A population-based study of severe, less common comorbidities in Duchenne muscular dystrophy.

IF 4.6 2区 医学 Q1 CLINICAL NEUROLOGY
Lisa Wahlgren, Sara Nordström, Már Tulinius, Anna-Karin Kroksmark, Kalliopi Sofou
{"title":"A population-based study of severe, less common comorbidities in Duchenne muscular dystrophy.","authors":"Lisa Wahlgren, Sara Nordström, Már Tulinius, Anna-Karin Kroksmark, Kalliopi Sofou","doi":"10.1007/s00415-025-13323-6","DOIUrl":null,"url":null,"abstract":"<p><strong>Background: </strong>Since the increasing longevity and the advent of new therapeutic modalities in Duchenne muscular dystrophy (DMD), comprehensive clinical surveillance is of paramount importance. Our study aimed to examine the occurrence of severe, less common comorbidities among patients with DMD and their impact on life expectancy and overall disease burden.</p><p><strong>Methods: </strong>This was a retrospective, nationwide study of all male patients with DMD who were followed at a medical clinic in Sweden, born and deceased during the period 1970-2019. Data regarding cause-of-death and comorbidities were retrieved by the medical records and the Cause of death Registry. The assessed variables were defined as 'severe' when depicting comorbidities with potentially serious, life-threatening outcomes.</p><p><strong>Results: </strong>Of the 129 included patients, approximately 56% presented with at least one severe complication or event, the most common being gastrointestinal complications and life-threatening arrhythmias, with incidence rates of 56.8 and 48.3/10,000 person-years, respectively. Acute kidney injury with an incidence of 16.6/10,000 person-years, was primarily seen within the months preceding death. Vascular events occurred in 10.7% of the patients, mainly cerebrovascular events and venous thromboembolism -including fatal post-traumatic pulmonary embolism-, each with an incidence of 23.5/10,000 person-years. Fracture occurrence, predominantly seen among non-ambulatory patients, had an incidence of 310/10,000 person-years. We further studied cumulative incidences and associations with loss of ambulation and glucocorticoids.</p><p><strong>Conclusion: </strong>Our study provides new insights into severe comorbidities in DMD, emphasizing the need for lifelong disease monitoring, especially considering that many complications are subject to prevention and, if detected early, to successful treatment.</p>","PeriodicalId":16558,"journal":{"name":"Journal of Neurology","volume":"272 9","pages":"596"},"PeriodicalIF":4.6000,"publicationDate":"2025-08-28","publicationTypes":"Journal Article","fieldsOfStudy":null,"isOpenAccess":false,"openAccessPdf":"https://www.ncbi.nlm.nih.gov/pmc/articles/PMC12394381/pdf/","citationCount":"0","resultStr":null,"platform":"Semanticscholar","paperid":null,"PeriodicalName":"Journal of Neurology","FirstCategoryId":"3","ListUrlMain":"https://doi.org/10.1007/s00415-025-13323-6","RegionNum":2,"RegionCategory":"医学","ArticlePicture":[],"TitleCN":null,"AbstractTextCN":null,"PMCID":null,"EPubDate":"","PubModel":"","JCR":"Q1","JCRName":"CLINICAL NEUROLOGY","Score":null,"Total":0}
引用次数: 0

Abstract

Background: Since the increasing longevity and the advent of new therapeutic modalities in Duchenne muscular dystrophy (DMD), comprehensive clinical surveillance is of paramount importance. Our study aimed to examine the occurrence of severe, less common comorbidities among patients with DMD and their impact on life expectancy and overall disease burden.

Methods: This was a retrospective, nationwide study of all male patients with DMD who were followed at a medical clinic in Sweden, born and deceased during the period 1970-2019. Data regarding cause-of-death and comorbidities were retrieved by the medical records and the Cause of death Registry. The assessed variables were defined as 'severe' when depicting comorbidities with potentially serious, life-threatening outcomes.

