Topical carnosine gel improves intermittent high-intensity exercise performance in world-class rugby sevens players.

IF 3.9 2区 医学 Q1 NUTRITION & DIETETICS
C Martyn Beaven, Carl James, Daniel T McMaster, Nic Brockelbank
{"title":"Topical carnosine gel improves intermittent high-intensity exercise performance in world-class rugby sevens players.","authors":"C Martyn Beaven, Carl James, Daniel T McMaster, Nic Brockelbank","doi":"10.1080/15502783.2025.2550311","DOIUrl":null,"url":null,"abstract":"<p><strong>Background: </strong>The topical application of a carnosine gel may increase intramuscular carnosine concentrations and thereby improve exercise performance. This study investigated the effect of a topical carnosine gel on intermittent high-intensity exercise performance in rugby sevens players.</p><p><strong>Methods: </strong>Seven world-class rugby sevens players (body mass: 97.5 ± 4.1 kg; 1,452 International caps) completed two performance tests in a counterbalanced, crossover, triple-blind design. Players applied either 10 mL of a topical carnosine gel (CAR) or an ultrasound placebo gel (PLA) 40 minutes before undertaking 12 intermittent sprints on a cycle ergometer, interrupted by a 2-minute break after Sprint 6. The activity profile was 24 s cycling at 3 W/kg, 6 s at maximal intensity sprint, followed by a 30s rest. Average power, peak power, and HR were recorded for every 6 s sprint. RPE was recorded at the end of Sprint 6 and Sprint 12.</p><p><strong>Results: </strong>For peak power, two-way ANOVA revealed time (<i>p</i> = 5.49 × 10<sup>-9</sup>) and treatment effects (<i>p</i> = 1.44 × 10<sup>-7</sup>). Following CAR, peak power output was higher in Sprint 2 (1433 vs 1332 W; <i>p</i> = 0.048; <i>d</i> = 0.99; <i>large</i>), Sprint 4 (1347 vs 1244 W; <i>p</i> = 0.043; <i>d</i> = 0.74; <i>moderate</i>) and Sprint 7 (1426 vs 1270 W; <i>p</i> = 0.025; <i>d</i> = 0.98; <i>large</i>) compared to PLA. For mean power output, HR, and RPE there were time effects but no treatment effect (<i>p</i> = 0.211 to 0.847).</p><p><strong>Conclusions: </strong>Topical carnosine gel improved power production in world-class rugby sevens players. Future research should determine whether carno- sine gels increase intramuscular carnosine concentrations to support the observed improvements in anaerobic performance during high-intensity exercise.</p>","PeriodicalId":17400,"journal":{"name":"Journal of the International Society of Sports Nutrition","volume":"22 1","pages":"2550311"},"PeriodicalIF":3.9000,"publicationDate":"2025-12-01","publicationTypes":"Journal Article","fieldsOfStudy":null,"isOpenAccess":false,"openAccessPdf":"https://www.ncbi.nlm.nih.gov/pmc/articles/PMC12427510/pdf/","citationCount":"0","resultStr":null,"platform":"Semanticscholar","paperid":null,"PeriodicalName":"Journal of the International Society of Sports Nutrition","FirstCategoryId":"3","ListUrlMain":"https://doi.org/10.1080/15502783.2025.2550311","RegionNum":2,"RegionCategory":"医学","ArticlePicture":[],"TitleCN":null,"AbstractTextCN":null,"PMCID":null,"EPubDate":"2025/8/27 0:00:00","PubModel":"Epub","JCR":"Q1","JCRName":"NUTRITION & DIETETICS","Score":null,"Total":0}
引用次数: 0

Abstract

Background: The topical application of a carnosine gel may increase intramuscular carnosine concentrations and thereby improve exercise performance. This study investigated the effect of a topical carnosine gel on intermittent high-intensity exercise performance in rugby sevens players.

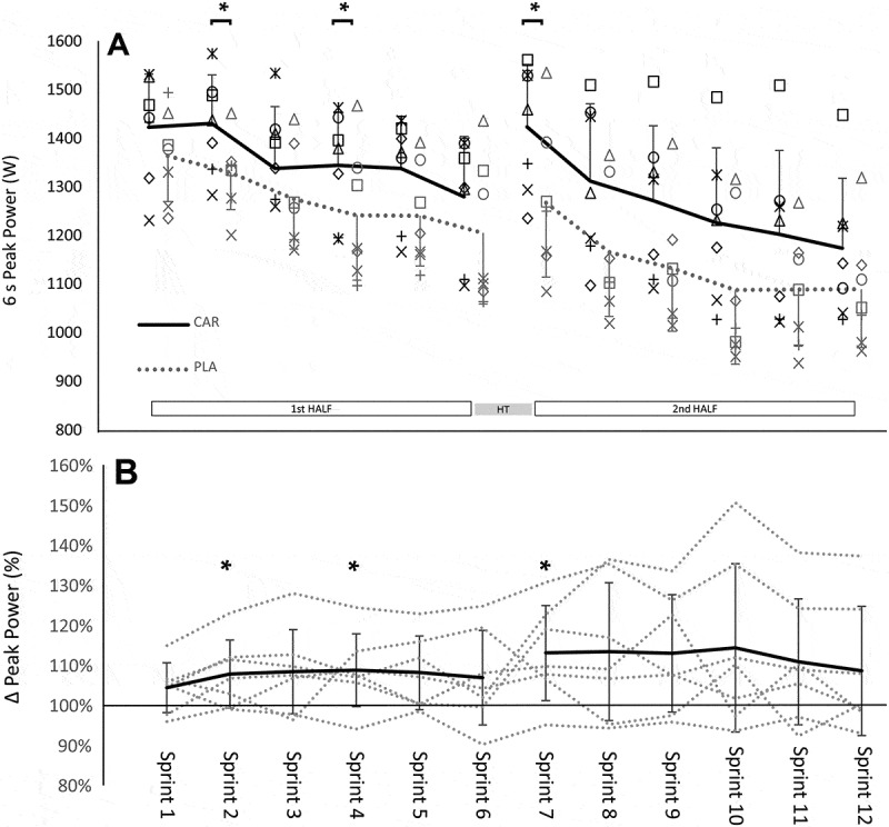
Methods: Seven world-class rugby sevens players (body mass: 97.5 ± 4.1 kg; 1,452 International caps) completed two performance tests in a counterbalanced, crossover, triple-blind design. Players applied either 10 mL of a topical carnosine gel (CAR) or an ultrasound placebo gel (PLA) 40 minutes before undertaking 12 intermittent sprints on a cycle ergometer, interrupted by a 2-minute break after Sprint 6. The activity profile was 24 s cycling at 3 W/kg, 6 s at maximal intensity sprint, followed by a 30s rest. Average power, peak power, and HR were recorded for every 6 s sprint. RPE was recorded at the end of Sprint 6 and Sprint 12.

