Lipid metabolism-related inflammatory indices (LMIIs) and incident peripheral artery diseases (PAD) in patients with type 2 diabetes mellitus (T2DM): a multicohort study from China and the UK biobank.

IF 10.6 1区 医学 Q1 CARDIAC & CARDIOVASCULAR SYSTEMS
Yingying Wang, Qijing Jiang, Xiaoyan Li, Bichen Ren, Bingzhe Li, Hao Li, Yuan Fang, Zhihui Dong, Lihong Huang
{"title":"Lipid metabolism-related inflammatory indices (LMIIs) and incident peripheral artery diseases (PAD) in patients with type 2 diabetes mellitus (T2DM): a multicohort study from China and the UK biobank.","authors":"Yingying Wang, Qijing Jiang, Xiaoyan Li, Bichen Ren, Bingzhe Li, Hao Li, Yuan Fang, Zhihui Dong, Lihong Huang","doi":"10.1186/s12933-025-02887-2","DOIUrl":null,"url":null,"abstract":"<p><strong>Background: </strong>Lipid metabolism-related inflammatory indices (LMIIs) have been recognized as potential biomarkers for the risks of atherosclerosis and major adverse cardiovascular events. This study aims to explore the associations of LMIIs, including neutrophil to high-density lipoprotein cholesterol ratio (NHR), monocyte to high-density lipoprotein cholesterol ratio (MHR), platelet to high-density lipoprotein cholesterol ratio (PHR), and lymphocyte to high-density lipoprotein cholesterol ratio (LHR), with the risk of incident peripheral artery disease (PAD) in elderly T2DM patients.</p><p><strong>Methods: </strong>A total of 2837 participants aged ≥ 60 years with T2DM from the Jinshan Cohort (China) and 13,542 participants from the UK Biobank (UK) were included in the primary analyses. According to the type of outcome variables, logistic regression models and Cox proportional-hazards models were used to estimate the risks of incident PAD associated with LMIIs. The methods of generalized propensity score (GPS), E-value and negative control exposure (NCE) were applied to control the potential confounding. Additionally, stratified analyses were performed across various populations to examine potential heterogeneity in the effects of LMIIs on PAD risk. Mediation effects of liver and kidney function-related indicators on associations between LMIIs and incident PAD were also explored.</p><p><strong>Results: </strong>The results from traditional regression models suggested positive associations of incident PAD with all four LMIIs. In the Jinshan Cohort, the odds ratios (ORs) and 95% confidence intervals (CIs) of PAD for one-unit increase in NHR (10<sup>9</sup> mmol), MHR (10<sup>8</sup> mmol), PHR (10<sup>11</sup> mmol) and LHR (10<sup>9</sup> mmol) were 1.24 (1.11-1.39), 1.22 (1.08-1.37), 1.69 (1.32-2.15) and 1.57 (1.22-2.01), respectively. While in the UK Biobank, the corresponding hazard ratios (HRs) and 95%CI were 1.14 (1.10-1.18), 1.03 (1.01-1.04), 1.19 (1.09-1.29) and 1.11 (1.07-1.14), respectively, These associations remained robust in regression models weighted by GPS methods. The E-values for the effects of each LMII on PAD were consistently found to be significantly larger than their corresponding observed effects in both cohorts. NCE analyses revealed no statistically significant associations between any selected NCE and PAD in either cohort. On calibration using NCEs, the calibrated P values confirmed significant effect sizes for associations between LMIIs and incident PAD (all for P < 0.05). Additionally, subgroup analyses in the Jinshan Cohort showed different associations varied across sex, residential area, smoking status and HbA1c level, with pronounced HRs in females, urban residents, smokers and individuals with HbA1c ≥ 7%. Findings from the UK Biobank further suggested that aspirin use and HbA1c level may modify the effects of LMIIs on PAD risk (P-interaction < 0.05). Mediation analyses indicated that estimated glomerular filtration rate (eGFR) mediated the relationships between LMIIs and PAD. The proportion of the mediating effects ranged from 10.03% to 19.95% in the Jinshan Cohort and from 10.20 to 20.80% in the UK Biobank.</p><p><strong>Conclusions: </strong>Elevated levels of LMIIs, such as NHR, MHR, PHR and LHR, were associated with an increased risk of incident PAD among elderly diabetic patients. These associations exhibited notable population heterogeneity, with stronger effects observed in females and individuals with higher HbA1c level. eGFR may serve as a mediating factor in the associations between LMIIs and the occurrence of PAD. These findings provide novel evidence for immune inflammation-based risk assessment and personalized preventive strategies for PAD.</p>","PeriodicalId":9374,"journal":{"name":"Cardiovascular Diabetology","volume":"24 1","pages":"346"},"PeriodicalIF":10.6000,"publicationDate":"2025-08-22","publicationTypes":"Journal Article","fieldsOfStudy":null,"isOpenAccess":false,"openAccessPdf":"https://www.ncbi.nlm.nih.gov/pmc/articles/PMC12372194/pdf/","citationCount":"0","resultStr":null,"platform":"Semanticscholar","paperid":null,"PeriodicalName":"Cardiovascular Diabetology","FirstCategoryId":"3","ListUrlMain":"https://doi.org/10.1186/s12933-025-02887-2","RegionNum":1,"RegionCategory":"医学","ArticlePicture":[],"TitleCN":null,"AbstractTextCN":null,"PMCID":null,"EPubDate":"","PubModel":"","JCR":"Q1","JCRName":"CARDIAC & CARDIOVASCULAR SYSTEMS","Score":null,"Total":0}
引用次数: 0

