Development of a Prediction Model for Acute Exacerbation in Idiopathic Pulmonary Fibrosis: A Study of the Korea IPF Cohort Registry.

IF 2.3 3区 医学 Q1 MEDICINE, GENERAL & INTERNAL
Jae Ha Lee, Ji Hoon Jang, Song Yee Kim, Moo Suk Park, Man Pyo Chung, Hongseok Yoo, Sung Hwan Jeong, Hong Lyeol Lee, Sun Mi Choi, Young Whan Kim, Yong Hyun Kim, Sung Woo Park, Jong Sun Park, Yangjin Jegal, Yong Suk Jo, Hee-Young Yoon, Tae-Hyung Kim, Yee Hyung Kim, Beomsu Shin, Hyun-Kyung Lee, Sei-Hoon Yang, Hyun Lee, Sang-Heon Kim, Eun Joo Lee, Hye Sook Choi, Hyung Koo Kang, Eun Young Heo, Won-Yeon Lee, Jin Woo Song
{"title":"Development of a Prediction Model for Acute Exacerbation in Idiopathic Pulmonary Fibrosis: A Study of the Korea IPF Cohort Registry.","authors":"Jae Ha Lee, Ji Hoon Jang, Song Yee Kim, Moo Suk Park, Man Pyo Chung, Hongseok Yoo, Sung Hwan Jeong, Hong Lyeol Lee, Sun Mi Choi, Young Whan Kim, Yong Hyun Kim, Sung Woo Park, Jong Sun Park, Yangjin Jegal, Yong Suk Jo, Hee-Young Yoon, Tae-Hyung Kim, Yee Hyung Kim, Beomsu Shin, Hyun-Kyung Lee, Sei-Hoon Yang, Hyun Lee, Sang-Heon Kim, Eun Joo Lee, Hye Sook Choi, Hyung Koo Kang, Eun Young Heo, Won-Yeon Lee, Jin Woo Song","doi":"10.3346/jkms.2025.40.e212","DOIUrl":null,"url":null,"abstract":"<p><strong>Background: </strong>Acute exacerbation (AE) of idiopathic pulmonary fibrosis (IPF) has the most disastrous impact on prognosis as a major cause of morbidity and mortality. However, there is no proven treatment, and the occurrence of AE is unpredictable. This study aimed to develop a prediction model for AE in patients with IPF using the nationwide Korea IPF Cohort (KICO) registry.</p><p><strong>Methods: </strong>This is a retrospective study of Korean patients with IPF who were enrolled from June 2016 to February 2022 in the KICO registry. We developed a prediction model for AE based on risk factors found in the multivariable logistic regression model.</p><p><strong>Results: </strong>Of 678 patients with IPF, the mean age was 69.4 years, and 82.0% were male. AE occurred in 165 patients (24.3%) during follow-up (median: 40.7 months). The median time from IPF diagnosis to AE was 11.6 (interquartile range: 3.6-23.5) months. Lower forced vital capacity (FVC), shorter six-minute walking distance (6MWD), and the use of home oxygen were independently associated with AE in the multivariable logistic analysis. In a risk-predicting model using variables of FVC, 6MWD, and the use of home oxygen, there was a significant predictive power for AE in both score (area under the curve [AUC], 0.746; 95% confidence interval [CI], 0.705-0.783; <i>P</i> < 0.001) and stage (AUC, 0.696; 95% CI, 0.654-0.736; <i>P</i> < 0.001).</p><p><strong>Conclusion: </strong>Our results suggest that a model using FVC, 6MWD, and home oxygen use may be useful in predicting AE in patients with IPF.</p>","PeriodicalId":16249,"journal":{"name":"Journal of Korean Medical Science","volume":"40 34","pages":"e212"},"PeriodicalIF":2.3000,"publicationDate":"2025-09-01","publicationTypes":"Journal Article","fieldsOfStudy":null,"isOpenAccess":false,"openAccessPdf":"https://www.ncbi.nlm.nih.gov/pmc/articles/PMC12401742/pdf/","citationCount":"0","resultStr":null,"platform":"Semanticscholar","paperid":null,"PeriodicalName":"Journal of Korean Medical Science","FirstCategoryId":"3","ListUrlMain":"https://doi.org/10.3346/jkms.2025.40.e212","RegionNum":3,"RegionCategory":"医学","ArticlePicture":[],"TitleCN":null,"AbstractTextCN":null,"PMCID":null,"EPubDate":"","PubModel":"","JCR":"Q1","JCRName":"MEDICINE, GENERAL & INTERNAL","Score":null,"Total":0}
引用次数: 0

Abstract

Background: Acute exacerbation (AE) of idiopathic pulmonary fibrosis (IPF) has the most disastrous impact on prognosis as a major cause of morbidity and mortality. However, there is no proven treatment, and the occurrence of AE is unpredictable. This study aimed to develop a prediction model for AE in patients with IPF using the nationwide Korea IPF Cohort (KICO) registry.

