Retinal and Choroidal Vascular Biomarkers Are Correlated With the Degree of Myopia.

IF 2.6 3区 医学 Q2 OPHTHALMOLOGY
James Park, Zachary Snow, Henry W Zhou, Rabia Karani, Vlad Diaconita, Daniel Oh, Onur Inam, Tongalp H Tezel
{"title":"Retinal and Choroidal Vascular Biomarkers Are Correlated With the Degree of Myopia.","authors":"James Park, Zachary Snow, Henry W Zhou, Rabia Karani, Vlad Diaconita, Daniel Oh, Onur Inam, Tongalp H Tezel","doi":"10.1167/tvst.14.8.39","DOIUrl":null,"url":null,"abstract":"<p><strong>Purpose: </strong>To investigate adaptive changes in retinal and choroidal vasculature with increasing retinal surface area in myopia.</p><p><strong>Methods: </strong>Widefield optical coherence tomography angiography and enhanced depth imaging (EDI)-OCT images of the retina were used to acquire digital images of the choroidal and retinal vasculature in 32 eyes with axial myopia and 14 emmetropic control population eyes. Retinal vessel density was calculated using Otsu's method and used for quantitative comparison of retinal vascular architecture and perfusion ability with increasing retinal surface area. The choroidal vascularity index was also calculated from skeletonized 15 × 9 mm swept-source EDI-OCT images. Correlations were sought between increasing myopia and the retinal vessel density and choroidal vascularity index.</p><p><strong>Results: </strong>Increased axial myopia was negatively correlated with retinal vessel density (r2 = 0.35, P < 0.001) and positively correlated with choroidal vascularity index (r2 = 0.31, P < 0.001).</p><p><strong>Conclusions: </strong>Increased retinal surface area in myopia results in decreased retinal vascular surface coverage. The inadequacy of retinal vascular coverage is compensated for by increased choroidal vascularity index in high myopes. This adaptive change may enable oxygen diffusion from choroidal vessels to the relatively thinner retina, thereby supplementing the oxygen needs of the inner retinal neurons.</p><p><strong>Translational relevance: </strong>Adaptive changes in the choroidal vessels to supply more oxygen to the inner retina can explain why myopic patients exhibit a decreased risk of diabetic retinopathy and its vision-threatening complications despite being vulnerable due to inadequate retinal vascular coverage.</p>","PeriodicalId":23322,"journal":{"name":"Translational Vision Science & Technology","volume":"14 8","pages":"39"},"PeriodicalIF":2.6000,"publicationDate":"2025-08-01","publicationTypes":"Journal Article","fieldsOfStudy":null,"isOpenAccess":false,"openAccessPdf":"https://www.ncbi.nlm.nih.gov/pmc/articles/PMC12395817/pdf/","citationCount":"0","resultStr":null,"platform":"Semanticscholar","paperid":null,"PeriodicalName":"Translational Vision Science & Technology","FirstCategoryId":"3","ListUrlMain":"https://doi.org/10.1167/tvst.14.8.39","RegionNum":3,"RegionCategory":"医学","ArticlePicture":[],"TitleCN":null,"AbstractTextCN":null,"PMCID":null,"EPubDate":"","PubModel":"","JCR":"Q2","JCRName":"OPHTHALMOLOGY","Score":null,"Total":0}
引用次数: 0

Abstract

Purpose: To investigate adaptive changes in retinal and choroidal vasculature with increasing retinal surface area in myopia.

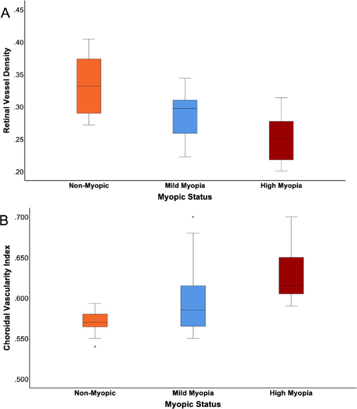
Methods: Widefield optical coherence tomography angiography and enhanced depth imaging (EDI)-OCT images of the retina were used to acquire digital images of the choroidal and retinal vasculature in 32 eyes with axial myopia and 14 emmetropic control population eyes. Retinal vessel density was calculated using Otsu's method and used for quantitative comparison of retinal vascular architecture and perfusion ability with increasing retinal surface area. The choroidal vascularity index was also calculated from skeletonized 15 × 9 mm swept-source EDI-OCT images. Correlations were sought between increasing myopia and the retinal vessel density and choroidal vascularity index.

Results: Increased axial myopia was negatively correlated with retinal vessel density (r2 = 0.35, P < 0.001) and positively correlated with choroidal vascularity index (r2 = 0.31, P < 0.001).