Abstract

Background: Lipid metabolism-related inflammatory indices (LMIIs) have been recognized as potential biomarkers for the risks of atherosclerosis and major adverse cardiovascular events. This study aims to explore the associations of LMIIs, including neutrophil to high-density lipoprotein cholesterol ratio (NHR), monocyte to high-density lipoprotein cholesterol ratio (MHR), platelet to high-density lipoprotein cholesterol ratio (PHR), and lymphocyte to high-density lipoprotein cholesterol ratio (LHR), with the risk of incident peripheral artery disease (PAD) in elderly T2DM patients.

Methods: A total of 2837 participants aged ≥ 60 years with T2DM from the Jinshan Cohort (China) and 13,542 participants from the UK Biobank (UK) were included in the primary analyses. According to the type of outcome variables, logistic regression models and Cox proportional-hazards models were used to estimate the risks of incident PAD associated with LMIIs. The methods of generalized propensity score (GPS), E-value and negative control exposure (NCE) were applied to control the potential confounding. Additionally, stratified analyses were performed across various populations to examine potential heterogeneity in the effects of LMIIs on PAD risk. Mediation effects of liver and kidney function-related indicators on associations between LMIIs and incident PAD were also explored.

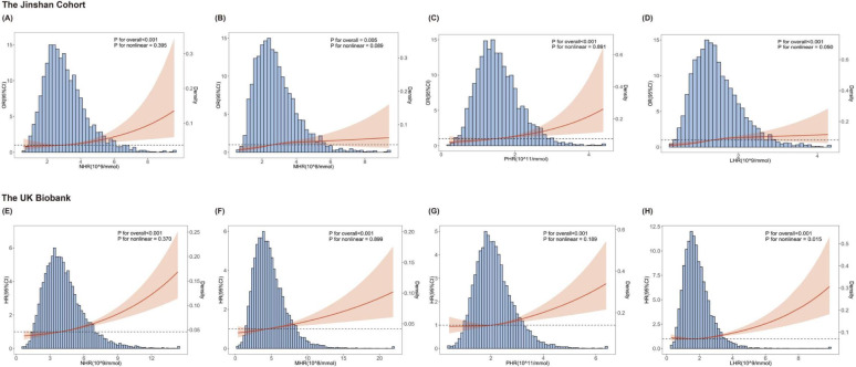
Results: The results from traditional regression models suggested positive associations of incident PAD with all four LMIIs. In the Jinshan Cohort, the odds ratios (ORs) and 95% confidence intervals (CIs) of PAD for one-unit increase in NHR (109 mmol), MHR (108 mmol), PHR (1011 mmol) and LHR (109 mmol) were 1.24 (1.11-1.39), 1.22 (1.08-1.37), 1.69 (1.32-2.15) and 1.57 (1.22-2.01), respectively. While in the UK Biobank, the corresponding hazard ratios (HRs) and 95%CI were 1.14 (1.10-1.18), 1.03 (1.01-1.04), 1.19 (1.09-1.29) and 1.11 (1.07-1.14), respectively, These associations remained robust in regression models weighted by GPS methods. The E-values for the effects of each LMII on PAD were consistently found to be significantly larger than their corresponding observed effects in both cohorts. NCE analyses revealed no statistically significant associations between any selected NCE and PAD in either cohort. On calibration using NCEs, the calibrated P values confirmed significant effect sizes for associations between LMIIs and incident PAD (all for P < 0.05). Additionally, subgroup analyses in the Jinshan Cohort showed different associations varied across sex, residential area, smoking status and HbA1c level, with pronounced HRs in females, urban residents, smokers and individuals with HbA1c ≥ 7%. Findings from the UK Biobank further suggested that aspirin use and HbA1c level may modify the effects of LMIIs on PAD risk (P-interaction < 0.05). Mediation analyses indicated that estimated glomerular filtration rate (eGFR) mediated the relationships between LMIIs and PAD. The proportion of the mediating effects ranged from 10.03% to 19.95% in the Jinshan Cohort and from 10.20 to 20.80% in the UK Biobank.

