Early apoptotic response in kidney after 177Lu-octreotate administration with or without potential radioprotector α1-microglobulin.

IF 0.7 4区 环境科学与生态学 Q4 ENVIRONMENTAL SCIENCES
Charlotte Ytterbrink, Klara Simonsson, Emman Shubbar, Magnus Gram, Khalil Helou, Eva Forssell-Aronsson
{"title":"Early apoptotic response in kidney after 177Lu-octreotate administration with or without potential radioprotector α1-microglobulin.","authors":"Charlotte Ytterbrink, Klara Simonsson, Emman Shubbar, Magnus Gram, Khalil Helou, Eva Forssell-Aronsson","doi":"10.1093/rpd/ncaf055","DOIUrl":null,"url":null,"abstract":"<p><p>The antioxidant α1-microglobulin (A1M) has been suggested as kidney protector during 177Lu-octreotate treatment. The aim of this work was to evaluate apoptotic-related transcript expression in kidney cortex and medulla following injection of 177Lu-octreotate and/or A1M. Mice were injected with 177Lu-octreotate, A1M, or 177Lu-octreotate + A1M. Control groups received PBS or vehicle solution. Animals were killed after 24 hours or 7 d. mRNA was isolated from kidney medulla and cortex. Expression of 84 apoptosis-related genes was assessed by q-PCR. Gene expression profiles in kidney cortex were generally similar in the 177Lu-octreotate and 177Lu-octreotate + A1M groups. This was also seen in kidney medulla at 24 hours, but at 7 d anti-apoptotic response of A1M was observed. Altogether, 177Lu-octreotate exposure induced pro-apoptotic response (e.g. Apaf1, Bax, and Tnfrsf10b genes) in kidney medulla and cortex. A1M co-administration did not inhibit pro-apoptotic response in kidney cortex, while A1M initiated pro-survival mechanisms in kidney medulla.</p>","PeriodicalId":20795,"journal":{"name":"Radiation protection dosimetry","volume":"201 13-14","pages":"877-886"},"PeriodicalIF":0.7000,"publicationDate":"2025-08-26","publicationTypes":"Journal Article","fieldsOfStudy":null,"isOpenAccess":false,"openAccessPdf":"https://www.ncbi.nlm.nih.gov/pmc/articles/PMC12392902/pdf/","citationCount":"0","resultStr":null,"platform":"Semanticscholar","paperid":null,"PeriodicalName":"Radiation protection dosimetry","FirstCategoryId":"93","ListUrlMain":"https://doi.org/10.1093/rpd/ncaf055","RegionNum":4,"RegionCategory":"环境科学与生态学","ArticlePicture":[],"TitleCN":null,"AbstractTextCN":null,"PMCID":null,"EPubDate":"","PubModel":"","JCR":"Q4","JCRName":"ENVIRONMENTAL SCIENCES","Score":null,"Total":0}
引用次数: 0

Abstract

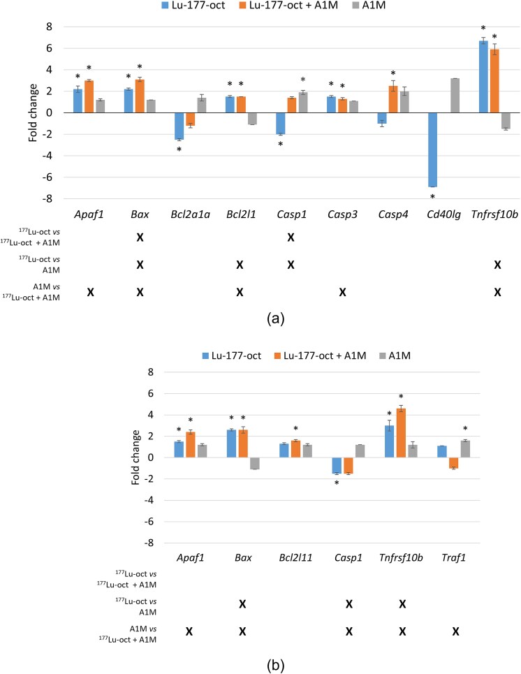
The antioxidant α1-microglobulin (A1M) has been suggested as kidney protector during 177Lu-octreotate treatment. The aim of this work was to evaluate apoptotic-related transcript expression in kidney cortex and medulla following injection of 177Lu-octreotate and/or A1M. Mice were injected with 177Lu-octreotate, A1M, or 177Lu-octreotate + A1M. Control groups received PBS or vehicle solution. Animals were killed after 24 hours or 7 d. mRNA was isolated from kidney medulla and cortex. Expression of 84 apoptosis-related genes was assessed by q-PCR. Gene expression profiles in kidney cortex were generally similar in the 177Lu-octreotate and 177Lu-octreotate + A1M groups. This was also seen in kidney medulla at 24 hours, but at 7 d anti-apoptotic response of A1M was observed. Altogether, 177Lu-octreotate exposure induced pro-apoptotic response (e.g. Apaf1, Bax, and Tnfrsf10b genes) in kidney medulla and cortex. A1M co-administration did not inhibit pro-apoptotic response in kidney cortex, while A1M initiated pro-survival mechanisms in kidney medulla.

