Predictive value of the STOP-Bang Questionnaire for respiratory depression risk in patients undergoing painless gastrointestinal endoscopy.

IF 2.1 3区 医学 Q2 ANESTHESIOLOGY
Xunbin Qiu, Mengting Huang, Qun Wang, Ping Guo, Xiaoli Yang, Yue Liu, Yujian Guan
{"title":"Predictive value of the STOP-Bang Questionnaire for respiratory depression risk in patients undergoing painless gastrointestinal endoscopy.","authors":"Xunbin Qiu, Mengting Huang, Qun Wang, Ping Guo, Xiaoli Yang, Yue Liu, Yujian Guan","doi":"10.1186/s13741-025-00581-1","DOIUrl":null,"url":null,"abstract":"<p><strong>Background: </strong>Obstructive sleep apnea (OSA) is an independent risk factor for perioperative respiratory complications. The STOP-Bang Questionnaire (SBQ) is a widely used screening tool; however, its utility in predicting respiratory depression during deep sedation for gastrointestinal endoscopy warrants further exploration. This study aimed to evaluate the predictive performance of the SBQ for respiratory depression in this patient population.</p><p><strong>Methods: </strong>This prospective observational cohort study enrolled patients who underwent esophagogastroduodenoscopy (EGD) and colonoscopy under deep sedation at Dongguan Binhaiwan Central Hospital from November 2024 to February of the following year. The data collected included demographics, medical history, vital signs, and SBQ scores. Standard sedation monitoring was complemented by portable sleep monitoring systems to record the Apnea-Hypopnea Index (AHI). Patients were grouped based on their lowest intraoperative pulse oximetry (SpO₂) level. Spearman correlation, Kappa test, Receiver Operating Characteristic (ROC) curve analysis, and binary logistic regression were used to analyze the relationships between SBQ scores, AHI, and respiratory depression events.</p><p><strong>Results: </strong>Data of 349 patients were included in the final analysis. Transient hypoxemia (SpO₂ < 90%) occurred in 65 (18.6%) patients, with 12 (3.4%) patients experiencing severe hypoxemia (SpO₂ < 80%). Both SBQ scores and AHI demonstrated significant negative correlations with SpO₂ levels (r = -0.520 and r = -0.737, respectively; both P < 0.001). Using SpO₂ < 85% as the threshold, the Area Under the ROC Curve (AUC) for the SBQ score was 0.942. The optimal SBQ cutoff value was 2.5, yielding a sensitivity of 0.871 and a specificity of 0.912. Logistic regression identified snoring (OR = 14.240), observed apnea (OR = 7.092), and elevated BMI (OR = 10.904) as independent predictors of severe hypoxemia.</p><p><strong>Conclusion: </strong>Respiratory depression events are relatively common during deeply sedated gastroenteroscopies. The SBQ score effectively predicts this risk, particularly in identifying patients susceptible to severe hypoxemia. An SBQ score ≥ 3 serves as a practical threshold for recognizing high-risk individuals, with snoring, observed apnea, and high BMI as key warning indicators. SBQ is a valid and concise preoperative screening tool for this patient group.</p><p><strong>Clinical trial registration: </strong>Registry: ClinicalTrials.gov; Name: Preoperative Assessment of Hypoxia Risk in Painless GI Endoscopy; URL: https://www.chictr.org.cn/showproj.html?proj=272808 .</p>","PeriodicalId":19764,"journal":{"name":"Perioperative Medicine","volume":"14 1","pages":"91"},"PeriodicalIF":2.1000,"publicationDate":"2025-09-02","publicationTypes":"Journal Article","fieldsOfStudy":null,"isOpenAccess":false,"openAccessPdf":"https://www.ncbi.nlm.nih.gov/pmc/articles/PMC12403280/pdf/","citationCount":"0","resultStr":null,"platform":"Semanticscholar","paperid":null,"PeriodicalName":"Perioperative Medicine","FirstCategoryId":"3","ListUrlMain":"https://doi.org/10.1186/s13741-025-00581-1","RegionNum":3,"RegionCategory":"医学","ArticlePicture":[],"TitleCN":null,"AbstractTextCN":null,"PMCID":null,"EPubDate":"","PubModel":"","JCR":"Q2","JCRName":"ANESTHESIOLOGY","Score":null,"Total":0}
引用次数: 0

