Increased plasma ceramide levels are associated with arterial stiffness and vascular ageing: a cross-sectional study.

IF 3.9 2区 医学 Q2 BIOCHEMISTRY & MOLECULAR BIOLOGY
Jiachi Ren, Guan Wang, Ying Wang, Lin Li, Jingru Sun, Shengmin Liu, Xiaofen Wu, Cuntai Zhang, Lei Ruan
{"title":"Increased plasma ceramide levels are associated with arterial stiffness and vascular ageing: a cross-sectional study.","authors":"Jiachi Ren, Guan Wang, Ying Wang, Lin Li, Jingru Sun, Shengmin Liu, Xiaofen Wu, Cuntai Zhang, Lei Ruan","doi":"10.1186/s12944-025-02706-3","DOIUrl":null,"url":null,"abstract":"<p><strong>Background: </strong>Cardiovascular (CV) events pose a substantial threat to human health. Plasma ceramides have been shown to exhibit predictive value for CV events; however, its correlation with arterial stiffness had yet to be fully elucidated. This study aimed to explore the associations of plasma ceramide levels and their ratios with arterial stiffness.</p><p><strong>Methods: </strong>This retrospective study involved participants whose ceramide levels were measured and whose arterial stiffness was assessed. Multivariate regression was used to assess the association between plasma ceramides and arterial stiffness. Restricted cubic spline (RCS) analysis was used to assess the correlation between plasma ceramide levels and arterial stiffness. Receiver operating characteristic (ROC) curves were generated to assess the diagnostic value of plasma ceramides for arterial stiffness. Subgroup analyses were also performed.</p><p><strong>Results: </strong>This study included 503 patients with a mean age of 43.7 ± 10.8 years. The results showed that plasma ceramides 24:0 and 22:0 were significantly associated with arterial stiffness, as supported by multivariate regression analysis. RCS analysis revealed a potential linear relationship between plasma 24:0 ceramide and arterial stiffness (P for nonlinearity > 0.05). In contrast, a significant nonlinear correlation was found for plasma 22:0 ceramide (P for nonlinearity = 0.04). ROC analysis revealed optimal cut-off values of 1.035 µmol/L for plasma 22:0 ceramide (68.0% specificity, 67.3% sensitivity) and 3.335 µmol/L for plasma 24:0 ceramide (64.1% specificity, 74.8% sensitivity), with area under the curve (AUC) values of 0.702 and 0.724, respectively, demonstrating acceptable diagnostic performance. Additionally, subgroup analyses revealed a marked connection between serum ceramide levels and arterial stiffness, especially in male participants and individuals with normal lipid profiles.</p><p><strong>Conclusions: </strong>Plasma ceramide levels are significantly correlated with arterial stiffness, which suggests that they play a role as biomarkers for vascular ageing assessments and highlights their potential value for early prevention strategies against CV events.</p>","PeriodicalId":18073,"journal":{"name":"Lipids in Health and Disease","volume":"24 1","pages":"272"},"PeriodicalIF":3.9000,"publicationDate":"2025-09-01","publicationTypes":"Journal Article","fieldsOfStudy":null,"isOpenAccess":false,"openAccessPdf":"https://www.ncbi.nlm.nih.gov/pmc/articles/PMC12403930/pdf/","citationCount":"0","resultStr":null,"platform":"Semanticscholar","paperid":null,"PeriodicalName":"Lipids in Health and Disease","FirstCategoryId":"3","ListUrlMain":"https://doi.org/10.1186/s12944-025-02706-3","RegionNum":2,"RegionCategory":"医学","ArticlePicture":[],"TitleCN":null,"AbstractTextCN":null,"PMCID":null,"EPubDate":"","PubModel":"","JCR":"Q2","JCRName":"BIOCHEMISTRY & MOLECULAR BIOLOGY","Score":null,"Total":0}
引用次数: 0

Abstract

Background: Cardiovascular (CV) events pose a substantial threat to human health. Plasma ceramides have been shown to exhibit predictive value for CV events; however, its correlation with arterial stiffness had yet to be fully elucidated. This study aimed to explore the associations of plasma ceramide levels and their ratios with arterial stiffness.

Methods: This retrospective study involved participants whose ceramide levels were measured and whose arterial stiffness was assessed. Multivariate regression was used to assess the association between plasma ceramides and arterial stiffness. Restricted cubic spline (RCS) analysis was used to assess the correlation between plasma ceramide levels and arterial stiffness. Receiver operating characteristic (ROC) curves were generated to assess the diagnostic value of plasma ceramides for arterial stiffness. Subgroup analyses were also performed.

