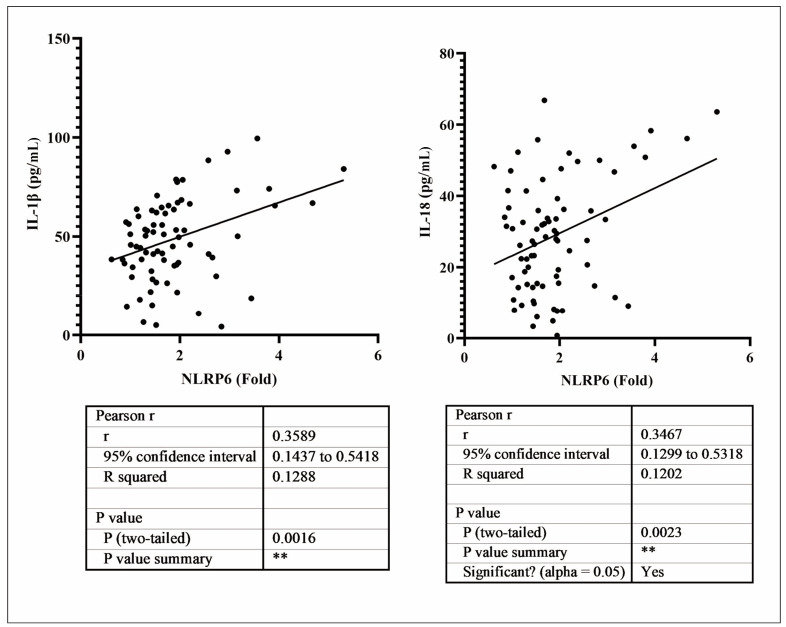
Correlation between NLRP6 inflammasome and the levels of inflammatory cytokines IL-1b and IL-18 in serum of patients with Meniere's disease.

IF 1.5 4区 医学 Q4 BIOCHEMISTRY & MOLECULAR BIOLOGY
Mengxiao Li, Ying Zhou, Zhibiao Liu, Xin Jin
{"title":"Correlation between NLRP6 inflammasome and the levels of inflammatory cytokines IL-1b and IL-18 in serum of patients with Meniere's disease.","authors":"Mengxiao Li, Ying Zhou, Zhibiao Liu, Xin Jin","doi":"10.5937/jomb0-55001","DOIUrl":null,"url":null,"abstract":"<p><strong>Background: </strong>Meniere's disease (MD) is a prevalent condition in otolaryngology, with its annual incidence rate increasing. Consequently, understanding the underlying mechanisms of MD is of significant importance. The aim is to investigate the relationship between serum levels of interleukin-1b (IL-1b) and interleukin-18 (IL-18), as well as the activation status of NLRP6 inflammasomes, in patients with Meniere's disease and to evaluate their correlation with the severity of the disease, to improve the treatment strategy of Meniere's disease.</p><p><strong>Methods: </strong>From March 2021 to December 2023, 75 MD patients were selected from the Affiliated Huaian No.1 People's Hospital of Nanjing Medical University for research, and a control group consisting of 75 age-matched healthy individuals was established. Each participant contributed a 5 mL peripheral venous blood sample, which was archived at -80 °C for subsequent analyses. The expression levels of NLRP6 messenger RNA in the blood samples were quantified using real-time fluorescence quantitative PCR methodology. Concentrations of interleukin-1b (IL-1b) and interleukin-18 (IL-18) were measured via enzyme-linked immunosorbent assay (ELISA). Through a comparative examination of NLRP6, IL-1b, and IL-18 levels between MD patients and the healthy controls, the study delved into the potential association between NLRP6 expression and the circulating levels of these two cytokines. In addition, special attention is paid to the differences between unilateral and bilateral MD patients in the above three indexes to evaluate their effectiveness as potential biomarkers for predicting the severity of hearing loss in MD patients.</p><p><strong>Results: </strong>In individuals suffering from MD, a notable elevation was observed in the peripheral blood expression levels of NLRP6, IL-1b, and IL-18 (p<0.001). A correlation assessment disclosed a positive association between the blood NLRP6 content and both IL-1b and IL-18 concentrations among these patients. Notably, no substantial disparity emerged in the expression profiles of these three biomarkers when comparing unilateral versus bilateral MD cases (p>0.05). Furthermore, patients at advanced stages (III+IV) exhibited significantly heightened levels of NLRP6, IL-1b, and IL-18 compared to their counterparts in earlier stages (I+II) (p<0.001). Receiver operating characteristic (ROC) curve analyses demonstrated that the area under the curve (AUC) for NLRP6, IL-1b, and IL-18 stood at 0.8731, 0.8089, and 0.7838, respectively, suggesting their potential as proficient diagnostic markers capable of differentiating MD patients from healthy controls.</p><p><strong>Conclusions: </strong>NLRP6, IL-1b, and IL-18 are highly expressed in the peripheral blood of MD patients. NLRP6, IL-1b, and IL-18 can serve as early diagnostic indicators for MD.</p>","PeriodicalId":16175,"journal":{"name":"Journal of Medical Biochemistry","volume":"44 4","pages":"740-747"},"PeriodicalIF":1.5000,"publicationDate":"2025-07-04","publicationTypes":"Journal Article","fieldsOfStudy":null,"isOpenAccess":false,"openAccessPdf":"https://www.ncbi.nlm.nih.gov/pmc/articles/PMC12363349/pdf/","citationCount":"0","resultStr":null,"platform":"Semanticscholar","paperid":null,"PeriodicalName":"Journal of Medical Biochemistry","FirstCategoryId":"3","ListUrlMain":"https://doi.org/10.5937/jomb0-55001","RegionNum":4,"RegionCategory":"医学","ArticlePicture":[],"TitleCN":null,"AbstractTextCN":null,"PMCID":null,"EPubDate":"","PubModel":"","JCR":"Q4","JCRName":"BIOCHEMISTRY & MOLECULAR BIOLOGY","Score":null,"Total":0}
引用次数: 0