Abstract

Background: Obstructive sleep apnea (OSA) is an independent risk factor for perioperative respiratory complications. The STOP-Bang Questionnaire (SBQ) is a widely used screening tool; however, its utility in predicting respiratory depression during deep sedation for gastrointestinal endoscopy warrants further exploration. This study aimed to evaluate the predictive performance of the SBQ for respiratory depression in this patient population.

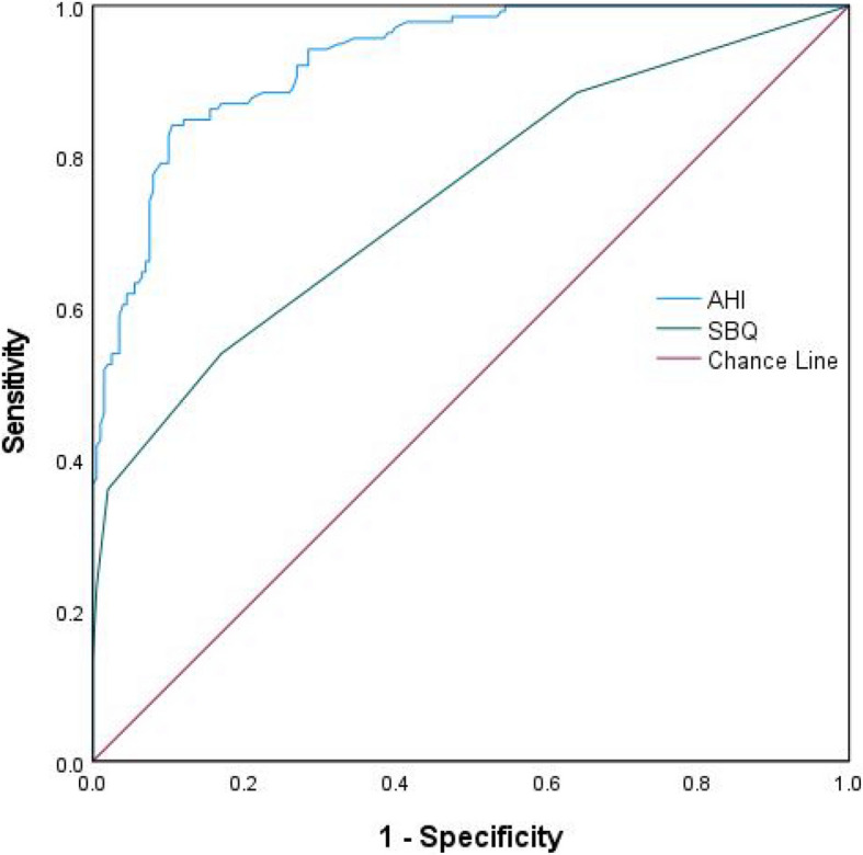
Methods: This prospective observational cohort study enrolled patients who underwent esophagogastroduodenoscopy (EGD) and colonoscopy under deep sedation at Dongguan Binhaiwan Central Hospital from November 2024 to February of the following year. The data collected included demographics, medical history, vital signs, and SBQ scores. Standard sedation monitoring was complemented by portable sleep monitoring systems to record the Apnea-Hypopnea Index (AHI). Patients were grouped based on their lowest intraoperative pulse oximetry (SpO₂) level. Spearman correlation, Kappa test, Receiver Operating Characteristic (ROC) curve analysis, and binary logistic regression were used to analyze the relationships between SBQ scores, AHI, and respiratory depression events.