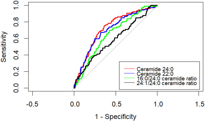
Results: This study included 503 patients with a mean age of 43.7 ± 10.8 years. The results showed that plasma ceramides 24:0 and 22:0 were significantly associated with arterial stiffness, as supported by multivariate regression analysis. RCS analysis revealed a potential linear relationship between plasma 24:0 ceramide and arterial stiffness (P for nonlinearity > 0.05). In contrast, a significant nonlinear correlation was found for plasma 22:0 ceramide (P for nonlinearity = 0.04). ROC analysis revealed optimal cut-off values of 1.035 µmol/L for plasma 22:0 ceramide (68.0% specificity, 67.3% sensitivity) and 3.335 µmol/L for plasma 24:0 ceramide (64.1% specificity, 74.8% sensitivity), with area under the curve (AUC) values of 0.702 and 0.724, respectively, demonstrating acceptable diagnostic performance. Additionally, subgroup analyses revealed a marked connection between serum ceramide levels and arterial stiffness, especially in male participants and individuals with normal lipid profiles.

Conclusions: Plasma ceramide levels are significantly correlated with arterial stiffness, which suggests that they play a role as biomarkers for vascular ageing assessments and highlights their potential value for early prevention strategies against CV events.

Abstract Image

Abstract Image

Abstract Image

血浆神经酰胺水平升高与动脉僵硬和血管老化有关:一项横断面研究。
背景:心血管(CV)事件对人类健康构成重大威胁。血浆神经酰胺已被证明对心血管事件具有预测价值;然而,其与动脉硬度的相关性尚未完全阐明。本研究旨在探讨血浆神经酰胺水平及其比值与动脉硬度的关系。方法:这项回顾性研究纳入了测量神经酰胺水平和评估动脉僵硬度的参与者。采用多变量回归评估血浆神经酰胺与动脉僵硬度之间的关系。采用限制性三次样条(RCS)分析评估血浆神经酰胺水平与动脉僵硬度之间的相关性。生成受试者工作特征(ROC)曲线,评估血浆神经酰胺对动脉僵硬的诊断价值。还进行了亚组分析。结果:本研究纳入503例患者,平均年龄43.7±10.8岁。结果显示,血浆神经酰胺24:0和22:0与动脉僵硬度显著相关,多因素回归分析支持这一结果。RCS分析显示血浆24:0神经酰胺与动脉刚度之间存在潜在的线性关系(非线性P < 0.05)。血浆22:0神经酰胺含量存在显著的非线性相关(非线性P = 0.04)。ROC分析显示,血浆22:0神经酰胺的最佳临界值为1.035µmol/L(特异性为68.0%,敏感性为67.3%),血浆24:0神经酰胺的最佳临界值为3.335µmol/L(特异性为64.1%,敏感性为74.8%),曲线下面积(AUC)分别为0.702和0.724,具有可接受的诊断性能。此外,亚组分析揭示了血清神经酰胺水平与动脉僵硬度之间的显著联系,尤其是在男性参与者和血脂正常的个体中。结论:血浆神经酰胺水平与动脉僵硬度显著相关,这表明它们在血管老化评估中发挥着生物标志物的作用,并突出了它们在早期预防心血管事件策略中的潜在价值。
本文章由计算机程序翻译,如有差异,请以英文原文为准。
求助全文
约1分钟内获得全文 求助全文
来源期刊
Lipids in Health and Disease
Lipids in Health and Disease 生物-生化与分子生物学
CiteScore
7.70
自引率
2.20%
发文量
122
审稿时长
3-8 weeks
期刊介绍: Lipids in Health and Disease is an open access, peer-reviewed, journal that publishes articles on all aspects of lipids: their biochemistry, pharmacology, toxicology, role in health and disease, and the synthesis of new lipid compounds. Lipids in Health and Disease is aimed at all scientists, health professionals and physicians interested in the area of lipids. Lipids are defined here in their broadest sense, to include: cholesterol, essential fatty acids, saturated fatty acids, phospholipids, inositol lipids, second messenger lipids, enzymes and synthetic machinery that is involved in the metabolism of various lipids in the cells and tissues, and also various aspects of lipid transport, etc. In addition, the journal also publishes research that investigates and defines the role of lipids in various physiological processes, pathology and disease. In particular, the journal aims to bridge the gap between the bench and the clinic by publishing articles that are particularly relevant to human diseases and the role of lipids in the management of various diseases.
×
引用
GB/T 7714-2015
复制
MLA
复制
APA
复制
导出至
BibTeX EndNote RefMan NoteFirst NoteExpress
×
提示
您的信息不完整,为了账户安全,请先补充。
现在去补充
×
提示
您因"违规操作"
具体请查看互助需知
我知道了
×
提示
确定
请完成安全验证×
copy
已复制链接
快去分享给好友吧!
我知道了
右上角分享
点击右上角分享
0
联系我们:info@booksci.cn Book学术提供免费学术资源搜索服务,方便国内外学者检索中英文文献。致力于提供最便捷和优质的服务体验。 Copyright © 2023 布克学术 All rights reserved.
京ICP备2023020795号-1
ghs 京公网安备 11010802042870号
Book学术文献互助
Book学术文献互助群
群 号:604180095
Book学术官方微信