Conclusions: Elevated levels of LMIIs, such as NHR, MHR, PHR and LHR, were associated with an increased risk of incident PAD among elderly diabetic patients. These associations exhibited notable population heterogeneity, with stronger effects observed in females and individuals with higher HbA1c level. eGFR may serve as a mediating factor in the associations between LMIIs and the occurrence of PAD. These findings provide novel evidence for immune inflammation-based risk assessment and personalized preventive strategies for PAD.

Abstract Image

Abstract Image

Abstract Image

2型糖尿病(T2DM)患者脂质代谢相关炎症指数(LMIIs)和外周动脉疾病(PAD):一项来自中国和英国生物银行的多队列研究
背景:脂质代谢相关炎症指数(LMIIs)已被认为是动脉粥样硬化和主要不良心血管事件风险的潜在生物标志物。本研究旨在探讨老年T2DM患者LMIIs,包括中性粒细胞与高密度脂蛋白胆固醇比值(NHR)、单核细胞与高密度脂蛋白胆固醇比值(MHR)、血小板与高密度脂蛋白胆固醇比值(PHR)、淋巴细胞与高密度脂蛋白胆固醇比值(LHR)与外周动脉病变(PAD)发生风险的关系。方法:共纳入来自金山队列(中国)的2837名年龄≥60岁的T2DM患者和来自UK Biobank(英国)的13542名患者进行初步分析。根据结果变量的类型,采用logistic回归模型和Cox比例风险模型估计与lmii相关的PAD事件的风险。应用广义倾向评分(GPS)、e值和负对照暴露(NCE)方法控制潜在混杂。此外,在不同人群中进行分层分析,以检查lmii对PAD风险影响的潜在异质性。并探讨肝肾功能相关指标在LMIIs与PAD发病之间的中介作用。结果:传统回归模型的结果表明,PAD事件与所有四种lmii呈正相关。在金山队列中,PAD对NHR (109 mmol)、MHR (108 mmol)、PHR (1011 mmol)和LHR (109 mmol)增加1个单位的比值比(ORs)和95%可信区间(CIs)分别为1.24(1.11-1.39)、1.22(1.08-1.37)、1.69(1.32-2.15)和1.57(1.22-2.01)。而在UK Biobank中,相应的风险比(hr)和95%CI分别为1.14(1.10-1.18)、1.03(1.01-1.04)、1.19(1.09-1.29)和1.11(1.07-1.14),这些关联在GPS加权回归模型中仍然稳健。在两个队列中,每一种LMII对PAD的影响的e值都明显大于相应的观察到的影响。NCE分析显示,在两个队列中,任何选定的NCE和PAD之间没有统计学上显著的关联。在使用NCEs进行校准时,校准后的P值证实了LMIIs与PAD发生率之间的显著效应值(均为P)。结论:LMIIs水平升高,如NHR、MHR、PHR和LHR,与老年糖尿病患者PAD发生率增加相关。这些关联表现出显著的人群异质性,在女性和HbA1c水平较高的个体中观察到更强的影响。eGFR可能在LMIIs与PAD发生之间的关联中起中介作用。这些发现为基于免疫炎症的PAD风险评估和个性化预防策略提供了新的证据。
本文章由计算机程序翻译,如有差异,请以英文原文为准。
求助全文
约1分钟内获得全文 求助全文
来源期刊
Cardiovascular Diabetology
Cardiovascular Diabetology 医学-内分泌学与代谢
CiteScore
12.30
自引率
15.10%
发文量
240
审稿时长
1 months
期刊介绍: Cardiovascular Diabetology is a journal that welcomes manuscripts exploring various aspects of the relationship between diabetes, cardiovascular health, and the metabolic syndrome. We invite submissions related to clinical studies, genetic investigations, experimental research, pharmacological studies, epidemiological analyses, and molecular biology research in this field.
×
引用
GB/T 7714-2015
复制
MLA
复制
APA
复制
导出至
BibTeX EndNote RefMan NoteFirst NoteExpress
×
提示
您的信息不完整,为了账户安全,请先补充。
现在去补充
×
提示
您因"违规操作"
具体请查看互助需知
我知道了
×
提示
确定
请完成安全验证×
copy
已复制链接
快去分享给好友吧!
我知道了
右上角分享
点击右上角分享
0
联系我们:info@booksci.cn Book学术提供免费学术资源搜索服务,方便国内外学者检索中英文文献。致力于提供最便捷和优质的服务体验。 Copyright © 2023 布克学术 All rights reserved.
京ICP备2023020795号-1
ghs 京公网安备 11010802042870号
Book学术文献互助
Book学术文献互助群
群 号:604180095
Book学术官方微信