Elevated interleukin-10, -22, -24, and -26 in serum samples of children with infectious mononucleosis.

IF 1.5 4区 医学 Q4 BIOCHEMISTRY & MOLECULAR BIOLOGY
Dalei Li, Kangwei Mao, Peiliang Luo, Ziqiang Zheng, Jiangyan Liu, Chenxi Zhang, Siyu Gu, Rui Zhang, Jun Sun, Juan Wang
{"title":"Elevated interleukin-10, -22, -24, and -26 in serum samples of children with infectious mononucleosis.","authors":"Dalei Li, Kangwei Mao, Peiliang Luo, Ziqiang Zheng, Jiangyan Liu, Chenxi Zhang, Siyu Gu, Rui Zhang, Jun Sun, Juan Wang","doi":"10.5937/jomb0-54625","DOIUrl":null,"url":null,"abstract":"<p><strong>Background: </strong>Infectious mononucleosis (IM) is an infectious disease with different stages of onset, and the pathogenesis of IM remains unclear. This study aimed to investigate the levels of interleukin (IL)-10 family cytokines IL-10, -22, -24, and -26 in serum samples of patients with infectious mononucleosis (IM) and the potential diagnostic values.</p><p><strong>Methods: </strong>Thirty children with IM were enrolled in the study, and serum samples were collected; 30 healthy children served as the controls. Serum samples from the patients and healthy controls were collected, and IL-10, -22, -24, and -26 were determined by the ELISA method. An automatic biochemical analyser detected the serum alanine aminotransferase (ALT) and aspartate aminotransferase (AST). Moreover, potential diagnostic values of IL-10, -22, -24 and -26 have been analysed using ROC curve analysis, and the correlation between the levels of IL-10, -22, -24 and -26 in patients was analysed. Correlation between IL-10, -22, -24, and -26 and ALT and AST were analysed.</p><p><strong>Results: </strong>IL-10, -22, -24, and -26 levels increased in serum samples of patients with IM compared to healthy controls. ROC analysis showed that the AUC of IL-10, -22, -24, and -26 were 0.8500, 0.7078, 0.8056, and 0.9167, respectively, suggesting that IL-10, -22, -24, and -26 were good biomarkers. Moreover, IL-10, -22, -24 and -26 levels were positively correlated with the ALT and AST of the patients.</p><p><strong>Conclusions: </strong>IL-10, -22, -24, and -26 were upregulated in the serum of patients with IM, suggesting they may function as potential biomarkers.</p>","PeriodicalId":16175,"journal":{"name":"Journal of Medical Biochemistry","volume":"44 4","pages":"776-783"},"PeriodicalIF":1.5000,"publicationDate":"2025-07-04","publicationTypes":"Journal Article","fieldsOfStudy":null,"isOpenAccess":false,"openAccessPdf":"https://www.ncbi.nlm.nih.gov/pmc/articles/PMC12363368/pdf/","citationCount":"0","resultStr":null,"platform":"Semanticscholar","paperid":null,"PeriodicalName":"Journal of Medical Biochemistry","FirstCategoryId":"3","ListUrlMain":"https://doi.org/10.5937/jomb0-54625","RegionNum":4,"RegionCategory":"医学","ArticlePicture":[],"TitleCN":null,"AbstractTextCN":null,"PMCID":null,"EPubDate":"","PubModel":"","JCR":"Q4","JCRName":"BIOCHEMISTRY & MOLECULAR BIOLOGY","Score":null,"Total":0}
引用次数: 0

Abstract

Background: Infectious mononucleosis (IM) is an infectious disease with different stages of onset, and the pathogenesis of IM remains unclear. This study aimed to investigate the levels of interleukin (IL)-10 family cytokines IL-10, -22, -24, and -26 in serum samples of patients with infectious mononucleosis (IM) and the potential diagnostic values.

Methods: Thirty children with IM were enrolled in the study, and serum samples were collected; 30 healthy children served as the controls. Serum samples from the patients and healthy controls were collected, and IL-10, -22, -24, and -26 were determined by the ELISA method. An automatic biochemical analyser detected the serum alanine aminotransferase (ALT) and aspartate aminotransferase (AST). Moreover, potential diagnostic values of IL-10, -22, -24 and -26 have been analysed using ROC curve analysis, and the correlation between the levels of IL-10, -22, -24 and -26 in patients was analysed. Correlation between IL-10, -22, -24, and -26 and ALT and AST were analysed.

