Quality of life measures in Parkinson's disease: a systematic literature review of patient-reported outcomes measures (PROMs) and their psychometric properties.

IF 4.6 2区 医学 Q1 CLINICAL NEUROLOGY
Alberto de la Cuadra-Grande, Javier Rejas, Miguel Ángel Casado, Manuel Monroy, Miguel Ruiz
{"title":"Quality of life measures in Parkinson's disease: a systematic literature review of patient-reported outcomes measures (PROMs) and their psychometric properties.","authors":"Alberto de la Cuadra-Grande, Javier Rejas, Miguel Ángel Casado, Manuel Monroy, Miguel Ruiz","doi":"10.1007/s00415-025-13348-x","DOIUrl":null,"url":null,"abstract":"<p><strong>Background: </strong>Quality-of-life (QoL) measures are key for monitoring health of patients with Parkinson's disease (PD).</p><p><strong>Objective: </strong>This systematic review aimed to gather evidence on the psychometric properties of available patient-reported outcomes measures (PROMs) for assessing QoL in people with PD (PwPD).</p><p><strong>Methods: </strong>A search of PROMs was conducted in PubMed (MEDLINE), Embase, Scopus, Web of Science, PSICDOC, and 'gray literature' (April 2024, PROSPERO-ID: CRD42024526458). After screening and data extraction, in a two-phase procedure conducted by independent reviewers, a critical assessment of feasibility, validity (content, structural, known-group, and criterion) and reliability (internal consistency, test-retest, and measurement error) was conducted based on the COSMIN criteria for good psychometric properties.</p><p><strong>Results: </strong>The search identified 83 eligible studies from which 29 PROMs were gathered (15 PD-specific and 14 generic/unspecific PROMs validated for PD). All PROMs proved their feasibility and included common dimensions between them, suggesting adequate content validity. Among the 29 PROMs, 17 reported data on structural validity (58.6%), 20 on known-group validity (69.0%), 25 on criterion validity (86.2%), 23 on internal consistency (79.3%), 11 on test-retest validity (37.9%), and 4 on measurement error (13.8%). According to the COSMIN criteria, 6 PROMs have the potential to be the most suitable QoL measure for PwPD: PDQ-39, PDQ-8, PDQL, PDQUALIF, PIMS, and Neuro-QOL.</p><p><strong>Conclusions: </strong>Several PROMs are feasible, valid, and reliable for measuring QoL in PwPD. However, further research ensuring their psychometric properties and cross-cultural adaptations are needed to recommend their use.</p>","PeriodicalId":16558,"journal":{"name":"Journal of Neurology","volume":"272 9","pages":"598"},"PeriodicalIF":4.6000,"publicationDate":"2025-08-28","publicationTypes":"Journal Article","fieldsOfStudy":null,"isOpenAccess":false,"openAccessPdf":"https://www.ncbi.nlm.nih.gov/pmc/articles/PMC12394374/pdf/","citationCount":"0","resultStr":null,"platform":"Semanticscholar","paperid":null,"PeriodicalName":"Journal of Neurology","FirstCategoryId":"3","ListUrlMain":"https://doi.org/10.1007/s00415-025-13348-x","RegionNum":2,"RegionCategory":"医学","ArticlePicture":[],"TitleCN":null,"AbstractTextCN":null,"PMCID":null,"EPubDate":"","PubModel":"","JCR":"Q1","JCRName":"CLINICAL NEUROLOGY","Score":null,"Total":0}
引用次数: 0

Abstract

Background: Quality-of-life (QoL) measures are key for monitoring health of patients with Parkinson's disease (PD).

Objective: This systematic review aimed to gather evidence on the psychometric properties of available patient-reported outcomes measures (PROMs) for assessing QoL in people with PD (PwPD).

