Phoretic mite communities associated with Ips typographus and Ips duplicatus (Coleoptera: Scolytinae) in a Norway Spruce stand.

IF 1.7 2区 农林科学 Q2 ENTOMOLOGY
Dragoș Toma, Gabriela Isaia, Minodora Manu, Dieter Carol Simon
{"title":"Phoretic mite communities associated with Ips typographus and Ips duplicatus (Coleoptera: Scolytinae) in a Norway Spruce stand.","authors":"Dragoș Toma, Gabriela Isaia, Minodora Manu, Dieter Carol Simon","doi":"10.1007/s10493-025-01053-3","DOIUrl":null,"url":null,"abstract":"<p><p>European spruce bark beetle Ips typographus (Linnaeus 1758) (Scolytinae) is considered the most destructive and aggressive pest of Norway spruce in Europe. Recently, Ips duplicatus (Sahlberg 1836) (Scolytinae), another species of bark beetle, that also affects Picea trees, has expanded its range westwards in Europe. In spruce stands, bark beetle populations are closely associated with various organisms such as fungi, nematodes, and mites. While phoretic mites and their relationship with I. typographus have been extensively studied in Europe, only single study has focused on the populations of phoretic mites associated with I. duplicatus. The aim of this study is to analyze and document the communities of phoretic mites and their complex relationships with these two bark beetles species. The research was conducted in a stand located at the lower limit of spruce, where the two pest species have developed outbreaks together. Over 50,000 beetles were collected using wing-type pheromone traps, of which 4,348 were analyzed for the determination of phoretic mites (2,413 I. typographus; 1,935 I. duplicatus). In total, nine species of phoretic mites were identified, of which only six were found on Ips duplicatus. Among the nine species, Dendrolaelaps disetus Hirschmann, 1960 (Digamasellidae), Elattoma sp. (Pygmephoridae), and Paraleius leontonychus Berlese, 1910 (Oribatulidae) are reported for the first time in Romania. The results showed that although Ips typographus beetles carried significantly more phoretic mites than Ips duplicatus throughout the entire flight period, both species exhibited similar peaks in phoresy rate. ONE-WAY PERMANOVA test revealed significant differences between the two phoretic mite communities, differences also highlighted by diversity indices. These differences are most likely due to the presence of certain mite species only on I. typographus beetles, as well as differences between the populations of common species. The phoretic attachment location on host beetles varied across mite and host beetle species.</p>","PeriodicalId":12088,"journal":{"name":"Experimental and Applied Acarology","volume":"95 3","pages":"35"},"PeriodicalIF":1.7000,"publicationDate":"2025-08-25","publicationTypes":"Journal Article","fieldsOfStudy":null,"isOpenAccess":false,"openAccessPdf":"https://www.ncbi.nlm.nih.gov/pmc/articles/PMC12378774/pdf/","citationCount":"0","resultStr":null,"platform":"Semanticscholar","paperid":null,"PeriodicalName":"Experimental and Applied Acarology","FirstCategoryId":"97","ListUrlMain":"https://doi.org/10.1007/s10493-025-01053-3","RegionNum":2,"RegionCategory":"农林科学","ArticlePicture":[],"TitleCN":null,"AbstractTextCN":null,"PMCID":null,"EPubDate":"","PubModel":"","JCR":"Q2","JCRName":"ENTOMOLOGY","Score":null,"Total":0}
引用次数: 0

