Decoding the PTTG family's contribution to LUAD pathogenesis: a comprehensive study on expression, epigenetics, and therapeutic interventions.

IF 2.5 3区 生物学
Jinna Di, Li Tian, Fan Yan, Zhang Zhe, Cai Lin, Liu Jingyu
{"title":"Decoding the PTTG family's contribution to LUAD pathogenesis: a comprehensive study on expression, epigenetics, and therapeutic interventions.","authors":"Jinna Di, Li Tian, Fan Yan, Zhang Zhe, Cai Lin, Liu Jingyu","doi":"10.1186/s41065-025-00545-x","DOIUrl":null,"url":null,"abstract":"<p><strong>Background: </strong>Lung adenocarcinoma (LUAD) stands as a prevalent malignancy, yet its pathology remains incompletely comprehended.</p><p><strong>Methods: </strong>In this comprehensive study, we explored the roles of the pituitary tumor-transforming gene (PTTG) family, including PTTG1, PTTG2, and the pseudogene PTTG3P in lung adenocarcinoma (LUAD). Employing a multi-faceted approach, we conducted in-depth analyses using clinical samples and expression datasets.</p><p><strong>Results: </strong>Our findings revealed a significant up-regulation of PTTG family genes in LUAD cell lines and tissue samples compared to adjacent normal controls, suggesting their potential as diagnostic biomarkers. Through promoter methylation and mutational analyses, we uncovered regulatory mechanisms influencing PTTG gene expression. The exploration of the PTTG family's impact on LUAD patient survival demonstrated their association with adverse outcomes, emphasizing their potential prognostic relevance. Moreover, functional assays demonstrated that the knockdown of PTTG1 and PTTG2 genes resulted in the reduction of cell proliferation, colony formation, and cell migration abilities in A549 and H1975 LUAD cells. Furthermore, our investigation extended to therapeutic avenues, where we identified Calcitriol as a potential drug within the DrugBank database to down-regulate PTTG genes. Molecular docking analyses provided insights into the strong interaction between Calcitriol and PTTG1/PTTG2 proteins, laying the groundwork for further exploration of Calcitriol in LUAD treatment.</p><p><strong>Conclusion: </strong>In conclusion, this study contributes a comprehensive understanding of the PTTG family's involvement in LUAD, shedding light on their diagnostic, prognostic, and therapeutic implications.</p>","PeriodicalId":12862,"journal":{"name":"Hereditas","volume":"162 1","pages":"175"},"PeriodicalIF":2.5000,"publicationDate":"2025-08-28","publicationTypes":"Journal Article","fieldsOfStudy":null,"isOpenAccess":false,"openAccessPdf":"https://www.ncbi.nlm.nih.gov/pmc/articles/PMC12395852/pdf/","citationCount":"0","resultStr":null,"platform":"Semanticscholar","paperid":null,"PeriodicalName":"Hereditas","FirstCategoryId":"99","ListUrlMain":"https://doi.org/10.1186/s41065-025-00545-x","RegionNum":3,"RegionCategory":"生物学","ArticlePicture":[],"TitleCN":null,"AbstractTextCN":null,"PMCID":null,"EPubDate":"","PubModel":"","JCR":"","JCRName":"","Score":null,"Total":0}
引用次数: 0

Abstract

Background: Lung adenocarcinoma (LUAD) stands as a prevalent malignancy, yet its pathology remains incompletely comprehended.

Methods: In this comprehensive study, we explored the roles of the pituitary tumor-transforming gene (PTTG) family, including PTTG1, PTTG2, and the pseudogene PTTG3P in lung adenocarcinoma (LUAD). Employing a multi-faceted approach, we conducted in-depth analyses using clinical samples and expression datasets.

