Modelling the melting of DNA oligomers with non-inert dangling ends.

IF 3.9 3区 生物学 Q2 BIOCHEMISTRY & MOLECULAR BIOLOGY
Frontiers in Molecular Biosciences Pub Date : 2025-08-13 eCollection Date: 2025-01-01 DOI:10.3389/fmolb.2025.1646428
Alejandro Soto, Francesco Mambretti, Emanuele Locatelli, Iliya D Stoev
{"title":"Modelling the melting of DNA oligomers with non-inert dangling ends.","authors":"Alejandro Soto, Francesco Mambretti, Emanuele Locatelli, Iliya D Stoev","doi":"10.3389/fmolb.2025.1646428","DOIUrl":null,"url":null,"abstract":"<p><p>In this work, we investigate the dependence of the melting temperature of low-valency DNA constructs on the length of non-inert dangling ends, controlling their sequence composition. We compare two computational models to evaluate their effectiveness and limitations in predicting the melting behavior of DNA oligomers (bivalent linkers) and more complex structures (trivalent nanostars), benchmarking the results against experimental spectroscopic data. Our results suggest that the length of non-inert dangling ends has minimal impact on the melting point of the DNA duplex for the duplexes we studied, informing the future design of DNA supramolecular constructs.</p>","PeriodicalId":12465,"journal":{"name":"Frontiers in Molecular Biosciences","volume":"12 ","pages":"1646428"},"PeriodicalIF":3.9000,"publicationDate":"2025-08-13","publicationTypes":"Journal Article","fieldsOfStudy":null,"isOpenAccess":false,"openAccessPdf":"https://www.ncbi.nlm.nih.gov/pmc/articles/PMC12380575/pdf/","citationCount":"0","resultStr":null,"platform":"Semanticscholar","paperid":null,"PeriodicalName":"Frontiers in Molecular Biosciences","FirstCategoryId":"99","ListUrlMain":"https://doi.org/10.3389/fmolb.2025.1646428","RegionNum":3,"RegionCategory":"生物学","ArticlePicture":[],"TitleCN":null,"AbstractTextCN":null,"PMCID":null,"EPubDate":"2025/1/1 0:00:00","PubModel":"eCollection","JCR":"Q2","JCRName":"BIOCHEMISTRY & MOLECULAR BIOLOGY","Score":null,"Total":0}
引用次数: 0

Abstract

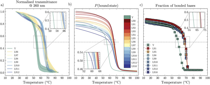
In this work, we investigate the dependence of the melting temperature of low-valency DNA constructs on the length of non-inert dangling ends, controlling their sequence composition. We compare two computational models to evaluate their effectiveness and limitations in predicting the melting behavior of DNA oligomers (bivalent linkers) and more complex structures (trivalent nanostars), benchmarking the results against experimental spectroscopic data. Our results suggest that the length of non-inert dangling ends has minimal impact on the melting point of the DNA duplex for the duplexes we studied, informing the future design of DNA supramolecular constructs.

Abstract Image

Abstract Image

Abstract Image

模拟DNA低聚物与非惰性悬垂末端的融化。
在这项工作中,我们研究了低价DNA结构体的熔化温度对非惰性悬垂末端长度的依赖,控制了它们的序列组成。我们比较了两种计算模型,以评估它们在预测DNA低聚物(二价连接体)和更复杂结构(三价纳米星)的熔化行为方面的有效性和局限性,并将结果与实验光谱数据进行了比较。我们的研究结果表明,非惰性悬垂末端的长度对我们研究的DNA双链的熔点影响最小,为DNA超分子结构的未来设计提供了信息。
本文章由计算机程序翻译,如有差异,请以英文原文为准。
求助全文
约1分钟内获得全文 求助全文
来源期刊
Frontiers in Molecular Biosciences
Frontiers in Molecular Biosciences Biochemistry, Genetics and Molecular Biology-Biochemistry
CiteScore
7.20
自引率
4.00%
发文量
1361
审稿时长
14 weeks
期刊介绍: Much of contemporary investigation in the life sciences is devoted to the molecular-scale understanding of the relationships between genes and the environment — in particular, dynamic alterations in the levels, modifications, and interactions of cellular effectors, including proteins. Frontiers in Molecular Biosciences offers an international publication platform for basic as well as applied research; we encourage contributions spanning both established and emerging areas of biology. To this end, the journal draws from empirical disciplines such as structural biology, enzymology, biochemistry, and biophysics, capitalizing as well on the technological advancements that have enabled metabolomics and proteomics measurements in massively parallel throughput, and the development of robust and innovative computational biology strategies. We also recognize influences from medicine and technology, welcoming studies in molecular genetics, molecular diagnostics and therapeutics, and nanotechnology. Our ultimate objective is the comprehensive illustration of the molecular mechanisms regulating proteins, nucleic acids, carbohydrates, lipids, and small metabolites in organisms across all branches of life. In addition to interesting new findings, techniques, and applications, Frontiers in Molecular Biosciences will consider new testable hypotheses to inspire different perspectives and stimulate scientific dialogue. The integration of in silico, in vitro, and in vivo approaches will benefit endeavors across all domains of the life sciences.
×
引用
GB/T 7714-2015
复制
MLA
复制
APA
复制
导出至
BibTeX EndNote RefMan NoteFirst NoteExpress
×
提示
您的信息不完整,为了账户安全,请先补充。
现在去补充
×
提示
您因"违规操作"
具体请查看互助需知
我知道了
×
提示
确定
请完成安全验证×
copy
已复制链接
快去分享给好友吧!
我知道了
右上角分享
点击右上角分享
0
联系我们:info@booksci.cn Book学术提供免费学术资源搜索服务,方便国内外学者检索中英文文献。致力于提供最便捷和优质的服务体验。 Copyright © 2023 布克学术 All rights reserved.
京ICP备2023020795号-1
ghs 京公网安备 11010802042870号
Book学术文献互助
Book学术文献互助群
群 号:604180095
Book学术官方微信