Cutaneous manifestations-associated with tuberous sclerosis complex and the use of topical rapamycin in the United States: a sub-analysis of an international survey of caregivers and patients.

IF 3.5 2区 医学 Q2 GENETICS & HEREDITY
Sreedevi Boggarapu, Gabrielle Rushing, Ashley Pounders, Steven L Roberds, Eric Beresford
{"title":"Cutaneous manifestations-associated with tuberous sclerosis complex and the use of topical rapamycin in the United States: a sub-analysis of an international survey of caregivers and patients.","authors":"Sreedevi Boggarapu, Gabrielle Rushing, Ashley Pounders, Steven L Roberds, Eric Beresford","doi":"10.1186/s13023-025-03653-z","DOIUrl":null,"url":null,"abstract":"<p><strong>Background: </strong>This analysis was aimed to characterize cutaneous manifestations associated with tuberous sclerosis complex (TSC) and management of facial angiofibroma in the United States from a patient/caregiver perspective. Data was collected from an international survey of TSC Alliance conducted during May-June 2017 by distributing a link to patients/caregivers through various channels including social media.</p><p><strong>Results: </strong>Of the 418 caregivers and 133 patients, 336 (80.0%) caregivers and 98 (73.7%) patients reported cutaneous manifestations. Increased incidence in cutaneous manifestations was observed with age with the highest incidence in the age group spanning 27-45 years. More than half of the responders reported minor, moderate or major changes to their lifestyle because of the impact of cutaneous manifestations on the quality of life. The presence of other TSC-related manifestations studied in this survey (epilepsy, non-malignant brain tumours, developmental delay, learning or memory issues, kidney issues, communication issues, behavioural issues, sleep problems, anxiety or depression, heart issues, eye issues, dental issues, bone or skeletal issues, lung issues, and liver or pancreatic issues) was significantly higher in patients with cutaneous manifestations. Surgical removal was reported by 28.6% caregivers and 61.2% patients. Compounded topical rapamycin use for the management of facial angiofibroma was reported by 31.3% caregivers/23.5% patients, out of whom, improvement in skin condition was reported by 64.8% caregivers/69.6% patients. Overall, 82.9% of caregivers and 73.9% patients reported improvement as moderately effective or very effective.</p><p><strong>Conclusions: </strong>In patients with cutaneous manifestations, a higher frequency of other TSC manifestations was observed. Presence of cutaneous manifestations impacted the quality of life of more than half of the responders. Surgical removal of cutaneous manifestations and compounded topical rapamycin treatment for the management of facial angiofibroma were reported. Compounded topical rapamycin use for the management of facial angiofibroma was reported as moderately effective or very effective by most of the responders.</p>","PeriodicalId":19651,"journal":{"name":"Orphanet Journal of Rare Diseases","volume":"20 1","pages":"455"},"PeriodicalIF":3.5000,"publicationDate":"2025-08-25","publicationTypes":"Journal Article","fieldsOfStudy":null,"isOpenAccess":false,"openAccessPdf":"https://www.ncbi.nlm.nih.gov/pmc/articles/PMC12379466/pdf/","citationCount":"0","resultStr":null,"platform":"Semanticscholar","paperid":null,"PeriodicalName":"Orphanet Journal of Rare Diseases","FirstCategoryId":"3","ListUrlMain":"https://doi.org/10.1186/s13023-025-03653-z","RegionNum":2,"RegionCategory":"医学","ArticlePicture":[],"TitleCN":null,"AbstractTextCN":null,"PMCID":null,"EPubDate":"","PubModel":"","JCR":"Q2","JCRName":"GENETICS & HEREDITY","Score":null,"Total":0}
引用次数: 0

Abstract

Background: This analysis was aimed to characterize cutaneous manifestations associated with tuberous sclerosis complex (TSC) and management of facial angiofibroma in the United States from a patient/caregiver perspective. Data was collected from an international survey of TSC Alliance conducted during May-June 2017 by distributing a link to patients/caregivers through various channels including social media.

