Integrating Cartilage Explant Culture with Simulated Digestion and Hepatic Biotransformation Refines In Vitro Screening of Joint Care Nutraceuticals.

IF 2 Q3 BIOCHEMICAL RESEARCH METHODS
Michelina Crosbie, Kailey Vanderboom, Jamie Souccar-Young, Wendy Pearson
{"title":"Integrating Cartilage Explant Culture with Simulated Digestion and Hepatic Biotransformation Refines In Vitro Screening of Joint Care Nutraceuticals.","authors":"Michelina Crosbie, Kailey Vanderboom, Jamie Souccar-Young, Wendy Pearson","doi":"10.3390/mps8040091","DOIUrl":null,"url":null,"abstract":"<p><p>In vitro cartilage explant culture has been used to assess nutraceuticals on cartilage responses to inflammatory stimuli. However, applying extracts of nutraceuticals directly to cartilage explants does not account for effects of digestion and hepatic biotransformation, or selective exclusion of product metabolites from joint fluid by the synovial membrane. The current study produced a simulated biological extract of a common nutraceutical (glucosamine; G<b><sub>sim</sub></b>) by exposing it to a simulated upper gastrointestinal tract digestion, hepatic biotransformation by liver microsomes, and purification to a molecular weight cut-off of 50 kDa. This extract was then used to condition cartilage explants cultured for 120 h in the presence or absence of an inflammatory stimulus (lipopolysaccharide). Media samples were analyzed for prostaglandin E<sub>2</sub> (PGE<sub>2</sub>), glycosaminoglycan (GAG), and nitric oxide (NO). Tissue was digested and analyzed for GAG content and stained for viability. Conditioning of explants with G<sub>sim</sub> significantly reduced media GAG in stimulated and unstimulated explants and reduced nitric oxide production in unstimulated explants. These data provide evidence for the value of glucosamine in protecting cartilage from deterioration following an inflammatory challenge, and the model improves applicability of these in vitro data to the in vivo setting.</p>","PeriodicalId":18715,"journal":{"name":"Methods and Protocols","volume":"8 4","pages":""},"PeriodicalIF":2.0000,"publicationDate":"2025-08-06","publicationTypes":"Journal Article","fieldsOfStudy":null,"isOpenAccess":false,"openAccessPdf":"https://www.ncbi.nlm.nih.gov/pmc/articles/PMC12388657/pdf/","citationCount":"0","resultStr":null,"platform":"Semanticscholar","paperid":null,"PeriodicalName":"Methods and Protocols","FirstCategoryId":"1085","ListUrlMain":"https://doi.org/10.3390/mps8040091","RegionNum":0,"RegionCategory":null,"ArticlePicture":[],"TitleCN":null,"AbstractTextCN":null,"PMCID":null,"EPubDate":"","PubModel":"","JCR":"Q3","JCRName":"BIOCHEMICAL RESEARCH METHODS","Score":null,"Total":0}
引用次数: 0

Abstract

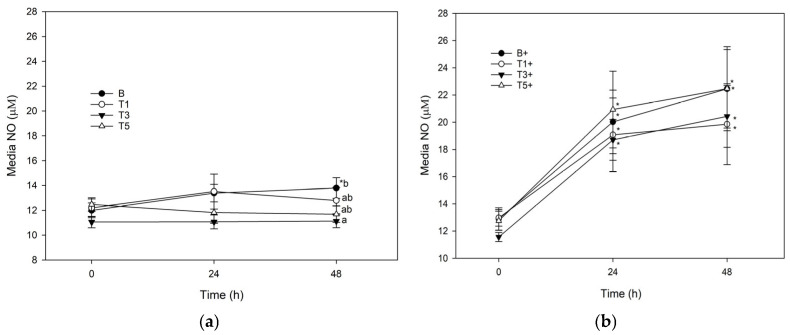
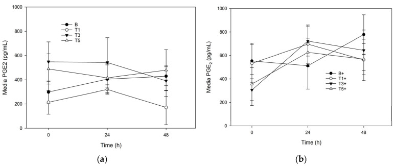
In vitro cartilage explant culture has been used to assess nutraceuticals on cartilage responses to inflammatory stimuli. However, applying extracts of nutraceuticals directly to cartilage explants does not account for effects of digestion and hepatic biotransformation, or selective exclusion of product metabolites from joint fluid by the synovial membrane. The current study produced a simulated biological extract of a common nutraceutical (glucosamine; Gsim) by exposing it to a simulated upper gastrointestinal tract digestion, hepatic biotransformation by liver microsomes, and purification to a molecular weight cut-off of 50 kDa. This extract was then used to condition cartilage explants cultured for 120 h in the presence or absence of an inflammatory stimulus (lipopolysaccharide). Media samples were analyzed for prostaglandin E2 (PGE2), glycosaminoglycan (GAG), and nitric oxide (NO). Tissue was digested and analyzed for GAG content and stained for viability. Conditioning of explants with Gsim significantly reduced media GAG in stimulated and unstimulated explants and reduced nitric oxide production in unstimulated explants. These data provide evidence for the value of glucosamine in protecting cartilage from deterioration following an inflammatory challenge, and the model improves applicability of these in vitro data to the in vivo setting.

Abstract Image

Abstract Image

Abstract Image

软骨外植体培养与模拟消化和肝脏生物转化相结合,改进关节保健营养品的体外筛选。
体外软骨外植体培养已被用于评估营养保健品对炎症刺激的软骨反应。然而,将营养品提取物直接应用于软骨外植体并不能解释消化和肝脏生物转化的影响,也不能解释滑膜选择性地排除关节液中的产物代谢物。目前的研究通过模拟上胃肠道消化、肝微粒体的肝脏生物转化和纯化到分子量截止值为50 kDa的方法,制备了一种常见营养保健品(葡萄糖胺;Gsim)的模拟生物提取物。然后将该提取物用于在存在或不存在炎症刺激(脂多糖)的情况下培养软骨外植体120小时。培养基样品检测前列腺素E2 (PGE2)、糖胺聚糖(GAG)和一氧化氮(NO)。组织消化并分析GAG含量,染色以测定生存能力。用Gsim调节外植体可显著降低受刺激和未受刺激外植体的培养基GAG,减少未受刺激外植体的一氧化氮生成。这些数据为葡萄糖胺在炎症攻击后保护软骨免受恶化的价值提供了证据,该模型提高了这些体外数据对体内环境的适用性。
本文章由计算机程序翻译,如有差异,请以英文原文为准。
求助全文
约1分钟内获得全文 求助全文
来源期刊
Methods and Protocols
Methods and Protocols Biochemistry, Genetics and Molecular Biology-Biochemistry, Genetics and Molecular Biology (miscellaneous)
CiteScore
3.60
自引率
0.00%
发文量
85
审稿时长
8 weeks
×
引用
GB/T 7714-2015
复制
MLA
复制
APA
复制
导出至
BibTeX EndNote RefMan NoteFirst NoteExpress
×
提示
您的信息不完整,为了账户安全,请先补充。
现在去补充
×
提示
您因"违规操作"
具体请查看互助需知
我知道了
×
提示
确定
请完成安全验证×
copy
已复制链接
快去分享给好友吧!
我知道了
右上角分享
点击右上角分享
0
联系我们:info@booksci.cn Book学术提供免费学术资源搜索服务,方便国内外学者检索中英文文献。致力于提供最便捷和优质的服务体验。 Copyright © 2023 布克学术 All rights reserved.
京ICP备2023020795号-1
ghs 京公网安备 11010802042870号
Book学术文献互助
Book学术文献互助群
群 号:604180095
Book学术官方微信