Supporting those bereaved by cancer: a service evaluation and investigation of cognitive behavioural mechanisms in the treatment of prolonged grief.

IF 4.1 2区 医学 Q1 PSYCHIATRY
Kirsten V Smith, Graham R Thew, Sarah C Carr, Paris R Congrave, Susie Rudge, Erin H Thompson
{"title":"Supporting those bereaved by cancer: a service evaluation and investigation of cognitive behavioural mechanisms in the treatment of prolonged grief.","authors":"Kirsten V Smith, Graham R Thew, Sarah C Carr, Paris R Congrave, Susie Rudge, Erin H Thompson","doi":"10.1080/20008066.2025.2545144","DOIUrl":null,"url":null,"abstract":"<p><p><b>Background:</b> Individuals bereaved by cancer face significant emotional challenges, often experiencing prolonged grief disorder (PGD), PTSD, depression, and anxiety. Effective interventions are needed to target these mental health problems. This study evaluates the outcomes of the specialist bereavement charity, The Loss Foundation's therapeutic group intervention designed for individuals grieving a cancer-related loss.<b>Methods:</b> A total of 68 participants, enrolled across five cohorts, received a short-term group intervention targeting cognitive-behavioural factors and self-compassion. Due to recruitment limitations, randomized analyses were underpowered, therefore a broader service evaluation was performed, combining data from 2016 and 2018 cohorts. The primary outcome was PGD symptoms measured by the PG-13, with secondary outcomes examining PTSD, depression, anxiety, and self-compassion. Process measures were memory characteristics, grief appraisals, maladaptive coping strategies, and social disconnection. Data were analysed using linear mixed-effects models.<b>Results:</b> Significant reductions were observed in symptoms of PGD (<i>d</i> = 0.65 at 3-month follow-up), PTSD, depression, and anxiety, with improvements in self-compassion (<i>d</i> = 0.53). Cognitive-behavioural process measures also showed significant changes, particularly in memory characteristics and negative appraisals, though social disconnection did not significantly change. Exploratory analyses indicated that lower baseline negative appraisals predicted better treatment outcomes. Attrition was minimal after the intervention began, though approximately 25% of participants did not provide follow-up data.<b>Conclusions:</b> The group intervention demonstrated positive effects on grief-related and mental health outcomes, supporting the use of cognitive-behavioural approaches in cancer bereavement. However, further randomized trials with larger samples are needed to confirm these findings and address limitations related to randomization and data completeness.</p>","PeriodicalId":12055,"journal":{"name":"European Journal of Psychotraumatology","volume":"16 1","pages":"2545144"},"PeriodicalIF":4.1000,"publicationDate":"2025-12-01","publicationTypes":"Journal Article","fieldsOfStudy":null,"isOpenAccess":false,"openAccessPdf":"https://www.ncbi.nlm.nih.gov/pmc/articles/PMC12406324/pdf/","citationCount":"0","resultStr":null,"platform":"Semanticscholar","paperid":null,"PeriodicalName":"European Journal of Psychotraumatology","FirstCategoryId":"3","ListUrlMain":"https://doi.org/10.1080/20008066.2025.2545144","RegionNum":2,"RegionCategory":"医学","ArticlePicture":[],"TitleCN":null,"AbstractTextCN":null,"PMCID":null,"EPubDate":"2025/9/2 0:00:00","PubModel":"Epub","JCR":"Q1","JCRName":"PSYCHIATRY","Score":null,"Total":0}
引用次数: 0

Abstract

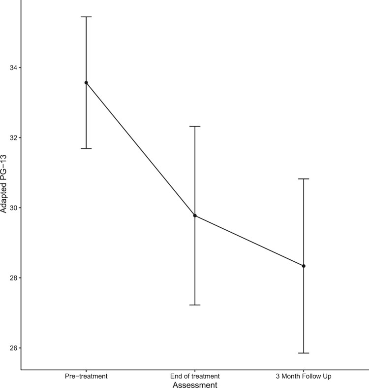
Background: Individuals bereaved by cancer face significant emotional challenges, often experiencing prolonged grief disorder (PGD), PTSD, depression, and anxiety. Effective interventions are needed to target these mental health problems. This study evaluates the outcomes of the specialist bereavement charity, The Loss Foundation's therapeutic group intervention designed for individuals grieving a cancer-related loss.Methods: A total of 68 participants, enrolled across five cohorts, received a short-term group intervention targeting cognitive-behavioural factors and self-compassion. Due to recruitment limitations, randomized analyses were underpowered, therefore a broader service evaluation was performed, combining data from 2016 and 2018 cohorts. The primary outcome was PGD symptoms measured by the PG-13, with secondary outcomes examining PTSD, depression, anxiety, and self-compassion. Process measures were memory characteristics, grief appraisals, maladaptive coping strategies, and social disconnection. Data were analysed using linear mixed-effects models.Results: Significant reductions were observed in symptoms of PGD (d = 0.65 at 3-month follow-up), PTSD, depression, and anxiety, with improvements in self-compassion (d = 0.53). Cognitive-behavioural process measures also showed significant changes, particularly in memory characteristics and negative appraisals, though social disconnection did not significantly change. Exploratory analyses indicated that lower baseline negative appraisals predicted better treatment outcomes. Attrition was minimal after the intervention began, though approximately 25% of participants did not provide follow-up data.Conclusions: The group intervention demonstrated positive effects on grief-related and mental health outcomes, supporting the use of cognitive-behavioural approaches in cancer bereavement. However, further randomized trials with larger samples are needed to confirm these findings and address limitations related to randomization and data completeness.

