The relationship between the triglyceride to high-density lipoprotein cholesterol ratio and positive blood or pus cultures in patients with pyogenic liver abscess.

IF 3.9 2区 医学 Q2 BIOCHEMISTRY & MOLECULAR BIOLOGY
Qian Huang, Zi-Xuan Huang, Hou-Xiong Lin, Yong Xu, Xiao-Xu Xie, Meng-Xin Lin, Da-Wu Zeng
{"title":"The relationship between the triglyceride to high-density lipoprotein cholesterol ratio and positive blood or pus cultures in patients with pyogenic liver abscess.","authors":"Qian Huang, Zi-Xuan Huang, Hou-Xiong Lin, Yong Xu, Xiao-Xu Xie, Meng-Xin Lin, Da-Wu Zeng","doi":"10.1186/s12944-025-02682-8","DOIUrl":null,"url":null,"abstract":"<p><strong>Background/aims: </strong>High triglyceride (TG) levels, low high-density lipoprotein cholesterol (HDL-C), and an elevated TG/HDL-C ratio are linked to increased systemic inflammation and impaired immune function. However, the clinical significance of the TG/HDL-C ratio in pyogenic liver abscess (PLA) remains poorly defined.</p><p><strong>Methods: </strong>In this multicenter, cross-sectional study of 2,201 cases of PLA, logistic regression, smoothed curve fitting, and comprehensive sensitivity analyses were employed to assess the relationship between the baseline TG/HDL-C ratio and positive blood or pus cultures. Subgroup analyses and interaction tests were performed to evaluate the robustness of the findings.</p><p><strong>Results: </strong>Logistic regression showed that the TG/HDL-C ratio was positively associated with blood or pus culture positivity in PLA [odds ratio (OR) = 1.04, 95% confidence interval (CI): 1.02-1.06, P < 0.001. Smoothed curve fitting revealed a nonlinear dose-response relationship, with an inflection point at 9.2. Below this threshold, the TG/HDL-C ratio remained significantly associated with culture positivity (OR = 1.1, 95% CI: 1.1-1.2, P < 0.001). Sensitivity analyses and interaction tests confirmed these results.</p><p><strong>Conclusions: </strong>The TG/HDL-C ratio demonstrates a nonlinear relationship with the risk of positive blood or pus cultures in patients with PLA, with a pivotal threshold value identified at 9.2. This readily obtainable ratio may help clinicians individualize management strategies and facilitate timely interventions for PLA patients in this at-risk group, leading to improved health outcomes for this vulnerable population.</p>","PeriodicalId":18073,"journal":{"name":"Lipids in Health and Disease","volume":"24 1","pages":"267"},"PeriodicalIF":3.9000,"publicationDate":"2025-08-26","publicationTypes":"Journal Article","fieldsOfStudy":null,"isOpenAccess":false,"openAccessPdf":"https://www.ncbi.nlm.nih.gov/pmc/articles/PMC12379499/pdf/","citationCount":"0","resultStr":null,"platform":"Semanticscholar","paperid":null,"PeriodicalName":"Lipids in Health and Disease","FirstCategoryId":"3","ListUrlMain":"https://doi.org/10.1186/s12944-025-02682-8","RegionNum":2,"RegionCategory":"医学","ArticlePicture":[],"TitleCN":null,"AbstractTextCN":null,"PMCID":null,"EPubDate":"","PubModel":"","JCR":"Q2","JCRName":"BIOCHEMISTRY & MOLECULAR BIOLOGY","Score":null,"Total":0}
引用次数: 0

Abstract

Background/aims: High triglyceride (TG) levels, low high-density lipoprotein cholesterol (HDL-C), and an elevated TG/HDL-C ratio are linked to increased systemic inflammation and impaired immune function. However, the clinical significance of the TG/HDL-C ratio in pyogenic liver abscess (PLA) remains poorly defined.

Methods: In this multicenter, cross-sectional study of 2,201 cases of PLA, logistic regression, smoothed curve fitting, and comprehensive sensitivity analyses were employed to assess the relationship between the baseline TG/HDL-C ratio and positive blood or pus cultures. Subgroup analyses and interaction tests were performed to evaluate the robustness of the findings.

