Impact of gardenia extract on coagulation function in rats with acute myocardial ischemia model.

IF 2.2 4区 医学 Q2 HEMATOLOGY
Zhanwang Zhu, Shifang Mo, Jinxia Luo, Qiuhong Yang
{"title":"Impact of gardenia extract on coagulation function in rats with acute myocardial ischemia model.","authors":"Zhanwang Zhu, Shifang Mo, Jinxia Luo, Qiuhong Yang","doi":"10.1186/s12959-025-00768-y","DOIUrl":null,"url":null,"abstract":"<p><strong>Objective: </strong>This study aims to investigate the effects of gardenia extract (GE) on coagulation function in a rat model of acute myocardial ischemia (AMI).</p><p><strong>Methods: </strong>Healthy male SD rats were randomly divided into five groups: Sham, AMI, GE-L (low-dose GE), GE-M (medium-dose GE), and GE-H (high-dose GE). Two weeks later, echocardiography was performed to assess cardiac function, including left ventricular ejection fraction (LVEF), left ventricular fractional shortening (LVFS), left ventricular end-diastolic diameter (LVEDD), and left ventricular end-systolic diameter (LVESD). Hematoxylin-eosin (HE) staining and TUNEL staining were implemented to observe myocardial pathological changes and apoptosis, respectively. Enzyme-linked immunosorbent assay (ELISA) was employed to measure serum levels of inflammatory factors and oxidative stress markers. Coagulation function was evaluated using an automatic coagulation analyzer, with parameters including prothrombin time (PT), thrombin time (TT), prothrombin time ratio (PTR), international normalized ratio (INR), and fibrinogen level (FIB).</p><p><strong>Results: </strong>Compared with the Sham group, the AMI group exhibited myocardial injury, coagulation dysfunction, impaired cardiac function, and significantly increased levels of inflammation, oxidative stress, and PTR. In contrast, all GE dose groups showed elevated TT, PT, FIB, and INR compared to the AMI group.</p><p><strong>Conclusion: </strong>GE can reverse the cardiac function, inflammatory and oxidative stress indicators, as well as coagulation function in AMI model rats, thereby improving AMI.</p>","PeriodicalId":22982,"journal":{"name":"Thrombosis Journal","volume":"23 1","pages":"80"},"PeriodicalIF":2.2000,"publicationDate":"2025-08-25","publicationTypes":"Journal Article","fieldsOfStudy":null,"isOpenAccess":false,"openAccessPdf":"https://www.ncbi.nlm.nih.gov/pmc/articles/PMC12376344/pdf/","citationCount":"0","resultStr":null,"platform":"Semanticscholar","paperid":null,"PeriodicalName":"Thrombosis Journal","FirstCategoryId":"3","ListUrlMain":"https://doi.org/10.1186/s12959-025-00768-y","RegionNum":4,"RegionCategory":"医学","ArticlePicture":[],"TitleCN":null,"AbstractTextCN":null,"PMCID":null,"EPubDate":"","PubModel":"","JCR":"Q2","JCRName":"HEMATOLOGY","Score":null,"Total":0}
引用次数: 0

Abstract

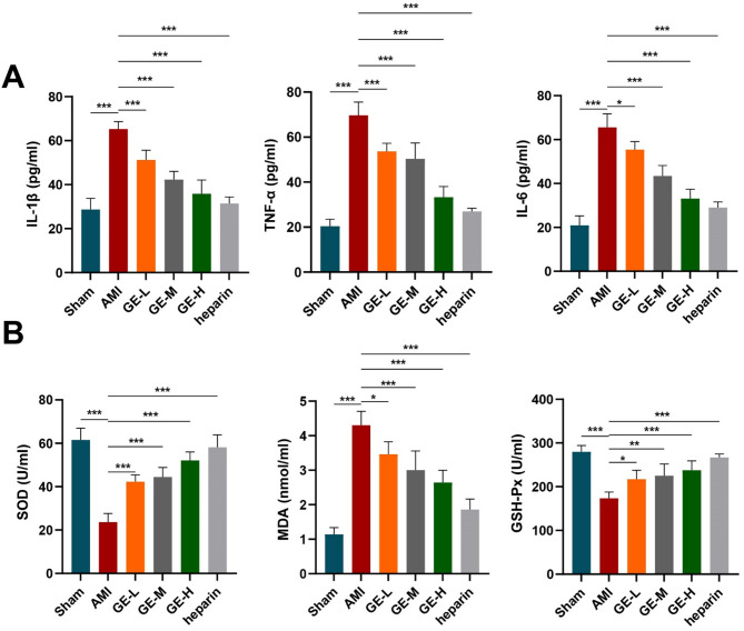
Objective: This study aims to investigate the effects of gardenia extract (GE) on coagulation function in a rat model of acute myocardial ischemia (AMI).