Abstract

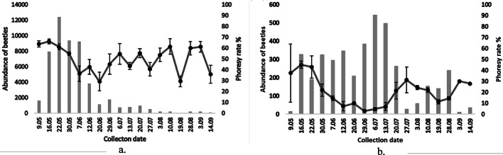
European spruce bark beetle Ips typographus (Linnaeus 1758) (Scolytinae) is considered the most destructive and aggressive pest of Norway spruce in Europe. Recently, Ips duplicatus (Sahlberg 1836) (Scolytinae), another species of bark beetle, that also affects Picea trees, has expanded its range westwards in Europe. In spruce stands, bark beetle populations are closely associated with various organisms such as fungi, nematodes, and mites. While phoretic mites and their relationship with I. typographus have been extensively studied in Europe, only single study has focused on the populations of phoretic mites associated with I. duplicatus. The aim of this study is to analyze and document the communities of phoretic mites and their complex relationships with these two bark beetles species. The research was conducted in a stand located at the lower limit of spruce, where the two pest species have developed outbreaks together. Over 50,000 beetles were collected using wing-type pheromone traps, of which 4,348 were analyzed for the determination of phoretic mites (2,413 I. typographus; 1,935 I. duplicatus). In total, nine species of phoretic mites were identified, of which only six were found on Ips duplicatus. Among the nine species, Dendrolaelaps disetus Hirschmann, 1960 (Digamasellidae), Elattoma sp. (Pygmephoridae), and Paraleius leontonychus Berlese, 1910 (Oribatulidae) are reported for the first time in Romania. The results showed that although Ips typographus beetles carried significantly more phoretic mites than Ips duplicatus throughout the entire flight period, both species exhibited similar peaks in phoresy rate. ONE-WAY PERMANOVA test revealed significant differences between the two phoretic mite communities, differences also highlighted by diversity indices. These differences are most likely due to the presence of certain mite species only on I. typographus beetles, as well as differences between the populations of common species. The phoretic attachment location on host beetles varied across mite and host beetle species.

Abstract Image

Abstract Image

Abstract Image

挪威云杉林分中与印型Ips和双面Ips相关的翅螨群落(鞘翅目:鞘翅科)
欧洲云杉树皮甲虫(Linnaeus 1758)被认为是欧洲挪威云杉最具破坏性和侵略性的害虫。最近,另一种树皮甲虫Ips duplicatus (Sahlberg 1836) (Scolytinae),也影响云杉树,已扩大其范围向西在欧洲。在云杉林中,树皮甲虫种群与真菌、线虫和螨虫等各种生物密切相关。虽然在欧洲已经广泛地研究了传螨及其与印图伊螨的关系,但只有一项研究集中在与重复伊螨相关的传螨种群上。本研究的目的是分析和记录棘螨的群落及其与这两种树皮甲虫的复杂关系。这项研究是在位于云杉下限的一个林分进行的,在那里两种害虫已经一起爆发。利用翅型信息素诱捕器共采集甲虫5万余只,其中有4348只被鉴定为吸螨(2413只为印螨,1935只为重复螨)。共鉴定出蜱螨9种,其中在双面Ips上仅发现6种。其中,在罗马尼亚首次报道的有Dendrolaelaps disetus Hirschmann, 1960 (Digamasellidae), Elattoma sp. (Pygmephoridae)和leontonychus Berlese, 1910 (Oribatulidae)。结果表明,虽然在整个飞行过程中,印屏Ips携带的孢子螨数量明显多于二重Ips,但两种昆虫的孢子率峰值相似。单向PERMANOVA检验结果显示,两种群间存在显著性差异,多样性指数也体现了差异。这些差异很可能是由于某些螨种只存在于印字甲上,以及常见物种种群之间的差异。螨虫和寄主甲虫的触角附着位置在不同种类的螨虫和寄主甲虫上存在差异。
本文章由计算机程序翻译,如有差异,请以英文原文为准。
求助全文
约1分钟内获得全文 求助全文
来源期刊
CiteScore
3.90
自引率
9.10%
发文量
81
审稿时长
4-8 weeks
期刊介绍: Experimental and Applied Acarology publishes peer-reviewed original papers describing advances in basic and applied research on mites and ticks. Coverage encompasses all Acari, including those of environmental, agricultural, medical and veterinary importance, and all the ways in which they interact with other organisms (plants, arthropods and other animals). The subject matter draws upon a wide variety of disciplines, including evolutionary biology, ecology, epidemiology, physiology, biochemistry, toxicology, immunology, genetics, molecular biology and pest management sciences.
×
引用
GB/T 7714-2015
复制
MLA
复制
APA
复制
导出至
BibTeX EndNote RefMan NoteFirst NoteExpress
×
提示
您的信息不完整,为了账户安全,请先补充。
现在去补充
×
提示
您因"违规操作"
具体请查看互助需知
我知道了
×
提示
确定
请完成安全验证×
copy
已复制链接
快去分享给好友吧!
我知道了
右上角分享
点击右上角分享
0
联系我们:info@booksci.cn Book学术提供免费学术资源搜索服务,方便国内外学者检索中英文文献。致力于提供最便捷和优质的服务体验。 Copyright © 2023 布克学术 All rights reserved.
京ICP备2023020795号-1
ghs 京公网安备 11010802042870号
Book学术文献互助
Book学术文献互助群
群 号:604180095
Book学术官方微信