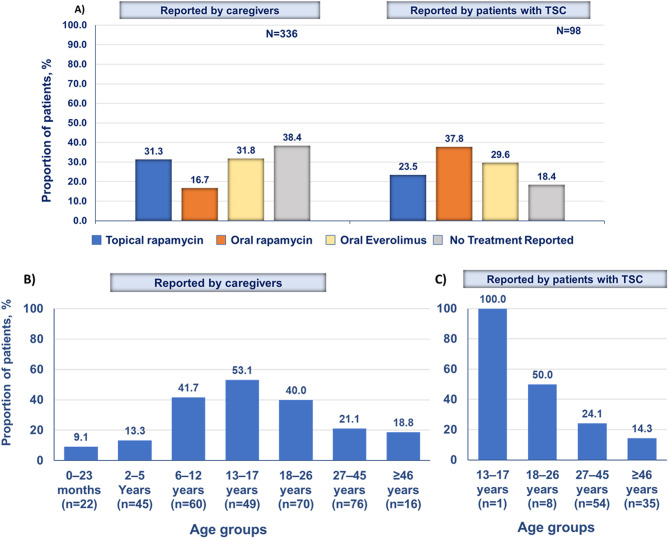
Results: Of the 418 caregivers and 133 patients, 336 (80.0%) caregivers and 98 (73.7%) patients reported cutaneous manifestations. Increased incidence in cutaneous manifestations was observed with age with the highest incidence in the age group spanning 27-45 years. More than half of the responders reported minor, moderate or major changes to their lifestyle because of the impact of cutaneous manifestations on the quality of life. The presence of other TSC-related manifestations studied in this survey (epilepsy, non-malignant brain tumours, developmental delay, learning or memory issues, kidney issues, communication issues, behavioural issues, sleep problems, anxiety or depression, heart issues, eye issues, dental issues, bone or skeletal issues, lung issues, and liver or pancreatic issues) was significantly higher in patients with cutaneous manifestations. Surgical removal was reported by 28.6% caregivers and 61.2% patients. Compounded topical rapamycin use for the management of facial angiofibroma was reported by 31.3% caregivers/23.5% patients, out of whom, improvement in skin condition was reported by 64.8% caregivers/69.6% patients. Overall, 82.9% of caregivers and 73.9% patients reported improvement as moderately effective or very effective.

Conclusions: In patients with cutaneous manifestations, a higher frequency of other TSC manifestations was observed. Presence of cutaneous manifestations impacted the quality of life of more than half of the responders. Surgical removal of cutaneous manifestations and compounded topical rapamycin treatment for the management of facial angiofibroma were reported. Compounded topical rapamycin use for the management of facial angiofibroma was reported as moderately effective or very effective by most of the responders.

Abstract Image

Abstract Image

Abstract Image

在美国,与结节性硬化症相关的皮肤表现和局部雷帕霉素的使用:一项对护理人员和患者的国际调查的亚分析。
背景:本分析旨在从患者/护理者的角度描述美国与结节性硬化症(TSC)相关的皮肤表现和面部血管纤维瘤的处理。数据来自于2017年5月至6月期间进行的TSC联盟国际调查,通过包括社交媒体在内的各种渠道向患者/护理人员分发链接。结果:418名护理人员和133名患者中,336名(80.0%)护理人员和98名(73.7%)患者报告皮肤症状。皮肤表现的发病率随着年龄的增长而增加,27-45岁年龄组发病率最高。超过一半的应答者报告说,由于皮肤症状对生活质量的影响,他们的生活方式发生了轻微、中度或重大的变化。本次调查中研究的其他tsc相关表现(癫痫、非恶性脑肿瘤、发育迟缓、学习或记忆问题、肾脏问题、沟通问题、行为问题、睡眠问题、焦虑或抑郁、心脏问题、眼睛问题、牙齿问题、骨骼或骨骼问题、肺部问题、肝脏或胰腺问题)在皮肤表现的患者中明显更高。28.6%的护理人员和61.2%的患者报告手术切除。31.3%的护理人员/23.5%的患者报告使用复合外用雷帕霉素治疗面部血管纤维瘤,其中64.8%的护理人员/69.6%的患者报告皮肤状况改善。总体而言,82.9%的护理人员和73.9%的患者报告改善为中度有效或非常有效。结论:在有皮肤表现的患者中,观察到其他TSC表现的频率更高。皮肤表现的存在影响了一半以上应答者的生活质量。手术切除皮肤表现和复合局部雷帕霉素治疗面部血管纤维瘤的管理报告。复合外用雷帕霉素用于面部血管纤维瘤的治疗被报道为中等有效或非常有效的大多数应答者。
本文章由计算机程序翻译,如有差异,请以英文原文为准。
求助全文
约1分钟内获得全文 求助全文
来源期刊
Orphanet Journal of Rare Diseases
Orphanet Journal of Rare Diseases 医学-医学:研究与实验
CiteScore
6.30
自引率
8.10%
发文量
418
审稿时长
4-8 weeks
期刊介绍: Orphanet Journal of Rare Diseases is an open access, peer-reviewed journal that encompasses all aspects of rare diseases and orphan drugs. The journal publishes high-quality reviews on specific rare diseases. In addition, the journal may consider articles on clinical trial outcome reports, either positive or negative, and articles on public health issues in the field of rare diseases and orphan drugs. The journal does not accept case reports.
×
引用
GB/T 7714-2015
复制
MLA
复制
APA
复制
导出至
BibTeX EndNote RefMan NoteFirst NoteExpress
×
提示
您的信息不完整,为了账户安全,请先补充。
现在去补充
×
提示
您因"违规操作"
具体请查看互助需知
我知道了
×
提示
确定
请完成安全验证×
copy
已复制链接
快去分享给好友吧!
我知道了
右上角分享
点击右上角分享
0
联系我们:info@booksci.cn Book学术提供免费学术资源搜索服务,方便国内外学者检索中英文文献。致力于提供最便捷和优质的服务体验。 Copyright © 2023 布克学术 All rights reserved.
京ICP备2023020795号-1
ghs 京公网安备 11010802042870号
Book学术文献互助
Book学术文献互助群
群 号:604180095
Book学术官方微信