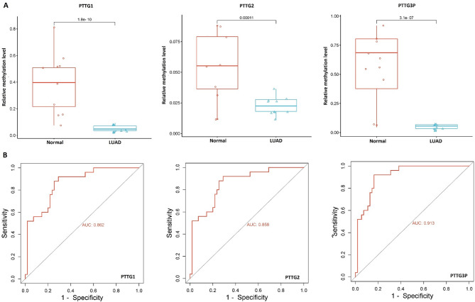
Results: Our findings revealed a significant up-regulation of PTTG family genes in LUAD cell lines and tissue samples compared to adjacent normal controls, suggesting their potential as diagnostic biomarkers. Through promoter methylation and mutational analyses, we uncovered regulatory mechanisms influencing PTTG gene expression. The exploration of the PTTG family's impact on LUAD patient survival demonstrated their association with adverse outcomes, emphasizing their potential prognostic relevance. Moreover, functional assays demonstrated that the knockdown of PTTG1 and PTTG2 genes resulted in the reduction of cell proliferation, colony formation, and cell migration abilities in A549 and H1975 LUAD cells. Furthermore, our investigation extended to therapeutic avenues, where we identified Calcitriol as a potential drug within the DrugBank database to down-regulate PTTG genes. Molecular docking analyses provided insights into the strong interaction between Calcitriol and PTTG1/PTTG2 proteins, laying the groundwork for further exploration of Calcitriol in LUAD treatment.

Conclusion: In conclusion, this study contributes a comprehensive understanding of the PTTG family's involvement in LUAD, shedding light on their diagnostic, prognostic, and therapeutic implications.

Abstract Image

Abstract Image

Abstract Image

解码PTTG家族对LUAD发病机制的贡献:一项关于表达、表观遗传学和治疗干预的综合研究
背景:肺腺癌(LUAD)是一种常见的恶性肿瘤,但其病理仍不完全了解。方法:在这项综合性研究中,我们探讨垂体肿瘤转化基因(PTTG)家族,包括PTTG1、PTTG2和假基因PTTG3P在肺腺癌(LUAD)中的作用。采用多方面的方法,我们使用临床样本和表达数据集进行了深入的分析。结果:我们的研究结果显示,与邻近的正常对照相比,LUAD细胞系和组织样本中的PTTG家族基因显著上调,这表明它们有可能作为诊断性生物标志物。通过启动子甲基化和突变分析,我们揭示了影响PTTG基因表达的调控机制。探索PTTG家族对LUAD患者生存的影响,证明了它们与不良结局的关联,强调了它们与预后的潜在相关性。此外,功能分析表明,PTTG1和PTTG2基因的敲低导致A549和H1975 LUAD细胞的细胞增殖、集落形成和细胞迁移能力降低。此外,我们的研究扩展到治疗途径,我们在DrugBank数据库中确定了骨化三醇作为下调PTTG基因的潜在药物。分子对接分析揭示了骨化三醇与PTTG1/PTTG2蛋白之间的强相互作用,为进一步探索骨化三醇治疗LUAD奠定了基础。结论:总之,本研究有助于全面了解PTTG家族与LUAD的关系,阐明其诊断、预后和治疗意义。
本文章由计算机程序翻译,如有差异,请以英文原文为准。
求助全文
约1分钟内获得全文 求助全文
来源期刊
Hereditas
Hereditas Biochemistry, Genetics and Molecular Biology-Genetics
CiteScore
3.80
自引率
3.70%
发文量
0
期刊介绍: For almost a century, Hereditas has published original cutting-edge research and reviews. As the Official journal of the Mendelian Society of Lund, the journal welcomes research from across all areas of genetics and genomics. Topics of interest include human and medical genetics, animal and plant genetics, microbial genetics, agriculture and bioinformatics.
×
引用
GB/T 7714-2015
复制
MLA
复制
APA
复制
导出至
BibTeX EndNote RefMan NoteFirst NoteExpress
×
提示
您的信息不完整,为了账户安全,请先补充。
现在去补充
×
提示
您因"违规操作"
具体请查看互助需知
我知道了
×
提示
确定
请完成安全验证×
copy
已复制链接
快去分享给好友吧!
我知道了
右上角分享
点击右上角分享
0
联系我们:info@booksci.cn Book学术提供免费学术资源搜索服务,方便国内外学者检索中英文文献。致力于提供最便捷和优质的服务体验。 Copyright © 2023 布克学术 All rights reserved.
京ICP备2023020795号-1
ghs 京公网安备 11010802042870号
Book学术文献互助
Book学术文献互助群
群 号:604180095
Book学术官方微信