Preliminary Estimates of the Diagnostic Accuracy of Video Clips for Obstructive Sleep Apnea in Children.

IF 2.3 3区 医学 Q1 PEDIATRICS
Sherri L Katz, Taylor Barwell, Vid Bijelić, Nicholas Barrowman, Henrietta Blinder, Naomi Dussah, Roya Shamsi, Alexa R Leitman, Refika Ersu
{"title":"Preliminary Estimates of the Diagnostic Accuracy of Video Clips for Obstructive Sleep Apnea in Children.","authors":"Sherri L Katz, Taylor Barwell, Vid Bijelić, Nicholas Barrowman, Henrietta Blinder, Naomi Dussah, Roya Shamsi, Alexa R Leitman, Refika Ersu","doi":"10.1002/ppul.71228","DOIUrl":null,"url":null,"abstract":"<p><strong>Background: </strong>Diagnosing obstructive sleep apnea (OSA) in children is challenging, with long wait times for polysomnography (PSG). This study assessed the diagnostic accuracy of home-recorded video clips for OSA compared to PSG.</p><p><strong>Methods: </strong>Children (2-18 years) referred for PSG for suspected OSA were enrolled. Parents recorded video clips of their child sleeping and completed the Pediatric Sleep Questionnaire (PSQ). Blinded clinicians scored videos using the Monash Obstructive Sleep Apnea score (MS). Participants underwent PSG, and outcomes included obstructive apnea-hypopnea index (OAHI) and oximetry metrics (i.e., McGill Oximetry Score [MOS]; 3% Oxygen Desaturation Index [ODI3]). Diagnostic characteristics of MS, PSQ, MOS, and ODI3 were compared for detection of any (OAHI ≥ 1.5 events/h) and moderate-severe OSA (OAHI ≥ 5 events/h).</p><p><strong>Results: </strong>Forty-one children (age 7.0 years, 49% female) participated. Median OAHI was 0.6 events/h (IQR 0.3, 3.1); 16 (39%) had OAHI ≥ 1.5 events/h, 5 (12%) had OAHI ≥ 5 events/h. PSQ identified 36 (88%) participants with a score ≥ 0.33. One child had MOS ≥ 2; ODI3 was ≥ 4.3 in 8 (20%) and > 7 in 6 (15%). Mean MS was 3.6 (SD 2.1). MS had 81.2% sensitivity and 52.0% specificity for any OSA and 100% sensitivity and 44.4% specificity for moderate-severe OSA. A combination of MS and ODI3 improved diagnostic accuracy with an AUC of 98.3.</p><p><strong>Conclusion: </strong>MS demonstrated high sensitivity but low specificity for the detection of moderate-severe OSA. Video scores outperformed PSQ but were less accurate than oximetry. Combining MS and ODI3 yielded the strongest diagnostic characteristics. Video scores may aid in pediatric OSA screening.</p>","PeriodicalId":19932,"journal":{"name":"Pediatric Pulmonology","volume":"60 8","pages":"e71228"},"PeriodicalIF":2.3000,"publicationDate":"2025-08-01","publicationTypes":"Journal Article","fieldsOfStudy":null,"isOpenAccess":false,"openAccessPdf":"https://www.ncbi.nlm.nih.gov/pmc/articles/PMC12372443/pdf/","citationCount":"0","resultStr":null,"platform":"Semanticscholar","paperid":null,"PeriodicalName":"Pediatric Pulmonology","FirstCategoryId":"3","ListUrlMain":"https://doi.org/10.1002/ppul.71228","RegionNum":3,"RegionCategory":"医学","ArticlePicture":[],"TitleCN":null,"AbstractTextCN":null,"PMCID":null,"EPubDate":"","PubModel":"","JCR":"Q1","JCRName":"PEDIATRICS","Score":null,"Total":0}
引用次数: 0

Abstract

Background: Diagnosing obstructive sleep apnea (OSA) in children is challenging, with long wait times for polysomnography (PSG). This study assessed the diagnostic accuracy of home-recorded video clips for OSA compared to PSG.

Methods: Children (2-18 years) referred for PSG for suspected OSA were enrolled. Parents recorded video clips of their child sleeping and completed the Pediatric Sleep Questionnaire (PSQ). Blinded clinicians scored videos using the Monash Obstructive Sleep Apnea score (MS). Participants underwent PSG, and outcomes included obstructive apnea-hypopnea index (OAHI) and oximetry metrics (i.e., McGill Oximetry Score [MOS]; 3% Oxygen Desaturation Index [ODI3]). Diagnostic characteristics of MS, PSQ, MOS, and ODI3 were compared for detection of any (OAHI ≥ 1.5 events/h) and moderate-severe OSA (OAHI ≥ 5 events/h).

