Serum immune indicators including IgM, IgA, and IgG levels and quality of life of patients with gastrointestinal tumours during chemotherapy.

IF 1.5 4区 医学 Q4 BIOCHEMISTRY & MOLECULAR BIOLOGY
Mengchao Wan, Yunlong Wang, Lin Zeng, Zhiyong Zhou, Weirong Yao
{"title":"Serum immune indicators including IgM, IgA, and IgG levels and quality of life of patients with gastrointestinal tumours during chemotherapy.","authors":"Mengchao Wan, Yunlong Wang, Lin Zeng, Zhiyong Zhou, Weirong Yao","doi":"10.5937/jomb0-56137","DOIUrl":null,"url":null,"abstract":"<p><strong>Background: </strong>Patients with gastrointestinal tumours often experience malnutrition and compromised immune function during chemotherapy, leading to a significant decline in quality of life. This study aimed to evaluate the effects of dietary nursing interventions on the nutritional status, immune function, and quality of life in patients undergoing chemotherapy.</p><p><strong>Methods: </strong>A total of 100 patients with gastrointestinal tumours receiving chemotherapy from January 2023 to June 2024 were randomly divided into two groups: a control group (CG) and a study group (SG). Both groups received conventional nursing interventions, but the SG also received dietary nursing interventions focused on personalized nutrition, dietary habits, and gastrointestinal health. Nutritional status was assessed using body mass index (BMI), haemoglobin (HGB), serum albumin (ALB), and oral mucosal cell apoptosis rate. Immune function was evaluated by measuring immunoglobulin M (IgM), immunoglobulin A (IgA), and immunoglobulin G (IgG) levels. Quality of life was measured using the GQOL-74 scale.</p><p><strong>Results: </strong>After the nursing interventions, the SG showed significant improvements in BMI, HGB, ALB, and oral mucosal cell apoptosis rate compared to the CG (P<0.05). Additionally, IgM, IgA, and IgG levels were significantly higher in the SG (P<0.05). Quality of life scores, including physical, social, psychological, and material life, also improved significantly in the SG compared to the CG (P<0.05).</p><p><strong>Conclusions: </strong>Dietary nursing interventions significantly improved the nutritional status, immune function, and quality of life of patients with gastrointestinal tumours undergoing chemotherapy. These findings underscore the importance of incorporating dietary care into nursing practices for cancer patients to support their overall well-being and treatment outcomes.</p>","PeriodicalId":16175,"journal":{"name":"Journal of Medical Biochemistry","volume":"44 4","pages":"814-821"},"PeriodicalIF":1.5000,"publicationDate":"2025-07-04","publicationTypes":"Journal Article","fieldsOfStudy":null,"isOpenAccess":false,"openAccessPdf":"https://www.ncbi.nlm.nih.gov/pmc/articles/PMC12363367/pdf/","citationCount":"0","resultStr":null,"platform":"Semanticscholar","paperid":null,"PeriodicalName":"Journal of Medical Biochemistry","FirstCategoryId":"3","ListUrlMain":"https://doi.org/10.5937/jomb0-56137","RegionNum":4,"RegionCategory":"医学","ArticlePicture":[],"TitleCN":null,"AbstractTextCN":null,"PMCID":null,"EPubDate":"","PubModel":"","JCR":"Q4","JCRName":"BIOCHEMISTRY & MOLECULAR BIOLOGY","Score":null,"Total":0}
引用次数: 0

Abstract

Background: Patients with gastrointestinal tumours often experience malnutrition and compromised immune function during chemotherapy, leading to a significant decline in quality of life. This study aimed to evaluate the effects of dietary nursing interventions on the nutritional status, immune function, and quality of life in patients undergoing chemotherapy.