Methods: Healthy male SD rats were randomly divided into five groups: Sham, AMI, GE-L (low-dose GE), GE-M (medium-dose GE), and GE-H (high-dose GE). Two weeks later, echocardiography was performed to assess cardiac function, including left ventricular ejection fraction (LVEF), left ventricular fractional shortening (LVFS), left ventricular end-diastolic diameter (LVEDD), and left ventricular end-systolic diameter (LVESD). Hematoxylin-eosin (HE) staining and TUNEL staining were implemented to observe myocardial pathological changes and apoptosis, respectively. Enzyme-linked immunosorbent assay (ELISA) was employed to measure serum levels of inflammatory factors and oxidative stress markers. Coagulation function was evaluated using an automatic coagulation analyzer, with parameters including prothrombin time (PT), thrombin time (TT), prothrombin time ratio (PTR), international normalized ratio (INR), and fibrinogen level (FIB).

Results: Compared with the Sham group, the AMI group exhibited myocardial injury, coagulation dysfunction, impaired cardiac function, and significantly increased levels of inflammation, oxidative stress, and PTR. In contrast, all GE dose groups showed elevated TT, PT, FIB, and INR compared to the AMI group.

Conclusion: GE can reverse the cardiac function, inflammatory and oxidative stress indicators, as well as coagulation function in AMI model rats, thereby improving AMI.

Abstract Image

Abstract Image

Abstract Image

栀子提取物对急性心肌缺血模型大鼠凝血功能的影响。
目的:探讨栀子提取物(GE)对急性心肌缺血(AMI)大鼠模型凝血功能的影响。方法:健康雄性SD大鼠随机分为Sham、AMI、GE- l(低剂量GE)、GE- m(中剂量GE)、GE- h(高剂量GE) 5组。两周后,行超声心动图评估心功能,包括左室射血分数(LVEF)、左室分数缩短(LVFS)、左室舒张末期内径(LVEDD)和左室收缩末期内径(LVESD)。采用苏木精-伊红(HE)染色和TUNEL染色分别观察大鼠心肌病理变化和细胞凋亡情况。采用酶联免疫吸附试验(ELISA)检测血清炎症因子和氧化应激标志物水平。采用自动凝血仪评估凝血功能,参数包括凝血酶原时间(PT)、凝血酶时间(TT)、凝血酶原时间比(PTR)、国际标准化比(INR)、纤维蛋白原水平(FIB)。结果:与Sham组比较,AMI组出现心肌损伤、凝血功能障碍、心功能受损,炎症、氧化应激、PTR水平明显升高。相比之下,与AMI组相比,所有GE剂量组均显示TT、PT、FIB和INR升高。结论:GE可逆转AMI模型大鼠心功能、炎症、氧化应激指标及凝血功能,从而改善AMI。
本文章由计算机程序翻译,如有差异,请以英文原文为准。
求助全文
约1分钟内获得全文 求助全文
来源期刊
Thrombosis Journal
Thrombosis Journal Medicine-Hematology
CiteScore
3.80
自引率
3.20%
发文量
69
审稿时长
16 weeks
期刊介绍: Thrombosis Journal is an open-access journal that publishes original articles on aspects of clinical and basic research, new methodology, case reports and reviews in the areas of thrombosis. Topics of particular interest include the diagnosis of arterial and venous thrombosis, new antithrombotic treatments, new developments in the understanding, diagnosis and treatments of atherosclerotic vessel disease, relations between haemostasis and vascular disease, hypertension, diabetes, immunology and obesity.
×
引用
GB/T 7714-2015
复制
MLA
复制
APA
复制
导出至
BibTeX EndNote RefMan NoteFirst NoteExpress
×
提示
您的信息不完整,为了账户安全,请先补充。
现在去补充
×
提示
您因"违规操作"
具体请查看互助需知
我知道了
×
提示
确定
请完成安全验证×
copy
已复制链接
快去分享给好友吧!
我知道了
右上角分享
点击右上角分享
0
联系我们:info@booksci.cn Book学术提供免费学术资源搜索服务,方便国内外学者检索中英文文献。致力于提供最便捷和优质的服务体验。 Copyright © 2023 布克学术 All rights reserved.
京ICP备2023020795号-1
ghs 京公网安备 11010802042870号
Book学术文献互助
Book学术文献互助群
群 号:604180095
Book学术官方微信