A novel prognostic signature integrating disulfidptosis- and ferroptosis-related genes in acute myeloid leukemia.

IF 3.5 4区 医学 Q2 MEDICINE, RESEARCH & EXPERIMENTAL
Huihui Jiang, Li Liang, Tingting Liu, Zhe Zhao, Nana Wang, Jingtao Wang, Yuanyuan Hu, Dongmei Wang, Jingjing Ye, Fei Lu, Chunyan Ji
{"title":"A novel prognostic signature integrating disulfidptosis- and ferroptosis-related genes in acute myeloid leukemia.","authors":"Huihui Jiang, Li Liang, Tingting Liu, Zhe Zhao, Nana Wang, Jingtao Wang, Yuanyuan Hu, Dongmei Wang, Jingjing Ye, Fei Lu, Chunyan Ji","doi":"10.1007/s10238-025-01670-7","DOIUrl":null,"url":null,"abstract":"<p><p>Acute myeloid leukemia is a highly heterogeneous hematopoietic malignancy, and we constructed a prognostic signature combining disulfidptosis-related genes and ferroptosis-related genes to predict the prognosis, immunotherapy response, and drug sensitivity of acute myeloid leukemia (AML) patients. The TCGA-LAML datasets underwent random partitioning into training and validation sets. Subsequently, a prognostic risk signature was formulated using the least absolute shrinkage and selection operator algorithm. Kaplan-Meier survival analysis and receiver operating characteristic curve analysis were employed to assess the clinical significance of the signature. The results of the immune infiltration difference analyses are displayed, and the drug sensitivity analyses were used to identify potentially effective drugs for AML patients. qPCR was employed to validate the expression levels of the signature genes and compared the signature with existing signatures and mutated genes. Univariate and multivariate Cox regression analyses have underscored the signature as an autonomous prognostic risk determinant. Scrutiny into immune infiltration has unveiled significant associations: the risk score exhibits a favorable correlation with monocyte and M2 macrophage counts but an adverse correlation with resting mast cell counts. The expression patterns of immune checkpoint genes diverge between the distinct risk cohorts. Patients categorized as high-risk demonstrate enhanced benefits from cyclopamine, 443654, and 770041, whereas those classified as low-risk exhibit more pronounced advantages from cytarabine and AZD6244. The risk signature demonstrates superior prognostic accuracy compared to established signatures and mutated genes. In summary, our study may provide potential prognostic biomarkers and individualized precision therapy for AML patients.</p>","PeriodicalId":10337,"journal":{"name":"Clinical and Experimental Medicine","volume":"25 1","pages":"303"},"PeriodicalIF":3.5000,"publicationDate":"2025-08-25","publicationTypes":"Journal Article","fieldsOfStudy":null,"isOpenAccess":false,"openAccessPdf":"https://www.ncbi.nlm.nih.gov/pmc/articles/PMC12378281/pdf/","citationCount":"0","resultStr":null,"platform":"Semanticscholar","paperid":null,"PeriodicalName":"Clinical and Experimental Medicine","FirstCategoryId":"3","ListUrlMain":"https://doi.org/10.1007/s10238-025-01670-7","RegionNum":4,"RegionCategory":"医学","ArticlePicture":[],"TitleCN":null,"AbstractTextCN":null,"PMCID":null,"EPubDate":"","PubModel":"","JCR":"Q2","JCRName":"MEDICINE, RESEARCH & EXPERIMENTAL","Score":null,"Total":0}
引用次数: 0

Abstract

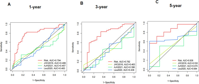
Acute myeloid leukemia is a highly heterogeneous hematopoietic malignancy, and we constructed a prognostic signature combining disulfidptosis-related genes and ferroptosis-related genes to predict the prognosis, immunotherapy response, and drug sensitivity of acute myeloid leukemia (AML) patients. The TCGA-LAML datasets underwent random partitioning into training and validation sets. Subsequently, a prognostic risk signature was formulated using the least absolute shrinkage and selection operator algorithm. Kaplan-Meier survival analysis and receiver operating characteristic curve analysis were employed to assess the clinical significance of the signature. The results of the immune infiltration difference analyses are displayed, and the drug sensitivity analyses were used to identify potentially effective drugs for AML patients. qPCR was employed to validate the expression levels of the signature genes and compared the signature with existing signatures and mutated genes. Univariate and multivariate Cox regression analyses have underscored the signature as an autonomous prognostic risk determinant. Scrutiny into immune infiltration has unveiled significant associations: the risk score exhibits a favorable correlation with monocyte and M2 macrophage counts but an adverse correlation with resting mast cell counts. The expression patterns of immune checkpoint genes diverge between the distinct risk cohorts. Patients categorized as high-risk demonstrate enhanced benefits from cyclopamine, 443654, and 770041, whereas those classified as low-risk exhibit more pronounced advantages from cytarabine and AZD6244. The risk signature demonstrates superior prognostic accuracy compared to established signatures and mutated genes. In summary, our study may provide potential prognostic biomarkers and individualized precision therapy for AML patients.