Abstract

Background: Meniere's disease (MD) is a prevalent condition in otolaryngology, with its annual incidence rate increasing. Consequently, understanding the underlying mechanisms of MD is of significant importance. The aim is to investigate the relationship between serum levels of interleukin-1b (IL-1b) and interleukin-18 (IL-18), as well as the activation status of NLRP6 inflammasomes, in patients with Meniere's disease and to evaluate their correlation with the severity of the disease, to improve the treatment strategy of Meniere's disease.

Methods: From March 2021 to December 2023, 75 MD patients were selected from the Affiliated Huaian No.1 People's Hospital of Nanjing Medical University for research, and a control group consisting of 75 age-matched healthy individuals was established. Each participant contributed a 5 mL peripheral venous blood sample, which was archived at -80 °C for subsequent analyses. The expression levels of NLRP6 messenger RNA in the blood samples were quantified using real-time fluorescence quantitative PCR methodology. Concentrations of interleukin-1b (IL-1b) and interleukin-18 (IL-18) were measured via enzyme-linked immunosorbent assay (ELISA). Through a comparative examination of NLRP6, IL-1b, and IL-18 levels between MD patients and the healthy controls, the study delved into the potential association between NLRP6 expression and the circulating levels of these two cytokines. In addition, special attention is paid to the differences between unilateral and bilateral MD patients in the above three indexes to evaluate their effectiveness as potential biomarkers for predicting the severity of hearing loss in MD patients.

Results: In individuals suffering from MD, a notable elevation was observed in the peripheral blood expression levels of NLRP6, IL-1b, and IL-18 (p<0.001). A correlation assessment disclosed a positive association between the blood NLRP6 content and both IL-1b and IL-18 concentrations among these patients. Notably, no substantial disparity emerged in the expression profiles of these three biomarkers when comparing unilateral versus bilateral MD cases (p>0.05). Furthermore, patients at advanced stages (III+IV) exhibited significantly heightened levels of NLRP6, IL-1b, and IL-18 compared to their counterparts in earlier stages (I+II) (p<0.001). Receiver operating characteristic (ROC) curve analyses demonstrated that the area under the curve (AUC) for NLRP6, IL-1b, and IL-18 stood at 0.8731, 0.8089, and 0.7838, respectively, suggesting their potential as proficient diagnostic markers capable of differentiating MD patients from healthy controls.