Methods: A total of 100 patients with gastrointestinal tumours receiving chemotherapy from January 2023 to June 2024 were randomly divided into two groups: a control group (CG) and a study group (SG). Both groups received conventional nursing interventions, but the SG also received dietary nursing interventions focused on personalized nutrition, dietary habits, and gastrointestinal health. Nutritional status was assessed using body mass index (BMI), haemoglobin (HGB), serum albumin (ALB), and oral mucosal cell apoptosis rate. Immune function was evaluated by measuring immunoglobulin M (IgM), immunoglobulin A (IgA), and immunoglobulin G (IgG) levels. Quality of life was measured using the GQOL-74 scale.

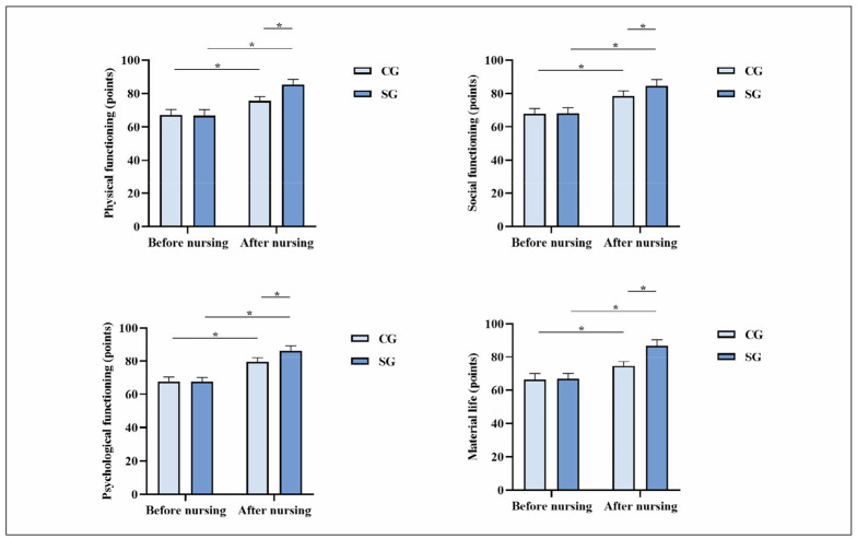
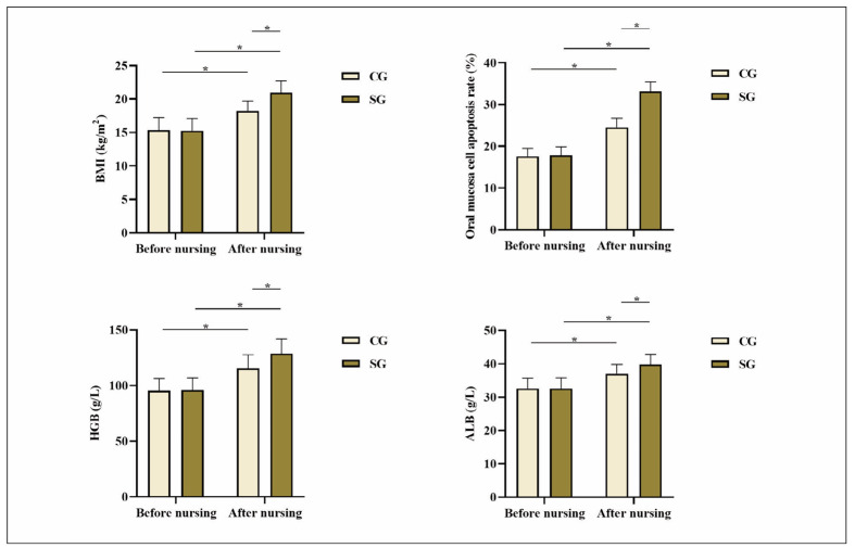
Results: After the nursing interventions, the SG showed significant improvements in BMI, HGB, ALB, and oral mucosal cell apoptosis rate compared to the CG (P<0.05). Additionally, IgM, IgA, and IgG levels were significantly higher in the SG (P<0.05). Quality of life scores, including physical, social, psychological, and material life, also improved significantly in the SG compared to the CG (P<0.05).