Abstract Image

Abstract Image

Abstract Image

在急性髓系白血病中整合二硫磷酸酶和铁磷酸酶相关基因的一种新的预后特征。
急性髓系白血病是一种高度异质性的造血恶性肿瘤,我们构建了一种结合二硫脱磷相关基因和嗜铁脱磷相关基因的预后标记,以预测急性髓系白血病(AML)患者的预后、免疫治疗反应和药物敏感性。将TCGA-LAML数据集随机划分为训练集和验证集。随后,使用最小绝对收缩和选择算子算法制定了预后风险签名。采用Kaplan-Meier生存分析和受试者工作特征曲线分析评估该特征的临床意义。显示免疫浸润差异分析结果,并通过药物敏感性分析确定AML患者可能有效的药物。采用qPCR验证签名基因的表达水平,并将签名与现有签名和突变基因进行比较。单变量和多变量Cox回归分析强调了签名作为自主预后风险决定因素。对免疫浸润的仔细研究揭示了显著相关性:风险评分与单核细胞和M2巨噬细胞计数呈正相关,而与静息肥大细胞计数呈负相关。免疫检查点基因的表达模式在不同的风险队列之间存在差异。高风险患者接受环巴胺、443654和770041治疗的获益更大,而低风险患者接受阿糖胞苷和AZD6244治疗的获益更明显。与已建立的特征和突变基因相比,风险特征显示出更高的预后准确性。总之,我们的研究可能为AML患者提供潜在的预后生物标志物和个体化精确治疗。
本文章由计算机程序翻译,如有差异,请以英文原文为准。
求助全文
约1分钟内获得全文 求助全文
来源期刊
Clinical and Experimental Medicine
Clinical and Experimental Medicine 医学-医学:研究与实验
CiteScore
4.80
自引率
2.20%
发文量
159
审稿时长
2.5 months
期刊介绍: Clinical and Experimental Medicine (CEM) is a multidisciplinary journal that aims to be a forum of scientific excellence and information exchange in relation to the basic and clinical features of the following fields: hematology, onco-hematology, oncology, virology, immunology, and rheumatology. The journal publishes reviews and editorials, experimental and preclinical studies, translational research, prospectively designed clinical trials, and epidemiological studies. Papers containing new clinical or experimental data that are likely to contribute to changes in clinical practice or the way in which a disease is thought about will be given priority due to their immediate importance. Case reports will be accepted on an exceptional basis only, and their submission is discouraged. The major criteria for publication are clarity, scientific soundness, and advances in knowledge. In compliance with the overwhelmingly prevailing request by the international scientific community, and with respect for eco-compatibility issues, CEM is now published exclusively online.
×
引用
GB/T 7714-2015
复制
MLA
复制
APA
复制
导出至
BibTeX EndNote RefMan NoteFirst NoteExpress
×
提示
您的信息不完整,为了账户安全,请先补充。
现在去补充
×
提示
您因"违规操作"
具体请查看互助需知
我知道了
×
提示
确定
请完成安全验证×
copy
已复制链接
快去分享给好友吧!
我知道了
右上角分享
点击右上角分享
0
联系我们:info@booksci.cn Book学术提供免费学术资源搜索服务,方便国内外学者检索中英文文献。致力于提供最便捷和优质的服务体验。 Copyright © 2023 布克学术 All rights reserved.
京ICP备2023020795号-1
ghs 京公网安备 11010802042870号
Book学术文献互助
Book学术文献互助群
群 号:604180095
Book学术官方微信