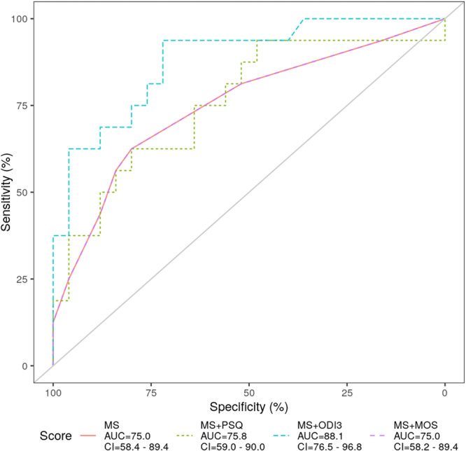
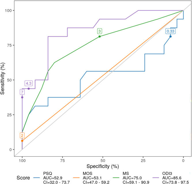
Results: Forty-one children (age 7.0 years, 49% female) participated. Median OAHI was 0.6 events/h (IQR 0.3, 3.1); 16 (39%) had OAHI ≥ 1.5 events/h, 5 (12%) had OAHI ≥ 5 events/h. PSQ identified 36 (88%) participants with a score ≥ 0.33. One child had MOS ≥ 2; ODI3 was ≥ 4.3 in 8 (20%) and > 7 in 6 (15%). Mean MS was 3.6 (SD 2.1). MS had 81.2% sensitivity and 52.0% specificity for any OSA and 100% sensitivity and 44.4% specificity for moderate-severe OSA. A combination of MS and ODI3 improved diagnostic accuracy with an AUC of 98.3.

Conclusion: MS demonstrated high sensitivity but low specificity for the detection of moderate-severe OSA. Video scores outperformed PSQ but were less accurate than oximetry. Combining MS and ODI3 yielded the strongest diagnostic characteristics. Video scores may aid in pediatric OSA screening.

Abstract Image

Abstract Image

Abstract Image

视频片段对儿童阻塞性睡眠呼吸暂停诊断准确性的初步估计。
背景:诊断儿童阻塞性睡眠呼吸暂停(OSA)具有挑战性,多导睡眠图(PSG)等待时间长。本研究评估了家庭录像片段与PSG对OSA的诊断准确性。方法:纳入疑似OSA的2-18岁儿童进行PSG检查。家长录制孩子睡觉的视频片段,并完成儿童睡眠问卷(PSQ)。盲法临床医生使用莫纳什阻塞性睡眠呼吸暂停评分(MS)对视频进行评分。参与者接受PSG检查,结果包括阻塞性呼吸暂停低通气指数(OAHI)和血氧饱和度指标(即McGill血氧饱和度评分[MOS]; 3%氧饱和度指数[ODI3])。比较MS、PSQ、MOS和ODI3的诊断特征,检测任何(OAHI≥1.5事件/小时)和中重度OSA (OAHI≥5事件/小时)。结果:41名儿童(年龄7.0岁,49%为女性)参与。OAHI中位数为0.6事件/小时(IQR为0.3,3.1);OAHI≥1.5 events/h 16例(39%),OAHI≥5 events/h 5例(12%)。PSQ鉴定出36名(88%)得分≥0.33的参与者。1例患儿MOS≥2;ODI3≥4.3者8例(20%),≥0.7者6例(15%)。平均MS为3.6 (SD 2.1)。MS对任何OSA的敏感性为81.2%,特异性为52.0%;对中重度OSA的敏感性为100%,特异性为44.4%。MS联合ODI3提高了诊断准确性,AUC为98.3。结论:MS对中重度OSA的检测灵敏度高,特异性低。视频评分优于PSQ,但不如血氧测定准确。结合MS和ODI3获得最强的诊断特征。视频评分可能有助于儿童OSA筛查。
本文章由计算机程序翻译,如有差异,请以英文原文为准。
求助全文
约1分钟内获得全文 求助全文
来源期刊
Pediatric Pulmonology
Pediatric Pulmonology 医学-呼吸系统
CiteScore
6.00
自引率
12.90%
发文量
468
审稿时长
3-8 weeks
期刊介绍: Pediatric Pulmonology (PPUL) is the foremost global journal studying the respiratory system in disease and in health as it develops from intrauterine life though adolescence to adulthood. Combining explicit and informative analysis of clinical as well as basic scientific research, PPUL provides a look at the many facets of respiratory system disorders in infants and children, ranging from pathological anatomy, developmental issues, and pathophysiology to infectious disease, asthma, cystic fibrosis, and airborne toxins. Focused attention is given to the reporting of diagnostic and therapeutic methods for neonates, preschool children, and adolescents, the enduring effects of childhood respiratory diseases, and newly described infectious diseases. PPUL concentrates on subject matters of crucial interest to specialists preparing for the Pediatric Subspecialty Examinations in the United States and other countries. With its attentive coverage and extensive clinical data, this journal is a principle source for pediatricians in practice and in training and a must have for all pediatric pulmonologists.
×
引用
GB/T 7714-2015
复制
MLA
复制
APA
复制
导出至
BibTeX EndNote RefMan NoteFirst NoteExpress
×
提示
您的信息不完整,为了账户安全,请先补充。
现在去补充
×
提示
您因"违规操作"
具体请查看互助需知
我知道了
×
提示
确定
请完成安全验证×
copy
已复制链接
快去分享给好友吧!
我知道了
右上角分享
点击右上角分享
0
联系我们:info@booksci.cn Book学术提供免费学术资源搜索服务,方便国内外学者检索中英文文献。致力于提供最便捷和优质的服务体验。 Copyright © 2023 布克学术 All rights reserved.
京ICP备2023020795号-1
ghs 京公网安备 11010802042870号
Book学术文献互助
Book学术文献互助群
群 号:604180095
Book学术官方微信