Conclusions: Dietary nursing interventions significantly improved the nutritional status, immune function, and quality of life of patients with gastrointestinal tumours undergoing chemotherapy. These findings underscore the importance of incorporating dietary care into nursing practices for cancer patients to support their overall well-being and treatment outcomes.

Abstract Image

Abstract Image

Abstract Image

胃肠道肿瘤患者化疗期间血清免疫指标IgM、IgA、IgG水平与生活质量的关系
背景:胃肠道肿瘤患者在化疗期间经常出现营养不良和免疫功能受损,导致生活质量显著下降。本研究旨在评估饮食护理干预对化疗患者营养状况、免疫功能和生活质量的影响。方法:选取2023年1月~ 2024年6月接受化疗的胃肠道肿瘤患者100例,随机分为对照组(CG)和研究组(SG)两组。两组都接受了常规护理干预,但SG也接受了以个性化营养、饮食习惯和胃肠道健康为重点的饮食护理干预。通过体重指数(BMI)、血红蛋白(HGB)、血清白蛋白(ALB)和口腔黏膜细胞凋亡率评估营养状况。通过测定免疫球蛋白M (IgM)、免疫球蛋白A (IgA)和免疫球蛋白G (IgG)水平评价免疫功能。生活质量采用GQOL-74量表进行测量。结果:护理干预后,SG组的BMI、HGB、ALB、口腔黏膜细胞凋亡率较CG组有显著改善(p < 0.05)。结论:饮食护理干预可显著改善胃肠道肿瘤化疗患者的营养状况、免疫功能和生活质量。这些发现强调了将饮食护理纳入癌症患者护理实践的重要性,以支持他们的整体健康和治疗结果。
本文章由计算机程序翻译,如有差异,请以英文原文为准。
求助全文
约1分钟内获得全文 求助全文
来源期刊
Journal of Medical Biochemistry
Journal of Medical Biochemistry BIOCHEMISTRY & MOLECULAR BIOLOGY-
CiteScore
3.00
自引率
12.00%
发文量
60
审稿时长
>12 weeks
期刊介绍: The JOURNAL OF MEDICAL BIOCHEMISTRY (J MED BIOCHEM) is the official journal of the Society of Medical Biochemists of Serbia with international peer-review. Papers are independently reviewed by at least two reviewers selected by the Editors as Blind Peer Reviews. The Journal of Medical Biochemistry is published quarterly. The Journal publishes original scientific and specialized articles on all aspects of clinical and medical biochemistry, molecular medicine, clinical hematology and coagulation, clinical immunology and autoimmunity, clinical microbiology, virology, clinical genomics and molecular biology, genetic epidemiology, drug measurement, evaluation of diagnostic markers, new reagents and laboratory equipment, reference materials and methods, reference values, laboratory organization, automation, quality control, clinical metrology, all related scientific disciplines where chemistry, biochemistry, molecular biology and immunochemistry deal with the study of normal and pathologic processes in human beings.
×
引用
GB/T 7714-2015
复制
MLA
复制
APA
复制
导出至
BibTeX EndNote RefMan NoteFirst NoteExpress
×
提示
您的信息不完整,为了账户安全,请先补充。
现在去补充
×
提示
您因"违规操作"
具体请查看互助需知
我知道了
×
提示
确定
请完成安全验证×
copy
已复制链接
快去分享给好友吧!
我知道了
右上角分享
点击右上角分享
0
联系我们:info@booksci.cn Book学术提供免费学术资源搜索服务,方便国内外学者检索中英文文献。致力于提供最便捷和优质的服务体验。 Copyright © 2023 布克学术 All rights reserved.
京ICP备2023020795号-1
ghs 京公网安备 11010802042870号
Book学术文献互助
Book学术文献互助群
群 号:604180095
Book学术官方微信