Methods: This is a retrospective study of Korean patients with IPF who were enrolled from June 2016 to February 2022 in the KICO registry. We developed a prediction model for AE based on risk factors found in the multivariable logistic regression model.

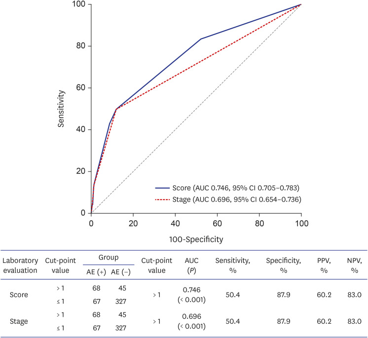
Results: Of 678 patients with IPF, the mean age was 69.4 years, and 82.0% were male. AE occurred in 165 patients (24.3%) during follow-up (median: 40.7 months). The median time from IPF diagnosis to AE was 11.6 (interquartile range: 3.6-23.5) months. Lower forced vital capacity (FVC), shorter six-minute walking distance (6MWD), and the use of home oxygen were independently associated with AE in the multivariable logistic analysis. In a risk-predicting model using variables of FVC, 6MWD, and the use of home oxygen, there was a significant predictive power for AE in both score (area under the curve [AUC], 0.746; 95% confidence interval [CI], 0.705-0.783; P < 0.001) and stage (AUC, 0.696; 95% CI, 0.654-0.736; P < 0.001).

Conclusion: Our results suggest that a model using FVC, 6MWD, and home oxygen use may be useful in predicting AE in patients with IPF.

Abstract Image

Abstract Image

Abstract Image

特发性肺纤维化急性加重预测模型的建立:韩国IPF队列登记研究
背景:特发性肺纤维化(IPF)急性加重(AE)是导致发病和死亡的主要原因,对预后的影响最为严重。然而,目前尚无有效的治疗方法,AE的发生是不可预测的。本研究旨在利用韩国IPF队列(KICO)登记建立IPF患者AE的预测模型。方法:这是一项回顾性研究,研究对象是2016年6月至2022年2月在KICO登记处登记的韩国IPF患者。我们建立了一个基于多变量logistic回归模型中发现的危险因素的AE预测模型。结果:678例IPF患者,平均年龄69.4岁,男性占82.0%。随访期间发生AE 165例(24.3%)(中位:40.7个月)。从IPF诊断到AE的中位时间为11.6个月(四分位数范围:3.6-23.5)。在多变量logistic分析中,较低的用力肺活量(FVC)、较短的6分钟步行距离(6MWD)和家庭吸氧使用与AE独立相关。在使用FVC、6MWD和家庭氧气使用变量的风险预测模型中,AE在评分(曲线下面积[AUC], 0.746; 95%可信区间[CI], 0.705-0.783; P < 0.001)和分期(AUC, 0.696; 95% CI, 0.654-0.736, P < 0.001)上都有显著的预测能力。结论:我们的研究结果表明,使用FVC、6MWD和家庭氧气使用的模型可能有助于预测IPF患者的AE。
本文章由计算机程序翻译,如有差异,请以英文原文为准。
求助全文
约1分钟内获得全文 求助全文
来源期刊
Journal of Korean Medical Science
Journal of Korean Medical Science 医学-医学:内科
CiteScore
7.80
自引率
8.90%
发文量
320
审稿时长
3-6 weeks
期刊介绍: The Journal of Korean Medical Science (JKMS) is an international, peer-reviewed Open Access journal of medicine published weekly in English. The Journal’s publisher is the Korean Academy of Medical Sciences (KAMS), Korean Medical Association (KMA). JKMS aims to publish evidence-based, scientific research articles from various disciplines of the medical sciences. The Journal welcomes articles of general interest to medical researchers especially when they contain original information. Articles on the clinical evaluation of drugs and other therapies, epidemiologic studies of the general population, studies on pathogenic organisms and toxic materials, and the toxicities and adverse effects of therapeutics are welcome.
×
引用
GB/T 7714-2015
复制
MLA
复制
APA
复制
导出至
BibTeX EndNote RefMan NoteFirst NoteExpress
×
提示
您的信息不完整,为了账户安全,请先补充。
现在去补充
×
提示
您因"违规操作"
具体请查看互助需知
我知道了
×
提示
确定
请完成安全验证×
copy
已复制链接
快去分享给好友吧!
我知道了
右上角分享
点击右上角分享
0
联系我们:info@booksci.cn Book学术提供免费学术资源搜索服务,方便国内外学者检索中英文文献。致力于提供最便捷和优质的服务体验。 Copyright © 2023 布克学术 All rights reserved.
京ICP备2023020795号-1
ghs 京公网安备 11010802042870号
Book学术文献互助
Book学术文献互助群
群 号:604180095
Book学术官方微信