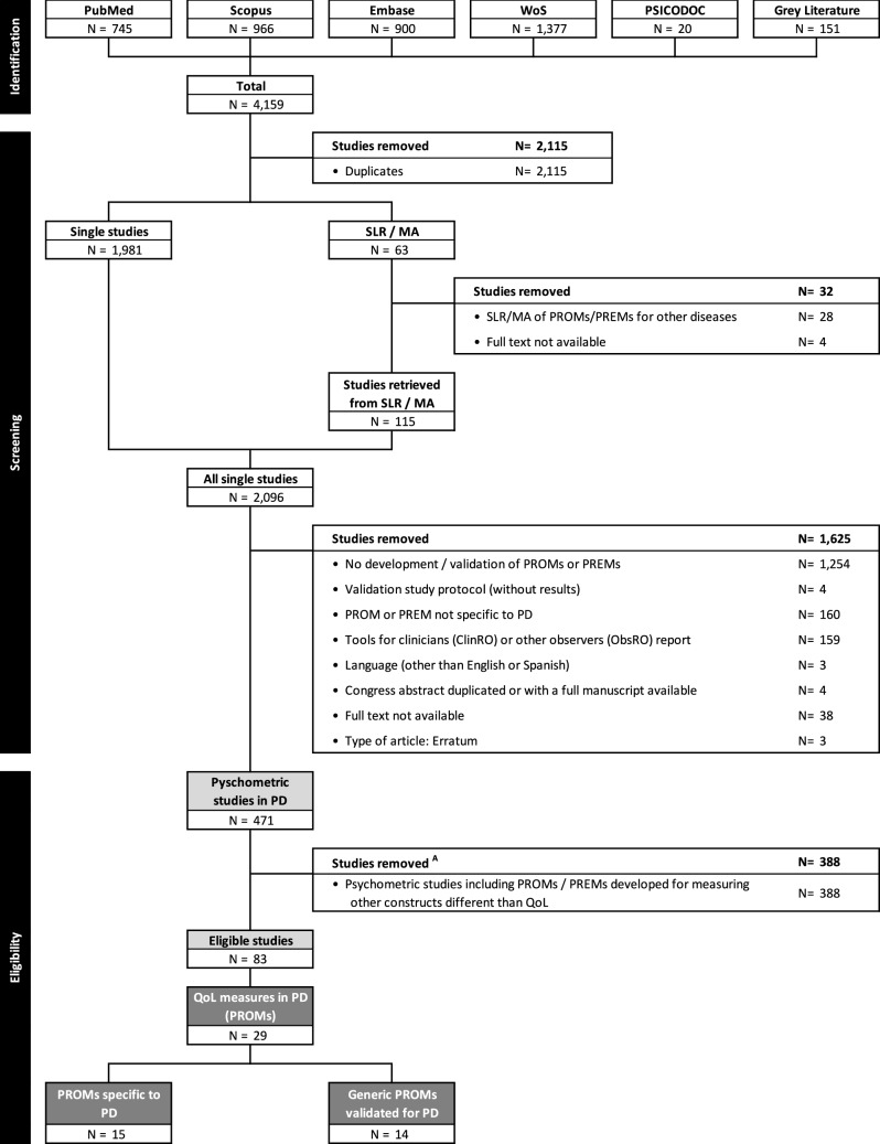
Methods: A search of PROMs was conducted in PubMed (MEDLINE), Embase, Scopus, Web of Science, PSICDOC, and 'gray literature' (April 2024, PROSPERO-ID: CRD42024526458). After screening and data extraction, in a two-phase procedure conducted by independent reviewers, a critical assessment of feasibility, validity (content, structural, known-group, and criterion) and reliability (internal consistency, test-retest, and measurement error) was conducted based on the COSMIN criteria for good psychometric properties.