Results: Data of 349 patients were included in the final analysis. Transient hypoxemia (SpO₂ < 90%) occurred in 65 (18.6%) patients, with 12 (3.4%) patients experiencing severe hypoxemia (SpO₂ < 80%). Both SBQ scores and AHI demonstrated significant negative correlations with SpO₂ levels (r = -0.520 and r = -0.737, respectively; both P < 0.001). Using SpO₂ < 85% as the threshold, the Area Under the ROC Curve (AUC) for the SBQ score was 0.942. The optimal SBQ cutoff value was 2.5, yielding a sensitivity of 0.871 and a specificity of 0.912. Logistic regression identified snoring (OR = 14.240), observed apnea (OR = 7.092), and elevated BMI (OR = 10.904) as independent predictors of severe hypoxemia.

Conclusion: Respiratory depression events are relatively common during deeply sedated gastroenteroscopies. The SBQ score effectively predicts this risk, particularly in identifying patients susceptible to severe hypoxemia. An SBQ score ≥ 3 serves as a practical threshold for recognizing high-risk individuals, with snoring, observed apnea, and high BMI as key warning indicators. SBQ is a valid and concise preoperative screening tool for this patient group.

Clinical trial registration: Registry: ClinicalTrials.gov; Name: Preoperative Assessment of Hypoxia Risk in Painless GI Endoscopy; URL: https://www.chictr.org.cn/showproj.html?proj=272808 .

Abstract Image

Abstract Image

Abstract Image

STOP-Bang问卷对无痛胃肠内镜患者呼吸抑制风险的预测价值。
背景:阻塞性睡眠呼吸暂停(OSA)是围手术期呼吸系统并发症的独立危险因素。STOP-Bang问卷(SBQ)是一种广泛使用的筛查工具;然而,它在预测胃肠内窥镜下深度镇静时呼吸抑制的效用值得进一步探索。本研究旨在评估SBQ对该患者群体呼吸抑制的预测性能。方法:本前瞻性观察队列研究纳入2024年11月至次年2月在东莞市滨海湾中心医院深度镇静下行食管胃十二指肠镜和结肠镜检查的患者。收集的数据包括人口统计、病史、生命体征和SBQ评分。标准镇静监测辅以便携式睡眠监测系统记录呼吸暂停低通气指数(AHI)。根据患者术中最低脉搏血氧饱和度(SpO₂)水平进行分组。采用Spearman相关、Kappa检验、受试者工作特征(ROC)曲线分析和二元logistic回归分析SBQ评分、AHI与呼吸抑制事件的关系。结果:349例患者资料纳入最终分析。结论:呼吸抑制事件在深度镇静胃肠镜检查中较为常见。SBQ评分有效地预测了这种风险,特别是在识别易患严重低氧血症的患者时。SBQ评分≥3分可作为识别高危人群的实用阈值,打鼾、观察到的呼吸暂停和高BMI是关键预警指标。SBQ是一种有效而简洁的术前筛查工具。临床试验注册:注册:ClinicalTrials.gov;名称:无痛内镜下缺氧风险的术前评估;网址:https://www.chictr.org.cn/showproj.html?proj=272808。
本文章由计算机程序翻译,如有差异,请以英文原文为准。
求助全文
约1分钟内获得全文 求助全文
来源期刊
自引率
3.80%
发文量
55
审稿时长
10 weeks
×
引用
GB/T 7714-2015
复制
MLA
复制
APA
复制
导出至
BibTeX EndNote RefMan NoteFirst NoteExpress
×
提示
您的信息不完整,为了账户安全,请先补充。
现在去补充
×
提示
您因"违规操作"
具体请查看互助需知
我知道了
×
提示
确定
请完成安全验证×
copy
已复制链接
快去分享给好友吧!
我知道了
右上角分享
点击右上角分享
0
联系我们:info@booksci.cn Book学术提供免费学术资源搜索服务,方便国内外学者检索中英文文献。致力于提供最便捷和优质的服务体验。 Copyright © 2023 布克学术 All rights reserved.
京ICP备2023020795号-1
ghs 京公网安备 11010802042870号
Book学术文献互助
Book学术文献互助群
群 号:604180095
Book学术官方微信