Structural transformation for BaBiO3-δ thin films grown on SrTiO3-buffered Si(001) induced by an in-situ molecular beam epitaxy cooldown process.

IF 9.6 Q1 MATERIALS SCIENCE, MULTIDISCIPLINARY
Communications Materials Pub Date : 2025-01-01 Epub Date: 2025-08-20 DOI:10.1038/s43246-025-00877-1
Islam Ahmed, Olivier Richard, Partrick Carolan, Marco Gambin, Luca Ceccon, Moloud Kaviani, Stefan De Gendt, Clement Merckling
{"title":"Structural transformation for BaBiO<sub>3-δ</sub> thin films grown on SrTiO<sub>3</sub>-buffered Si(001) induced by an in-situ molecular beam epitaxy cooldown process.","authors":"Islam Ahmed, Olivier Richard, Partrick Carolan, Marco Gambin, Luca Ceccon, Moloud Kaviani, Stefan De Gendt, Clement Merckling","doi":"10.1038/s43246-025-00877-1","DOIUrl":null,"url":null,"abstract":"<p><p>Oxygen loss is a common defect type in perovskites which is caused by a low oxygen background pressure during growth. BaBiO<sub>3-δ</sub> thin films are grown by molecular beam epitaxy on SrTiO<sub>3</sub>-buffered Si(001) substrates. Although activated oxygen is supplied during growth, large amount of oxygen vacancies is created in the thin film depending on the cooldown process. Perovskite structure is obtained when the cooldown process includes an extended period during which activated oxygen is supplied. Another way for inducing the structural transformation is enabled via an ex-situ anneal at molecular oxygen. The transformation into BaBiO<sub>3</sub> is manifested as reconstructed octahedra based on transmission electron microscopy, Raman spectroscopy, and photoluminescence. Additionally, smaller out-of-plane lattice constant is observed for the perovskite phase supported by X-ray diffraction. Thermal mismatch and multivalency-facilitated tensile strain exerted on the layers by the underlying Si substrates are presented as the driving force behind the creation of oxygen vacancies.</p>","PeriodicalId":10589,"journal":{"name":"Communications Materials","volume":"6 1","pages":"189"},"PeriodicalIF":9.6000,"publicationDate":"2025-01-01","publicationTypes":"Journal Article","fieldsOfStudy":null,"isOpenAccess":false,"openAccessPdf":"https://www.ncbi.nlm.nih.gov/pmc/articles/PMC12367523/pdf/","citationCount":"0","resultStr":null,"platform":"Semanticscholar","paperid":null,"PeriodicalName":"Communications Materials","FirstCategoryId":"1085","ListUrlMain":"https://doi.org/10.1038/s43246-025-00877-1","RegionNum":0,"RegionCategory":null,"ArticlePicture":[],"TitleCN":null,"AbstractTextCN":null,"PMCID":null,"EPubDate":"2025/8/20 0:00:00","PubModel":"Epub","JCR":"Q1","JCRName":"MATERIALS SCIENCE, MULTIDISCIPLINARY","Score":null,"Total":0}
引用次数: 0

Abstract

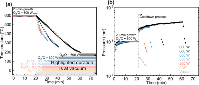
Oxygen loss is a common defect type in perovskites which is caused by a low oxygen background pressure during growth. BaBiO3-δ thin films are grown by molecular beam epitaxy on SrTiO3-buffered Si(001) substrates. Although activated oxygen is supplied during growth, large amount of oxygen vacancies is created in the thin film depending on the cooldown process. Perovskite structure is obtained when the cooldown process includes an extended period during which activated oxygen is supplied. Another way for inducing the structural transformation is enabled via an ex-situ anneal at molecular oxygen. The transformation into BaBiO3 is manifested as reconstructed octahedra based on transmission electron microscopy, Raman spectroscopy, and photoluminescence. Additionally, smaller out-of-plane lattice constant is observed for the perovskite phase supported by X-ray diffraction. Thermal mismatch and multivalency-facilitated tensile strain exerted on the layers by the underlying Si substrates are presented as the driving force behind the creation of oxygen vacancies.

Abstract Image

Abstract Image

Abstract Image

原位分子束外延冷却工艺诱导srtio3缓冲Si(001)上生长的BaBiO3-δ薄膜的结构转变
氧损失是钙钛矿中常见的缺陷类型,它是由生长过程中低氧背景压引起的。采用分子束外延的方法在srtio3缓冲的Si(001)衬底上生长了BaBiO3-δ薄膜。虽然在生长过程中提供了活性氧,但根据冷却过程,薄膜中会产生大量的氧空位。当冷却过程包括一段较长时间的活性氧供应时,获得钙钛矿结构。诱导结构转变的另一种方法是通过分子氧的非原位退火实现的。通过透射电子显微镜、拉曼光谱和光致发光的分析,发现其转化为重组的八面体。此外,x射线衍射观察到钙钛矿相的面外晶格常数较小。热失配和由Si衬底施加在层上的多价促进的拉伸应变被认为是产生氧空位的驱动力。
本文章由计算机程序翻译,如有差异,请以英文原文为准。
求助全文
约1分钟内获得全文 求助全文
来源期刊
Communications Materials
Communications Materials MATERIALS SCIENCE, MULTIDISCIPLINARY-
CiteScore
12.10
自引率
1.30%
发文量
85
审稿时长
17 weeks
期刊介绍: Communications Materials, a selective open access journal within Nature Portfolio, is dedicated to publishing top-tier research, reviews, and commentary across all facets of materials science. The journal showcases significant advancements in specialized research areas, encompassing both fundamental and applied studies. Serving as an open access option for materials sciences, Communications Materials applies less stringent criteria for impact and significance compared to Nature-branded journals, including Nature Communications.
×
引用
GB/T 7714-2015
复制
MLA
复制
APA
复制
导出至
BibTeX EndNote RefMan NoteFirst NoteExpress
×
提示
您的信息不完整,为了账户安全,请先补充。
现在去补充
×
提示
您因"违规操作"
具体请查看互助需知
我知道了
×
提示
确定
请完成安全验证×
copy
已复制链接
快去分享给好友吧!
我知道了
右上角分享
点击右上角分享
0
联系我们:info@booksci.cn Book学术提供免费学术资源搜索服务,方便国内外学者检索中英文文献。致力于提供最便捷和优质的服务体验。 Copyright © 2023 布克学术 All rights reserved.
京ICP备2023020795号-1
ghs 京公网安备 11010802042870号
Book学术文献互助
Book学术文献互助群
群 号:604180095
Book学术官方微信