Abstract Image

Abstract Image

Abstract Image

支持那些因癌症而失去亲人:在治疗长期悲伤的认知行为机制的服务评估和调查。
背景:因癌症而失去亲人的个体面临着重大的情感挑战,经常经历长期的悲伤障碍(PGD)、创伤后应激障碍(PTSD)、抑郁和焦虑。需要针对这些心理健康问题采取有效的干预措施。这项研究评估了专门的丧亲慈善机构的结果,损失基金会为癌症相关损失的个人设计的治疗小组干预。方法:共有68名参与者,分为5个队列,接受针对认知行为因素和自我同情的短期群体干预。由于招募限制,随机分析的能力不足,因此结合2016年和2018年队列的数据进行了更广泛的服务评估。主要结果是由PG-13测量的PGD症状,次要结果是PTSD、抑郁、焦虑和自我同情。过程测量包括记忆特征、悲伤评估、适应不良应对策略和社会脱节。使用线性混合效应模型分析数据。结果:PGD(3个月随访时d = 0.65)、PTSD、抑郁和焦虑症状显著减轻,自我同情有所改善(d = 0.53)。认知行为过程测量也显示出显著的变化,尤其是在记忆特征和负面评价方面,尽管社会脱节没有显著变化。探索性分析表明,较低的基线负面评价预示着更好的治疗结果。尽管大约25%的参与者没有提供随访数据,但在干预开始后,减员是最小的。结论:小组干预对悲伤相关和心理健康结果显示出积极的影响,支持在癌症丧亲中使用认知行为方法。然而,需要更大样本的进一步随机试验来证实这些发现,并解决与随机化和数据完整性相关的局限性。
本文章由计算机程序翻译,如有差异,请以英文原文为准。
求助全文
约1分钟内获得全文 求助全文
来源期刊
CiteScore
7.60
自引率
12.00%
发文量
153
审稿时长
18 weeks
期刊介绍: The European Journal of Psychotraumatology (EJPT) is a peer-reviewed open access interdisciplinary journal owned by the European Society of Traumatic Stress Studies (ESTSS). The European Journal of Psychotraumatology (EJPT) aims to engage scholars, clinicians and researchers in the vital issues of how to understand, prevent and treat the consequences of stress and trauma, including but not limited to, posttraumatic stress disorder (PTSD), depressive disorders, substance abuse, burnout, and neurobiological or physical consequences, using the latest research or clinical experience in these areas. The journal shares ESTSS’ mission to advance and disseminate scientific knowledge about traumatic stress. Papers may address individual events, repeated or chronic (complex) trauma, large scale disasters, or violence. Being open access, the European Journal of Psychotraumatology is also evidence of ESTSS’ stand on free accessibility of research publications to a wider community via the web. The European Journal of Psychotraumatology seeks to attract contributions from academics and practitioners from diverse professional backgrounds, including, but not restricted to, those in mental health, social sciences, and health and welfare services. Contributions from outside Europe are welcome. The journal welcomes original basic and clinical research articles that consolidate and expand the theoretical and professional basis of the field of traumatic stress; Review articles including meta-analyses; short communications presenting new ideas or early-stage promising research; study protocols that describe proposed or ongoing research; case reports examining a single individual or event in a real‑life context; clinical practice papers sharing experience from the clinic; letters to the Editor debating articles already published in the Journal; inaugural Lectures; conference abstracts and book reviews. Both quantitative and qualitative research is welcome.
×
引用
GB/T 7714-2015
复制
MLA
复制
APA
复制
导出至
BibTeX EndNote RefMan NoteFirst NoteExpress
×
提示
您的信息不完整,为了账户安全,请先补充。
现在去补充
×
提示
您因"违规操作"
具体请查看互助需知
我知道了
×
提示
确定
请完成安全验证×
copy
已复制链接
快去分享给好友吧!
我知道了
右上角分享
点击右上角分享
0
联系我们:info@booksci.cn Book学术提供免费学术资源搜索服务,方便国内外学者检索中英文文献。致力于提供最便捷和优质的服务体验。 Copyright © 2023 布克学术 All rights reserved.
京ICP备2023020795号-1
ghs 京公网安备 11010802042870号
Book学术文献互助
Book学术文献互助群
群 号:604180095
Book学术官方微信