Results: The search identified 83 eligible studies from which 29 PROMs were gathered (15 PD-specific and 14 generic/unspecific PROMs validated for PD). All PROMs proved their feasibility and included common dimensions between them, suggesting adequate content validity. Among the 29 PROMs, 17 reported data on structural validity (58.6%), 20 on known-group validity (69.0%), 25 on criterion validity (86.2%), 23 on internal consistency (79.3%), 11 on test-retest validity (37.9%), and 4 on measurement error (13.8%). According to the COSMIN criteria, 6 PROMs have the potential to be the most suitable QoL measure for PwPD: PDQ-39, PDQ-8, PDQL, PDQUALIF, PIMS, and Neuro-QOL.

Conclusions: Several PROMs are feasible, valid, and reliable for measuring QoL in PwPD. However, further research ensuring their psychometric properties and cross-cultural adaptations are needed to recommend their use.

Abstract Image

帕金森病的生活质量测量:对患者报告的结果测量(PROMs)及其心理测量特性的系统文献综述
背景:生活质量(QoL)指标是监测帕金森病(PD)患者健康状况的关键。目的:本系统综述旨在收集用于评估PD (PwPD)患者生活质量的可用患者报告结果测量(PROMs)的心理测量特性的证据。方法:检索PubMed (MEDLINE)、Embase、Scopus、Web of Science、PSICDOC和“灰色文献”(2024年4月,PROSPERO-ID: CRD42024526458)中的prom。在筛选和数据提取后,由独立评审员进行两阶段程序,根据COSMIN良好心理测量特性标准对可行性、效度(内容、结构、已知组和标准)和信度(内部一致性、测试重测和测量误差)进行关键评估。结果:检索确定了83个符合条件的研究,从中收集了29个PROMs(15个PD特异性和14个PD验证的通用/非特异性PROMs)。所有prom都证明了它们的可行性,并且它们之间包含了共同的维度,表明它们具有足够的内容效度。29份问卷中,结构效度17份(58.6%),已知组效度20份(69.0%),标准效度25份(86.2%),内部一致性23份(79.3%),重测效度11份(37.9%),测量误差4份(13.8%)。根据COSMIN标准,有6种prom有可能成为PwPD最适合的QoL测量:PDQ-39, PDQ-8, PDQL, PDQUALIF, PIMS和neuroqol。结论:几种质谱仪测量PwPD患者的生活质量是可行、有效、可靠的。然而,需要进一步的研究来确保它们的心理测量特性和跨文化适应性来推荐它们的使用。
本文章由计算机程序翻译,如有差异,请以英文原文为准。
求助全文
约1分钟内获得全文 求助全文
来源期刊
Journal of Neurology
Journal of Neurology 医学-临床神经学
CiteScore
10.00
自引率
5.00%
发文量
558
审稿时长
1 months
期刊介绍: The Journal of Neurology is an international peer-reviewed journal which provides a source for publishing original communications and reviews on clinical neurology covering the whole field. In addition, Letters to the Editors serve as a forum for clinical cases and the exchange of ideas which highlight important new findings. A section on Neurological progress serves to summarise the major findings in certain fields of neurology. Commentaries on new developments in clinical neuroscience, which may be commissioned or submitted, are published as editorials. Every neurologist interested in the current diagnosis and treatment of neurological disorders needs access to the information contained in this valuable journal.
×
引用
GB/T 7714-2015
复制
MLA
复制
APA
复制
导出至
BibTeX EndNote RefMan NoteFirst NoteExpress
×
提示
您的信息不完整,为了账户安全,请先补充。
现在去补充
×
提示
您因"违规操作"
具体请查看互助需知
我知道了
×
提示
确定
请完成安全验证×
copy
已复制链接
快去分享给好友吧!
我知道了
右上角分享
点击右上角分享
0
联系我们:info@booksci.cn Book学术提供免费学术资源搜索服务,方便国内外学者检索中英文文献。致力于提供最便捷和优质的服务体验。 Copyright © 2023 布克学术 All rights reserved.
京ICP备2023020795号-1
ghs 京公网安备 11010802042870号
Book学术文献互助
Book学术文献互助群
群 号:604180095
Book学术官方微信