Conclusions: NLRP6, IL-1b, and IL-18 are highly expressed in the peripheral blood of MD patients. NLRP6, IL-1b, and IL-18 can serve as early diagnostic indicators for MD.

Abstract Image

Abstract Image

Abstract Image

NLRP6炎性小体与梅尼埃病患者血清炎症因子IL-1b、IL-18水平的相关性
背景:梅尼埃病(MD)是耳鼻喉科的常见病,年发病率呈上升趋势。因此,了解MD的潜在机制非常重要。目的探讨梅尼埃病患者血清白细胞介素-1b (IL-1b)、白细胞介素-18 (IL-18)水平及NLRP6炎性小体激活状态的关系,并评价其与疾病严重程度的相关性,以改进梅尼埃病的治疗策略。方法:选取南京医科大学附属淮安第一人民医院于2021年3月至2023年12月收治的MD患者75例作为研究对象,并建立年龄匹配的健康个体75例作为对照组。每位参与者提供5ml外周静脉血样本,将其保存在-80°C以供后续分析。采用实时荧光定量PCR方法检测NLRP6信使RNA在血样品中的表达水平。采用酶联免疫吸附法(ELISA)检测白细胞介素-1b (IL-1b)和白细胞介素-18 (IL-18)的浓度。通过比较MD患者与健康对照NLRP6、IL-1b和IL-18的水平,本研究探讨了NLRP6表达与这两种细胞因子循环水平之间的潜在关联。此外,我们还特别关注单侧和双侧MD患者在上述三个指标上的差异,以评估它们作为预测MD患者听力损失严重程度的潜在生物标志物的有效性。结果:MD患者外周血NLRP6、IL-1b、IL-18表达水平显著升高(p0.05)。此外,与早期(I+II)患者相比,晚期(III+IV)患者的NLRP6、IL-1b和IL-18水平显著升高(p结论:NLRP6、IL-1b和IL-18在MD患者的外周血中高表达。NLRP6、IL-1b、IL-18可作为MD的早期诊断指标。
本文章由计算机程序翻译,如有差异,请以英文原文为准。
求助全文
约1分钟内获得全文 求助全文
来源期刊
Journal of Medical Biochemistry
Journal of Medical Biochemistry BIOCHEMISTRY & MOLECULAR BIOLOGY-
CiteScore
3.00
自引率
12.00%
发文量
60
审稿时长
>12 weeks
期刊介绍: The JOURNAL OF MEDICAL BIOCHEMISTRY (J MED BIOCHEM) is the official journal of the Society of Medical Biochemists of Serbia with international peer-review. Papers are independently reviewed by at least two reviewers selected by the Editors as Blind Peer Reviews. The Journal of Medical Biochemistry is published quarterly. The Journal publishes original scientific and specialized articles on all aspects of clinical and medical biochemistry, molecular medicine, clinical hematology and coagulation, clinical immunology and autoimmunity, clinical microbiology, virology, clinical genomics and molecular biology, genetic epidemiology, drug measurement, evaluation of diagnostic markers, new reagents and laboratory equipment, reference materials and methods, reference values, laboratory organization, automation, quality control, clinical metrology, all related scientific disciplines where chemistry, biochemistry, molecular biology and immunochemistry deal with the study of normal and pathologic processes in human beings.
×
引用
GB/T 7714-2015
复制
MLA
复制
APA
复制
导出至
BibTeX EndNote RefMan NoteFirst NoteExpress
×
提示
您的信息不完整,为了账户安全,请先补充。
现在去补充
×
提示
您因"违规操作"
具体请查看互助需知
我知道了
×
提示
确定
请完成安全验证×
copy
已复制链接
快去分享给好友吧!
我知道了
右上角分享
点击右上角分享
0
联系我们:info@booksci.cn Book学术提供免费学术资源搜索服务,方便国内外学者检索中英文文献。致力于提供最便捷和优质的服务体验。 Copyright © 2023 布克学术 All rights reserved.
京ICP备2023020795号-1
ghs 京公网安备 11010802042870号
Book学术文献互助
Book学术文献互助群
群 号:604180095
Book学术官方微信