations in adults and children, including neonates, modelling and simulation results can be used with confidence to supplement the limited available data for neonates (1-28 days old) < 5 kg BW obtained from the CALINA study for this rarer and more difficult to recruit patient population.</p>","PeriodicalId":23311,"journal":{"name":"Tropical Medicine and Health","volume":"53 1","pages":"116"},"PeriodicalIF":3.5000,"publicationDate":"2025-08-25","publicationTypes":"Journal Article","fieldsOfStudy":null,"isOpenAccess":false,"openAccessPdf":"https://www.ncbi.nlm.nih.gov/pmc/articles/PMC12376358/pdf/","citationCount":"0","resultStr":null,"platform":"Semanticscholar","paperid":null,"PeriodicalName":"Tropical Medicine and Health","FirstCategoryId":"1085","ListUrlMain":"https://doi.org/10.1186/s41182-025-00790-w","RegionNum":0,"RegionCategory":null,"ArticlePicture":[],"TitleCN":null,"AbstractTextCN":null,"PMCID":null,"EPubDate":"","PubModel":"","JCR":"Q1","JCRName":"TROPICAL MEDICINE","Score":null,"Total":0}
引用次数: 0

Abstract

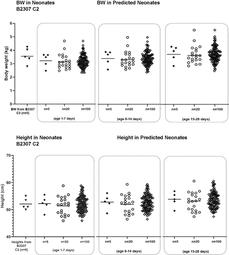
Background: Evidence-based recommendations for malaria treatment in patients weighing < 5 kg are lacking as a consequence of differences in pharmacokinetics due to age and/or body weight (BW), and recruitment challenges in conducting trials in this population. A physiologically based pharmacokinetic (PBPK) model was developed and validated to predict artemether and lumefantrine concentrations in patients < 5 kg BW aged 1-28 days. The model predictions supplemented data from a trial (CALINA; NCT04300309) with an optimized dose of artemether-lumefantrine (5 mg artemether: 60 mg lumefantrine) in patients < 5 kg with Plasmodium falciparum malaria.

Methods: PBPK models of artemether and lumefantrine were developed using Simcyp (Version 22) and validation was performed using historical data from adults and paediatric patients. To compare model-predicted and observed values, populations were matched to clinical trial populations (ranging from adults to infants) for patient numbers and demographics. The models were applied to predict artemether maximal concentration (Cmax) and lumefantrine Cmax and Day 7 concentration (C168h) in neonates of < 5 kg BW aged 1-28 days, and for subgroups aged 1-7, 8-14, and 15-28 days.

Results: Validated models for artemether and lumefantrine were used to predict plasma concentrations in neonates and young infants with BW < 5 kg after 3-day administration of 5 mg artemether and 60 mg lumefantrine twice daily with high confidence. The PBPK model using Upreti hepatic cytochrome P450 (CYP)3A4 ontogeny predicted observed artemether and lumefantrine exposure in infants and neonates better than Salem ontogeny. The predicted variability in neonates was comparable to or larger than the variability of observed concentrations in infants and older neonates in the CALINA study.

Conclusions: Based on the success of the PBPK models for artemether and lumefantrine in predicting drug concentrations in adults and children, including neonates, modelling and simulation results can be used with confidence to supplement the limited available data for neonates (1-28 days old) < 5 kg BW obtained from the CALINA study for this rarer and more difficult to recruit patient population.

Abstract Image

Abstract Image

Abstract Image

以生理为基础的药代动力学模型,预测体重小于5kg的接受蒿甲醚-氨芳碱治疗的新生儿暴露于蒿甲醚和氨芳碱,以补充CALINA研究的临床数据。
方法:使用Simcyp (Version 22)建立蒿甲醚和氨苯曲明的PBPK模型,并使用成人和儿科患者的历史数据进行验证。为了比较模型预测值和观测值,人群与临床试验人群(从成人到婴儿)的患者数量和人口统计学相匹配。应用该模型预测新生儿甲醚最大浓度(Cmax)、甲苯胺最大浓度(Cmax)和第7天浓度(C168h)。结果:应用验证过的甲醚和甲苯胺模型预测新生儿和幼龄BW婴儿血药浓度。基于蒿甲醚和氨苯曲明的PBPK模型在预测成人和儿童(包括新生儿)药物浓度方面的成功,建模和模拟结果可以自信地用于补充新生儿(1-28天大)有限的可用数据。
本文章由计算机程序翻译,如有差异,请以英文原文为准。
求助全文
约1分钟内获得全文 求助全文
来源期刊
Tropical Medicine and Health
Tropical Medicine and Health TROPICAL MEDICINE-
CiteScore
7.00
自引率
2.20%
发文量
90
审稿时长
11 weeks
×
引用
GB/T 7714-2015
复制
MLA
复制
APA
复制
导出至
BibTeX EndNote RefMan NoteFirst NoteExpress
×
提示
您的信息不完整,为了账户安全,请先补充。
现在去补充
×
提示
您因"违规操作"
具体请查看互助需知
我知道了
×
提示
确定
请完成安全验证×
copy
已复制链接
快去分享给好友吧!
我知道了
右上角分享
点击右上角分享
0
联系我们:info@booksci.cn Book学术提供免费学术资源搜索服务,方便国内外学者检索中英文文献。致力于提供最便捷和优质的服务体验。 Copyright © 2023 布克学术 All rights reserved.
京ICP备2023020795号-1
ghs 京公网安备 11010802042870号
Book学术文献互助
Book学术文献互助群
群 号:604180095
Book学术官方微信