Association between the metabolic score for insulin resistance trajectory and new-onset metabolic syndrome: a retrospective cohort study based on health check-up data in China.

IF 3.9 2区 医学 Q2 BIOCHEMISTRY & MOLECULAR BIOLOGY
Jianan Song, Su Yan, Youxiang Wang, Peimeng Zhu, Suying Ding, Jingfeng Chen
{"title":"Association between the metabolic score for insulin resistance trajectory and new-onset metabolic syndrome: a retrospective cohort study based on health check-up data in China.","authors":"Jianan Song, Su Yan, Youxiang Wang, Peimeng Zhu, Suying Ding, Jingfeng Chen","doi":"10.1186/s12944-025-02690-8","DOIUrl":null,"url":null,"abstract":"<p><strong>Background: </strong>The Metabolic Score for Insulin Resistance (METS-IR) is a novel biomarker for evaluation of insulin resistance (IR). Emerging evidence suggests this metric may be able to predict the onset of metabolic syndrome (MetS). The aim of this study was to determine whether there is a correlation between sustained METS-IR values and the future risk of MetS.</p><p><strong>Methods: </strong>Data for 3,750 individuals who attended a tertiary hospital in Zhengzhou for a health check-up between 2017 and 2022 were analyzed. The METS-IR was used to evaluate IR. A latent class trajectory model was created by dividing the subjects into high-stability and low-stability categories based on three consecutive years of data. The incidence of MetS between 2020 and 2022 was calculated using the Kaplan-Meier method and Cox regression modeling.</p><p><strong>Results: </strong>Over a median follow-up of 2.13 years, we identified 430 cases of MetS (11.47%). The incidence rate was 35.48% in the high-stability group and 8.32% in the low-stability group (P < 0.001). Multivariate Cox regression, controlling for sex, age, hypertension status, diabetes status, and serum uric acid, low-density lipoprotein cholesterol, and gamma-glutamyl transferase levels, revealed that the risk of MetS was significantly higher in the high-stability group (hazard ratio [HR] = 4.77, 95% confidence interval [CI]: 3.714-6.126, P < 0.001). Stratified analysis by age showed that the risk of MetS was also significantly higher in individuals aged < 45 years (HR = 6.202, 95% CI: 4.312-8.921) and in those aged ≥ 45 years (HR = 3.89, 95% CI: 2.720-5.566) in the high-stability group. Receiver operating characteristic (ROC) curve analysis showed that the trajectory of METS-IR could predict MetS. The respective areas under the ROC curve for the 1-year, 2-year, and 3-year risk of MetS were 0.575, 0.641, and 0.628. Sensitivity analyses showed that an elevated METS-IR value was associated with an increased risk of new-onset MetS.</p><p><strong>Conclusions: </strong>In this study, there was a significant correlation between the METS-IR value and the future risk of MetS. METS-IR measurement over time may allow early detection of individuals at high risk of MetS, which would lessen the impact of chronic disease.</p>","PeriodicalId":18073,"journal":{"name":"Lipids in Health and Disease","volume":"24 1","pages":"271"},"PeriodicalIF":3.9000,"publicationDate":"2025-08-29","publicationTypes":"Journal Article","fieldsOfStudy":null,"isOpenAccess":false,"openAccessPdf":"https://www.ncbi.nlm.nih.gov/pmc/articles/PMC12395968/pdf/","citationCount":"0","resultStr":null,"platform":"Semanticscholar","paperid":null,"PeriodicalName":"Lipids in Health and Disease","FirstCategoryId":"3","ListUrlMain":"https://doi.org/10.1186/s12944-025-02690-8","RegionNum":2,"RegionCategory":"医学","ArticlePicture":[],"TitleCN":null,"AbstractTextCN":null,"PMCID":null,"EPubDate":"","PubModel":"","JCR":"Q2","JCRName":"BIOCHEMISTRY & MOLECULAR BIOLOGY","Score":null,"Total":0}
引用次数: 0

Abstract

Background: The Metabolic Score for Insulin Resistance (METS-IR) is a novel biomarker for evaluation of insulin resistance (IR). Emerging evidence suggests this metric may be able to predict the onset of metabolic syndrome (MetS). The aim of this study was to determine whether there is a correlation between sustained METS-IR values and the future risk of MetS.

Methods: Data for 3,750 individuals who attended a tertiary hospital in Zhengzhou for a health check-up between 2017 and 2022 were analyzed. The METS-IR was used to evaluate IR. A latent class trajectory model was created by dividing the subjects into high-stability and low-stability categories based on three consecutive years of data. The incidence of MetS between 2020 and 2022 was calculated using the Kaplan-Meier method and Cox regression modeling.