Results: For peak power, two-way ANOVA revealed time (p = 5.49 × 10-9) and treatment effects (p = 1.44 × 10-7). Following CAR, peak power output was higher in Sprint 2 (1433 vs 1332 W; p = 0.048; d = 0.99; large), Sprint 4 (1347 vs 1244 W; p = 0.043; d = 0.74; moderate) and Sprint 7 (1426 vs 1270 W; p = 0.025; d = 0.98; large) compared to PLA. For mean power output, HR, and RPE there were time effects but no treatment effect (p = 0.211 to 0.847).

Conclusions: Topical carnosine gel improved power production in world-class rugby sevens players. Future research should determine whether carno- sine gels increase intramuscular carnosine concentrations to support the observed improvements in anaerobic performance during high-intensity exercise.

Abstract Image

Abstract Image

局部肌肽凝胶改善间歇性高强度运动的表现,在世界级橄榄球运动员七。
背景:局部应用肌肽凝胶可增加肌内肌肽浓度,从而改善运动表现。本研究调查了局部肌肽凝胶对七人橄榄球运动员间歇性高强度运动表现的影响。方法:7名世界级七人制橄榄球运动员(体重:97.5±4.1 kg; 1452次国际比赛出场)采用平衡、交叉、三盲设计完成两项性能测试。参与者在进行12次间歇冲刺前40分钟使用10毫升局部肌肽凝胶(CAR)或超声安慰剂凝胶(PLA),在第6次冲刺后休息2分钟。运动模式为以3w /kg的速度运动24 s,最大强度冲刺6 s,休息30s。记录每6秒冲刺的平均功率、峰值功率和HR。在Sprint 6和Sprint 12结束时记录RPE。结果:对于峰值功率,双因素方差分析显示时间(p = 5.49 × 10-9)和治疗效果(p = 1.44 × 10-7)。在CAR之后,与PLA相比,Sprint 2 (1433 vs 1332 W; p = 0.048; d = 0.99;大)、Sprint 4 (1347 vs 1244 W; p = 0.043; d = 0.74;中等)和Sprint 7 (1426 vs 1270 W; p = 0.025; d = 0.98;大)的峰值功率输出更高。平均功率输出、HR和RPE有时间效应,但无治疗效应(p = 0.211 ~ 0.847)。结论:局部肌肽凝胶改善了世界级七人制橄榄球运动员的力量产生。未来的研究应该确定肌肽凝胶是否会增加肌内肌肽浓度,以支持在高强度运动中观察到的无氧性能的改善。
本文章由计算机程序翻译,如有差异,请以英文原文为准。
求助全文
约1分钟内获得全文 求助全文
来源期刊
Journal of the International Society of Sports Nutrition
Journal of the International Society of Sports Nutrition NUTRITION & DIETETICS-SPORT SCIENCES
CiteScore
8.80
自引率
3.90%
发文量
34
审稿时长
6-12 weeks
期刊介绍: Journal of the International Society of Sports Nutrition (JISSN) focuses on the acute and chronic effects of sports nutrition and supplementation strategies on body composition, physical performance and metabolism. JISSN is aimed at researchers and sport enthusiasts focused on delivering knowledge on exercise and nutrition on health, disease, rehabilitation, training, and performance. The journal provides a platform on which readers can determine nutritional strategies that may enhance exercise and/or training adaptations leading to improved health and performance.
×
引用
GB/T 7714-2015
复制
MLA
复制
APA
复制
导出至
BibTeX EndNote RefMan NoteFirst NoteExpress
×
提示
您的信息不完整,为了账户安全,请先补充。
现在去补充
×
提示
您因"违规操作"
具体请查看互助需知
我知道了
×
提示
确定
请完成安全验证×
copy
已复制链接
快去分享给好友吧!
我知道了
右上角分享
点击右上角分享
0
联系我们:info@booksci.cn Book学术提供免费学术资源搜索服务,方便国内外学者检索中英文文献。致力于提供最便捷和优质的服务体验。 Copyright © 2023 布克学术 All rights reserved.
京ICP备2023020795号-1
ghs 京公网安备 11010802042870号
Book学术文献互助
Book学术文献互助群
群 号:604180095
Book学术官方微信