Conclusions: Increased retinal surface area in myopia results in decreased retinal vascular surface coverage. The inadequacy of retinal vascular coverage is compensated for by increased choroidal vascularity index in high myopes. This adaptive change may enable oxygen diffusion from choroidal vessels to the relatively thinner retina, thereby supplementing the oxygen needs of the inner retinal neurons.

Translational relevance: Adaptive changes in the choroidal vessels to supply more oxygen to the inner retina can explain why myopic patients exhibit a decreased risk of diabetic retinopathy and its vision-threatening complications despite being vulnerable due to inadequate retinal vascular coverage.

Abstract Image

Abstract Image

Abstract Image

视网膜和脉络膜血管生物标志物与近视程度相关。
目的:探讨近视视网膜和脉络膜血管随视网膜表面积增加而发生的适应性变化。方法:采用视网膜宽视场光学相干断层血管造影和增强深度成像(EDI -OCT)图像获取32只眼轴型近视眼和14只眼远视对照眼的脉络膜和视网膜血管的数字图像。采用Otsu法计算视网膜血管密度,定量比较视网膜血管结构和灌注能力随视网膜表面积增加的变化。脉络膜血管指数也从骨架化的15 × 9 mm扫描源EDI-OCT图像计算。在近视增加与视网膜血管密度和脉络膜血管指数之间寻找相关性。结果:轴型近视加重与视网膜血管密度呈负相关(r2 = 0.35, P < 0.001),与脉络膜血管密度指数呈正相关(r2 = 0.31, P < 0.001)。结论:近视眼视网膜表面积增加导致视网膜血管表面覆盖率下降。视网膜血管覆盖的不足是补偿增加脉络膜血管指数在高近视。这种适应性变化可能使氧气从脉络膜血管扩散到相对较薄的视网膜,从而补充视网膜内神经元的氧气需求。翻译相关性:脉络膜血管的适应性变化为内视网膜提供更多的氧气可以解释为什么近视患者表现出糖尿病视网膜病变及其视力威胁并发症的风险降低,尽管由于视网膜血管覆盖不足而易受伤害。
本文章由计算机程序翻译,如有差异,请以英文原文为准。
求助全文
约1分钟内获得全文 求助全文
来源期刊
Translational Vision Science & Technology
Translational Vision Science & Technology Engineering-Biomedical Engineering
CiteScore
5.70
自引率
3.30%
发文量
346
审稿时长
25 weeks
期刊介绍: Translational Vision Science & Technology (TVST), an official journal of the Association for Research in Vision and Ophthalmology (ARVO), an international organization whose purpose is to advance research worldwide into understanding the visual system and preventing, treating and curing its disorders, is an online, open access, peer-reviewed journal emphasizing multidisciplinary research that bridges the gap between basic research and clinical care. A highly qualified and diverse group of Associate Editors and Editorial Board Members is led by Editor-in-Chief Marco Zarbin, MD, PhD, FARVO. The journal covers a broad spectrum of work, including but not limited to: Applications of stem cell technology for regenerative medicine, Development of new animal models of human diseases, Tissue bioengineering, Chemical engineering to improve virus-based gene delivery, Nanotechnology for drug delivery, Design and synthesis of artificial extracellular matrices, Development of a true microsurgical operating environment, Refining data analysis algorithms to improve in vivo imaging technology, Results of Phase 1 clinical trials, Reverse translational ("bedside to bench") research. TVST seeks manuscripts from scientists and clinicians with diverse backgrounds ranging from basic chemistry to ophthalmic surgery that will advance or change the way we understand and/or treat vision-threatening diseases. TVST encourages the use of color, multimedia, hyperlinks, program code and other digital enhancements.
×
引用
GB/T 7714-2015
复制
MLA
复制
APA
复制
导出至
BibTeX EndNote RefMan NoteFirst NoteExpress
×
提示
您的信息不完整,为了账户安全,请先补充。
现在去补充
×
提示
您因"违规操作"
具体请查看互助需知
我知道了
×
提示
确定
请完成安全验证×
copy
已复制链接
快去分享给好友吧!
我知道了
右上角分享
点击右上角分享
0
联系我们:info@booksci.cn Book学术提供免费学术资源搜索服务,方便国内外学者检索中英文文献。致力于提供最便捷和优质的服务体验。 Copyright © 2023 布克学术 All rights reserved.
京ICP备2023020795号-1
ghs 京公网安备 11010802042870号
Book学术文献互助
Book学术文献互助群
群 号:604180095
Book学术官方微信