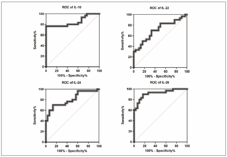
Results: IL-10, -22, -24, and -26 levels increased in serum samples of patients with IM compared to healthy controls. ROC analysis showed that the AUC of IL-10, -22, -24, and -26 were 0.8500, 0.7078, 0.8056, and 0.9167, respectively, suggesting that IL-10, -22, -24, and -26 were good biomarkers. Moreover, IL-10, -22, -24 and -26 levels were positively correlated with the ALT and AST of the patients.

Conclusions: IL-10, -22, -24, and -26 were upregulated in the serum of patients with IM, suggesting they may function as potential biomarkers.

Abstract Image

Abstract Image

Abstract Image

传染性单核细胞增多症患儿血清中白细胞介素-10、-22、-24和-26升高。
背景:传染性单核细胞增多症(IM)是一种不同发病阶段的传染病,其发病机制尚不清楚。本研究旨在探讨传染性单核细胞增多症(IM)患者血清样本中白细胞介素(IL)-10家族细胞因子IL-10、-22、-24和-26的水平及其潜在的诊断价值。方法:选取30例IM患儿,采集血清样本;30名健康儿童作为对照组。采集患者及健康对照血清,采用ELISA法检测IL-10、-22、-24、-26。全自动生化分析仪检测血清丙氨酸转氨酶(ALT)和天冬氨酸转氨酶(AST)。应用ROC曲线分析IL-10、-22、-24、-26的潜在诊断价值,分析患者IL-10、-22、-24、-26水平的相关性。分析IL-10、-22、-24、-26与ALT、AST的相关性。结果:与健康对照组相比,IM患者血清样本中IL-10、-22、-24和-26水平升高。ROC分析显示,IL-10、-22、-24、-26的AUC分别为0.8500、0.7078、0.8056、0.9167,提示IL-10、-22、-24、-26是良好的生物标志物。IL-10、-22、-24、-26水平与患者ALT、AST水平呈正相关。结论:IL-10、-22、-24和-26在IM患者血清中表达上调,提示其可能具有潜在的生物标志物功能。
本文章由计算机程序翻译,如有差异,请以英文原文为准。
求助全文
约1分钟内获得全文 求助全文
来源期刊
Journal of Medical Biochemistry
Journal of Medical Biochemistry BIOCHEMISTRY & MOLECULAR BIOLOGY-
CiteScore
3.00
自引率
12.00%
发文量
60
审稿时长
>12 weeks
期刊介绍: The JOURNAL OF MEDICAL BIOCHEMISTRY (J MED BIOCHEM) is the official journal of the Society of Medical Biochemists of Serbia with international peer-review. Papers are independently reviewed by at least two reviewers selected by the Editors as Blind Peer Reviews. The Journal of Medical Biochemistry is published quarterly. The Journal publishes original scientific and specialized articles on all aspects of clinical and medical biochemistry, molecular medicine, clinical hematology and coagulation, clinical immunology and autoimmunity, clinical microbiology, virology, clinical genomics and molecular biology, genetic epidemiology, drug measurement, evaluation of diagnostic markers, new reagents and laboratory equipment, reference materials and methods, reference values, laboratory organization, automation, quality control, clinical metrology, all related scientific disciplines where chemistry, biochemistry, molecular biology and immunochemistry deal with the study of normal and pathologic processes in human beings.
×
引用
GB/T 7714-2015
复制
MLA
复制
APA
复制
导出至
BibTeX EndNote RefMan NoteFirst NoteExpress
×
提示
您的信息不完整,为了账户安全,请先补充。
现在去补充
×
提示
您因"违规操作"
具体请查看互助需知
我知道了
×
提示
确定
请完成安全验证×
copy
已复制链接
快去分享给好友吧!
我知道了
右上角分享
点击右上角分享
0
联系我们:info@booksci.cn Book学术提供免费学术资源搜索服务,方便国内外学者检索中英文文献。致力于提供最便捷和优质的服务体验。 Copyright © 2023 布克学术 All rights reserved.
京ICP备2023020795号-1
ghs 京公网安备 11010802042870号
Book学术文献互助
Book学术文献互助群
群 号:604180095
Book学术官方微信