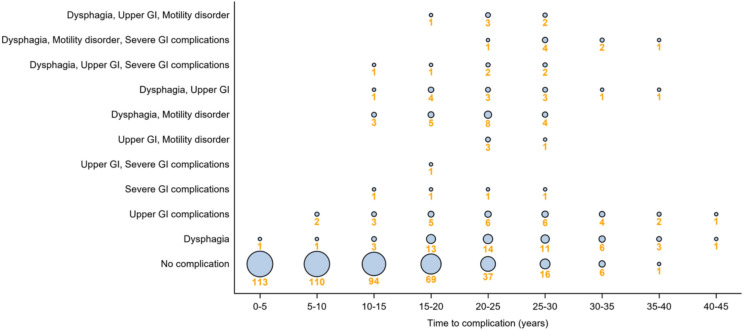
Results: Of the 129 included patients, approximately 56% presented with at least one severe complication or event, the most common being gastrointestinal complications and life-threatening arrhythmias, with incidence rates of 56.8 and 48.3/10,000 person-years, respectively. Acute kidney injury with an incidence of 16.6/10,000 person-years, was primarily seen within the months preceding death. Vascular events occurred in 10.7% of the patients, mainly cerebrovascular events and venous thromboembolism -including fatal post-traumatic pulmonary embolism-, each with an incidence of 23.5/10,000 person-years. Fracture occurrence, predominantly seen among non-ambulatory patients, had an incidence of 310/10,000 person-years. We further studied cumulative incidences and associations with loss of ambulation and glucocorticoids.

Conclusion: Our study provides new insights into severe comorbidities in DMD, emphasizing the need for lifelong disease monitoring, especially considering that many complications are subject to prevention and, if detected early, to successful treatment.

Abstract Image

Abstract Image

Abstract Image

一项以人群为基础的杜氏肌营养不良症严重、不常见合并症的研究。
背景:随着杜氏肌营养不良(DMD)患者寿命的延长和新的治疗方式的出现,全面的临床监测是至关重要的。我们的研究旨在检查DMD患者中严重的、不常见的合并症的发生率及其对预期寿命和总体疾病负担的影响。方法:这是一项回顾性的全国性研究,对1970年至2019年期间在瑞典一家医疗诊所出生和死亡的所有男性DMD患者进行了随访。有关死亡原因和合并症的数据由医疗记录和死亡原因登记处检索。评估的变量被定义为“严重”时,描述潜在的严重,危及生命的结果的合并症。结果:在纳入的129例患者中,约56%出现至少一种严重并发症或事件,最常见的是胃肠道并发症和危及生命的心律失常,发病率分别为56.8和48.3/10,000人年。急性肾损伤发生率为16.6/10,000人年,主要发生在死亡前几个月内。10.7%的患者发生血管事件,主要是脑血管事件和静脉血栓栓塞(包括致死性创伤后肺栓塞),每种事件的发生率为23.5/10,000人年。骨折的发生率主要见于非活动患者,为310/10,000人年。我们进一步研究了累积发病率及其与活动能力丧失和糖皮质激素的关系。结论:我们的研究为DMD的严重合并症提供了新的见解,强调了终身疾病监测的必要性,特别是考虑到许多并发症是可以预防的,如果及早发现,可以成功治疗。
本文章由计算机程序翻译,如有差异,请以英文原文为准。
求助全文
约1分钟内获得全文 求助全文
来源期刊
Journal of Neurology
Journal of Neurology 医学-临床神经学
CiteScore
10.00
自引率
5.00%
发文量
558
审稿时长
1 months
期刊介绍: The Journal of Neurology is an international peer-reviewed journal which provides a source for publishing original communications and reviews on clinical neurology covering the whole field. In addition, Letters to the Editors serve as a forum for clinical cases and the exchange of ideas which highlight important new findings. A section on Neurological progress serves to summarise the major findings in certain fields of neurology. Commentaries on new developments in clinical neuroscience, which may be commissioned or submitted, are published as editorials. Every neurologist interested in the current diagnosis and treatment of neurological disorders needs access to the information contained in this valuable journal.
×
引用
GB/T 7714-2015
复制
MLA
复制
APA
复制
导出至
BibTeX EndNote RefMan NoteFirst NoteExpress
×
提示
您的信息不完整,为了账户安全,请先补充。
现在去补充
×
提示
您因"违规操作"
具体请查看互助需知
我知道了
×
提示
确定
请完成安全验证×
copy
已复制链接
快去分享给好友吧!
我知道了
右上角分享
点击右上角分享
0
联系我们:info@booksci.cn Book学术提供免费学术资源搜索服务,方便国内外学者检索中英文文献。致力于提供最便捷和优质的服务体验。 Copyright © 2023 布克学术 All rights reserved.
京ICP备2023020795号-1
ghs 京公网安备 11010802042870号
Book学术文献互助
Book学术文献互助群
群 号:604180095
Book学术官方微信