Enhancing Professional Periodontal Therapy with a Novel PMA-Zeolite Application: A Clinical Study on Periodontal Outcomes and Microbiological Changes.

IF 5.2 3区 医学 Q1 ENGINEERING, BIOMEDICAL
Ines Đapić, Andrej Aurer, Jurica Žučko, Marinka Mravak-Stipetić, Marinka Baranović Baričević, Krešimir Pavelić, Fusun Ozer, Sandra Kraljević Pavelić
{"title":"Enhancing Professional Periodontal Therapy with a Novel PMA-Zeolite Application: A Clinical Study on Periodontal Outcomes and Microbiological Changes.","authors":"Ines Đapić, Andrej Aurer, Jurica Žučko, Marinka Mravak-Stipetić, Marinka Baranović Baričević, Krešimir Pavelić, Fusun Ozer, Sandra Kraljević Pavelić","doi":"10.3390/jfb16080270","DOIUrl":null,"url":null,"abstract":"<p><p>Periodontitis is a chronic, multifactorial inflammatory disease characterized by the progressive destruction of the periodontal supporting tissues, including alveolar bone, potentially resulting in tooth loss. Etiopathogenesis involves a dysbiotic shift in the subgingival microbiota where the presence of pathogenic species such as <i>Porphyromonas gingivalis</i>, <i>Aggregatibacter actinomycetemcomitans</i>, and <i>Treponema denticola</i> has been documented. This disbalance is combined with an inadequate host immune response, often exacerbated by other systemic comorbidities including diabetes mellitus and cardiovascular diseases. Conventional therapy typically comprises mechanical debridement and adjunctive local or systemic antimicrobials, but emerging antibiotic resistance highlights a need for alternative adjuvant therapeutic strategies. The present descriptive analysis of microbiome and clinical trends study evaluated the adjuvant effects of a clinoptilolite-based zeolite material, namely PMA-zeolite, with professional prophylaxis on clinical and microbiological parameters in patients with chronic periodontitis over a 10-week period. Clinical assessment revealed significant reductions in bleeding on probing (BoP) and periodontal pocket depth (PD), indicating improved inflammatory status. Microbiome profiling demonstrated a marked decrease in key periodontal pathogens, suggesting that PMA-zeolite can help rebalance the oral microbiome. These findings suggest that the combined therapy exhibits promising anti-inflammatory and antimicrobial properties, indicating its role in promoting microbial homeostasis and reducing periodontal inflammation. However, further investigation through larger, controlled clinical trials is needed to validate the efficacy of the therapy.</p>","PeriodicalId":15767,"journal":{"name":"Journal of Functional Biomaterials","volume":"16 8","pages":""},"PeriodicalIF":5.2000,"publicationDate":"2025-07-22","publicationTypes":"Journal Article","fieldsOfStudy":null,"isOpenAccess":false,"openAccessPdf":"https://www.ncbi.nlm.nih.gov/pmc/articles/PMC12387170/pdf/","citationCount":"0","resultStr":null,"platform":"Semanticscholar","paperid":null,"PeriodicalName":"Journal of Functional Biomaterials","FirstCategoryId":"5","ListUrlMain":"https://doi.org/10.3390/jfb16080270","RegionNum":3,"RegionCategory":"医学","ArticlePicture":[],"TitleCN":null,"AbstractTextCN":null,"PMCID":null,"EPubDate":"","PubModel":"","JCR":"Q1","JCRName":"ENGINEERING, BIOMEDICAL","Score":null,"Total":0}
引用次数: 0

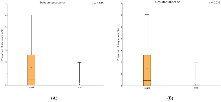
Abstract

Periodontitis is a chronic, multifactorial inflammatory disease characterized by the progressive destruction of the periodontal supporting tissues, including alveolar bone, potentially resulting in tooth loss. Etiopathogenesis involves a dysbiotic shift in the subgingival microbiota where the presence of pathogenic species such as Porphyromonas gingivalis, Aggregatibacter actinomycetemcomitans, and Treponema denticola has been documented. This disbalance is combined with an inadequate host immune response, often exacerbated by other systemic comorbidities including diabetes mellitus and cardiovascular diseases. Conventional therapy typically comprises mechanical debridement and adjunctive local or systemic antimicrobials, but emerging antibiotic resistance highlights a need for alternative adjuvant therapeutic strategies. The present descriptive analysis of microbiome and clinical trends study evaluated the adjuvant effects of a clinoptilolite-based zeolite material, namely PMA-zeolite, with professional prophylaxis on clinical and microbiological parameters in patients with chronic periodontitis over a 10-week period. Clinical assessment revealed significant reductions in bleeding on probing (BoP) and periodontal pocket depth (PD), indicating improved inflammatory status. Microbiome profiling demonstrated a marked decrease in key periodontal pathogens, suggesting that PMA-zeolite can help rebalance the oral microbiome. These findings suggest that the combined therapy exhibits promising anti-inflammatory and antimicrobial properties, indicating its role in promoting microbial homeostasis and reducing periodontal inflammation. However, further investigation through larger, controlled clinical trials is needed to validate the efficacy of the therapy.