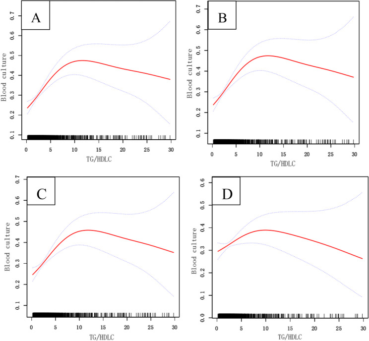
Results: Logistic regression showed that the TG/HDL-C ratio was positively associated with blood or pus culture positivity in PLA [odds ratio (OR) = 1.04, 95% confidence interval (CI): 1.02-1.06, P < 0.001. Smoothed curve fitting revealed a nonlinear dose-response relationship, with an inflection point at 9.2. Below this threshold, the TG/HDL-C ratio remained significantly associated with culture positivity (OR = 1.1, 95% CI: 1.1-1.2, P < 0.001). Sensitivity analyses and interaction tests confirmed these results.

Conclusions: The TG/HDL-C ratio demonstrates a nonlinear relationship with the risk of positive blood or pus cultures in patients with PLA, with a pivotal threshold value identified at 9.2. This readily obtainable ratio may help clinicians individualize management strategies and facilitate timely interventions for PLA patients in this at-risk group, leading to improved health outcomes for this vulnerable population.

Abstract Image

Abstract Image

Abstract Image

甘油三酯与高密度脂蛋白胆固醇比值与化脓性肝脓肿血、脓培养阳性的关系。
背景/目的:高甘油三酯(TG)水平、低高密度脂蛋白胆固醇(HDL-C)和TG/HDL-C比值升高与全身炎症增加和免疫功能受损有关。然而,TG/HDL-C比值在化脓性肝脓肿(PLA)中的临床意义仍不明确。方法:对2201例PLA患者进行多中心横断研究,采用logistic回归、平滑曲线拟合和综合敏感性分析评估基线TG/HDL-C比值与血或脓培养阳性的关系。进行亚组分析和相互作用试验来评估研究结果的稳健性。结果:Logistic回归显示TG/HDL-C比值与PLA患者血液或脓液培养阳性呈正相关[比值比(or) = 1.04, 95%可信区间(CI): 1.02-1.06, P]结论:TG/HDL-C比值与PLA患者血液或脓液培养阳性风险呈非线性关系,关键阈值为9.2。这一容易获得的比率可以帮助临床医生制定个性化的管理策略,并促进对这一高危群体中的PLA患者进行及时干预,从而改善这一弱势群体的健康状况。
本文章由计算机程序翻译,如有差异,请以英文原文为准。
求助全文
约1分钟内获得全文 求助全文
来源期刊
Lipids in Health and Disease
Lipids in Health and Disease 生物-生化与分子生物学
CiteScore
7.70
自引率
2.20%
发文量
122
审稿时长
3-8 weeks
期刊介绍: Lipids in Health and Disease is an open access, peer-reviewed, journal that publishes articles on all aspects of lipids: their biochemistry, pharmacology, toxicology, role in health and disease, and the synthesis of new lipid compounds. Lipids in Health and Disease is aimed at all scientists, health professionals and physicians interested in the area of lipids. Lipids are defined here in their broadest sense, to include: cholesterol, essential fatty acids, saturated fatty acids, phospholipids, inositol lipids, second messenger lipids, enzymes and synthetic machinery that is involved in the metabolism of various lipids in the cells and tissues, and also various aspects of lipid transport, etc. In addition, the journal also publishes research that investigates and defines the role of lipids in various physiological processes, pathology and disease. In particular, the journal aims to bridge the gap between the bench and the clinic by publishing articles that are particularly relevant to human diseases and the role of lipids in the management of various diseases.
×
引用
GB/T 7714-2015
复制
MLA
复制
APA
复制
导出至
BibTeX EndNote RefMan NoteFirst NoteExpress
×
提示
您的信息不完整,为了账户安全,请先补充。
现在去补充
×
提示
您因"违规操作"
具体请查看互助需知
我知道了
×
提示
确定
请完成安全验证×
copy
已复制链接
快去分享给好友吧!
我知道了
右上角分享
点击右上角分享
0
联系我们:info@booksci.cn Book学术提供免费学术资源搜索服务,方便国内外学者检索中英文文献。致力于提供最便捷和优质的服务体验。 Copyright © 2023 布克学术 All rights reserved.
京ICP备2023020795号-1
ghs 京公网安备 11010802042870号
Book学术文献互助
Book学术文献互助群
群 号:604180095
Book学术官方微信