Abstract Image

Abstract Image

Abstract Image

加或不加潜在放射保护剂α1微球蛋白的177lu - octreate给药后肾脏的早期凋亡反应
抗氧化剂α1-微球蛋白(A1M)在177lu - octreoate治疗期间被认为是肾保护者。本研究的目的是评估注射177lu - octreoate和/或A1M后肾皮质和髓质的凋亡相关转录物表达。小鼠注射177lu - octreoate, A1M或177lu - octreoate + A1M。对照组给予PBS或载体液。24 h或7 d后处死,分别从肾髓质和皮质中分离mRNA。采用q-PCR检测84个凋亡相关基因的表达。177Lu-octreotate和177Lu-octreotate + A1M组肾皮质基因表达谱基本相似。肾髓质在24小时内也可见到这一点,但在7 d时观察到A1M的抗凋亡反应。总之,177lu - octreoate暴露诱导肾髓质和皮质的促凋亡反应(例如Apaf1, Bax和Tnfrsf10b基因)。A1M联合给药不抑制肾皮质的促凋亡反应,而A1M在肾髓质中启动促存活机制。
本文章由计算机程序翻译,如有差异,请以英文原文为准。
求助全文
约1分钟内获得全文 求助全文
来源期刊
Radiation protection dosimetry
Radiation protection dosimetry 环境科学-公共卫生、环境卫生与职业卫生
CiteScore
1.40
自引率
10.00%
发文量
223
审稿时长
6-12 weeks
期刊介绍: Radiation Protection Dosimetry covers all aspects of personal and environmental dosimetry and monitoring, for both ionising and non-ionising radiations. This includes biological aspects, physical concepts, biophysical dosimetry, external and internal personal dosimetry and monitoring, environmental and workplace monitoring, accident dosimetry, and dosimetry related to the protection of patients. Particular emphasis is placed on papers covering the fundamentals of dosimetry; units, radiation quantities and conversion factors. Papers covering archaeological dating are included only if the fundamental measurement method or technique, such as thermoluminescence, has direct application to personal dosimetry measurements. Papers covering the dosimetric aspects of radon or other naturally occurring radioactive materials and low level radiation are included. Animal experiments and ecological sample measurements are not included unless there is a significant relevant content reason.
×
引用
GB/T 7714-2015
复制
MLA
复制
APA
复制
导出至
BibTeX EndNote RefMan NoteFirst NoteExpress
×
提示
您的信息不完整,为了账户安全,请先补充。
现在去补充
×
提示
您因"违规操作"
具体请查看互助需知
我知道了
×
提示
确定
请完成安全验证×
copy
已复制链接
快去分享给好友吧!
我知道了
右上角分享
点击右上角分享
0
联系我们:info@booksci.cn Book学术提供免费学术资源搜索服务,方便国内外学者检索中英文文献。致力于提供最便捷和优质的服务体验。 Copyright © 2023 布克学术 All rights reserved.
京ICP备2023020795号-1
ghs 京公网安备 11010802042870号
Book学术文献互助
Book学术文献互助群
群 号:604180095
Book学术官方微信