Abstract Image

Abstract Image

Abstract Image

利用新型pma -沸石增强专业牙周治疗:牙周预后和微生物变化的临床研究。
牙周炎是一种慢性、多因素炎症性疾病,其特征是牙周支撑组织(包括牙槽骨)的进行性破坏,可能导致牙齿脱落。发病机制涉及牙龈下微生物群的生态失调,其中致病物种如牙龈卟啉单胞菌、放线菌聚集菌和牙密螺旋体的存在已被记录。这种不平衡与宿主免疫反应不足相结合,通常因其他系统性合并症(包括糖尿病和心血管疾病)而加剧。传统治疗通常包括机械清创和辅助局部或全身抗菌素,但新出现的抗生素耐药性突出了对替代辅助治疗策略的需求。本研究对微生物组和临床趋势进行了描述性分析,评估了一种基于斜沸石的沸石材料(即pma -沸石)对慢性牙周炎患者临床和微生物参数的专业预防的辅助作用,为期10周。临床评估显示探诊出血(BoP)和牙周袋深度(PD)显著减少,表明炎症状态改善。微生物组分析显示,关键牙周病原体显著减少,表明pma -沸石可以帮助重新平衡口腔微生物组。这些发现表明,联合治疗具有良好的抗炎和抗菌特性,表明其在促进微生物稳态和减少牙周炎症方面的作用。然而,需要通过更大规模的对照临床试验进行进一步的研究来验证该疗法的疗效。
本文章由计算机程序翻译,如有差异,请以英文原文为准。
求助全文
约1分钟内获得全文 求助全文
来源期刊
Journal of Functional Biomaterials
Journal of Functional Biomaterials Engineering-Biomedical Engineering
CiteScore
4.60
自引率
4.20%
发文量
226
审稿时长
11 weeks
期刊介绍: Journal of Functional Biomaterials (JFB, ISSN 2079-4983) is an international and interdisciplinary scientific journal that publishes regular research papers (articles), reviews and short communications about applications of materials for biomedical use. JFB covers subjects from chemistry, pharmacy, biology, physics over to engineering. The journal focuses on the preparation, performance and use of functional biomaterials in biomedical devices and their behaviour in physiological environments. Our aim is to encourage scientists to publish their results in as much detail as possible. Therefore, there is no restriction on the length of the papers. The full experimental details must be provided so that the results can be reproduced. Several topical special issues will be published. Scope: adhesion, adsorption, biocompatibility, biohybrid materials, bio-inert materials, biomaterials, biomedical devices, biomimetic materials, bone repair, cardiovascular devices, ceramics, composite materials, dental implants, dental materials, drug delivery systems, functional biopolymers, glasses, hyper branched polymers, molecularly imprinted polymers (MIPs), nanomedicine, nanoparticles, nanotechnology, natural materials, self-assembly smart materials, stimuli responsive materials, surface modification, tissue devices, tissue engineering, tissue-derived materials, urological devices.
×
引用
GB/T 7714-2015
复制
MLA
复制
APA
复制
导出至
BibTeX EndNote RefMan NoteFirst NoteExpress
×
提示
您的信息不完整,为了账户安全,请先补充。
现在去补充
×
提示
您因"违规操作"
具体请查看互助需知
我知道了
×
提示
确定
请完成安全验证×
copy
已复制链接
快去分享给好友吧!
我知道了
右上角分享
点击右上角分享
0
联系我们:info@booksci.cn Book学术提供免费学术资源搜索服务,方便国内外学者检索中英文文献。致力于提供最便捷和优质的服务体验。 Copyright © 2023 布克学术 All rights reserved.
京ICP备2023020795号-1
ghs 京公网安备 11010802042870号
Book学术文献互助
Book学术文献互助群
群 号:604180095
Book学术官方微信