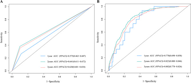
Results: Over a median follow-up of 2.13 years, we identified 430 cases of MetS (11.47%). The incidence rate was 35.48% in the high-stability group and 8.32% in the low-stability group (P < 0.001). Multivariate Cox regression, controlling for sex, age, hypertension status, diabetes status, and serum uric acid, low-density lipoprotein cholesterol, and gamma-glutamyl transferase levels, revealed that the risk of MetS was significantly higher in the high-stability group (hazard ratio [HR] = 4.77, 95% confidence interval [CI]: 3.714-6.126, P < 0.001). Stratified analysis by age showed that the risk of MetS was also significantly higher in individuals aged < 45 years (HR = 6.202, 95% CI: 4.312-8.921) and in those aged ≥ 45 years (HR = 3.89, 95% CI: 2.720-5.566) in the high-stability group. Receiver operating characteristic (ROC) curve analysis showed that the trajectory of METS-IR could predict MetS. The respective areas under the ROC curve for the 1-year, 2-year, and 3-year risk of MetS were 0.575, 0.641, and 0.628. Sensitivity analyses showed that an elevated METS-IR value was associated with an increased risk of new-onset MetS.

Conclusions: In this study, there was a significant correlation between the METS-IR value and the future risk of MetS. METS-IR measurement over time may allow early detection of individuals at high risk of MetS, which would lessen the impact of chronic disease.

Abstract Image

Abstract Image

Abstract Image

胰岛素抵抗轨迹代谢评分与新发代谢综合征的相关性:基于中国健康体检数据的回顾性队列研究
背景:胰岛素抵抗代谢评分(METS-IR)是一种评估胰岛素抵抗(IR)的新型生物标志物。新出现的证据表明,这一指标可能能够预测代谢综合征(MetS)的发病。本研究的目的是确定是否存在持续的MetS - ir值与未来的MetS风险之间的相关性。方法:分析2017年至2022年在郑州市某三级医院进行健康检查的3750人的数据。采用met -IR评价IR。根据连续3年的数据,将被试分为高稳定性和低稳定性两类,建立了潜在类轨迹模型。使用Kaplan-Meier方法和Cox回归模型计算2020 - 2022年MetS的发生率。结果:在中位随访2.13年期间,我们确定了430例MetS(11.47%)。高稳定组发生率为35.48%,低稳定组发生率为8.32% (P)。结论:本研究中,MetS - ir值与未来发生MetS的风险有显著相关性。随着时间的推移,MetS - ir测量可能允许早期发现MetS高风险个体,这将减轻慢性疾病的影响。
本文章由计算机程序翻译,如有差异,请以英文原文为准。
求助全文
约1分钟内获得全文 求助全文
来源期刊
Lipids in Health and Disease
Lipids in Health and Disease 生物-生化与分子生物学
CiteScore
7.70
自引率
2.20%
发文量
122
审稿时长
3-8 weeks
期刊介绍: Lipids in Health and Disease is an open access, peer-reviewed, journal that publishes articles on all aspects of lipids: their biochemistry, pharmacology, toxicology, role in health and disease, and the synthesis of new lipid compounds. Lipids in Health and Disease is aimed at all scientists, health professionals and physicians interested in the area of lipids. Lipids are defined here in their broadest sense, to include: cholesterol, essential fatty acids, saturated fatty acids, phospholipids, inositol lipids, second messenger lipids, enzymes and synthetic machinery that is involved in the metabolism of various lipids in the cells and tissues, and also various aspects of lipid transport, etc. In addition, the journal also publishes research that investigates and defines the role of lipids in various physiological processes, pathology and disease. In particular, the journal aims to bridge the gap between the bench and the clinic by publishing articles that are particularly relevant to human diseases and the role of lipids in the management of various diseases.
×
引用
GB/T 7714-2015
复制
MLA
复制
APA
复制
导出至
BibTeX EndNote RefMan NoteFirst NoteExpress
×
提示
您的信息不完整,为了账户安全,请先补充。
现在去补充
×
提示
您因"违规操作"
具体请查看互助需知
我知道了
×
提示
确定
请完成安全验证×
copy
已复制链接
快去分享给好友吧!
我知道了
右上角分享
点击右上角分享
0
联系我们:info@booksci.cn Book学术提供免费学术资源搜索服务,方便国内外学者检索中英文文献。致力于提供最便捷和优质的服务体验。 Copyright © 2023 布克学术 All rights reserved.
京ICP备2023020795号-1
ghs 京公网安备 11010802042870号
Book学术文献互助
Book学术文献互助群
群 号:604180095
Book学术官方微信