Breast cancer and microbiome: a systematic review highlighting challenges for clinical translation.

IF 2.7 3区 医学 Q2 OBSTETRICS & GYNECOLOGY
Chandrani Bose, Natalia Gontarczyk Uczkowski, Krishna Sukla, Nilixa Raval, Mohammed Monzoorul Haque, Yingting Zhang, Binuja Varma, Jaya M Satagopan
{"title":"Breast cancer and microbiome: a systematic review highlighting challenges for clinical translation.","authors":"Chandrani Bose, Natalia Gontarczyk Uczkowski, Krishna Sukla, Nilixa Raval, Mohammed Monzoorul Haque, Yingting Zhang, Binuja Varma, Jaya M Satagopan","doi":"10.1186/s12905-025-03843-8","DOIUrl":null,"url":null,"abstract":"<p><strong>Purpose: </strong>Breast cancer, the most common cancer in women worldwide, is linked to microbiome imbalances. This suggests the potential for microbiome-based breast cancer management. However, a comprehensive and reproducible understanding of the microbiome's role in breast cancer is lacking. We conducted a systematic literature review to explore microbiome signatures and specific genera associated with breast cancer development, subtypes, and outcomes.</p><p><strong>Methods: </strong>We searched PubMed, Embase, Scopus, and Web of Science using the terms \"microbiome\" and \"breast cancer\", limiting to publications of human studies in English language between January 2011 and January 2025, and adhering to the Preferred Reporting Items for Systematic Reviews and Meta Analyses (PRISMA) guidelines. We extracted the study characteristics and results and summarized our findings.</p><p><strong>Results: </strong>From 2536 articles, we identified 48 eligible studies - 22 case-control, 13 cohorts without any intervention, and 13 cohorts with an intervention. These studies included 3735 women with and 2023 without a diagnosis of breast cancer. Most studies used fecal (29) or breast tissue (14) samples. The genera Clostridium, Lcatobacillus, Prevotella were most commonly associated with breast cancer. However, no genus was consistently linked to the same outcome across studies, rendering meta-analysis unfeasible. Overall, we observed heterogenous methods for data generation and computational analysis leading to challenges in comparative analysis.</p><p><strong>Conclusions: </strong>While several genera are linked to breast cancer, the findings lack consistency across studies. Future studies should employ standardized outcomes, data collection, and processing methods to establish reproducible microbial markers to develop effective microbiome-based breast cancer management strategies.</p>","PeriodicalId":9204,"journal":{"name":"BMC Women's Health","volume":"25 1","pages":"416"},"PeriodicalIF":2.7000,"publicationDate":"2025-08-30","publicationTypes":"Journal Article","fieldsOfStudy":null,"isOpenAccess":false,"openAccessPdf":"https://www.ncbi.nlm.nih.gov/pmc/articles/PMC12398099/pdf/","citationCount":"0","resultStr":null,"platform":"Semanticscholar","paperid":null,"PeriodicalName":"BMC Women's Health","FirstCategoryId":"3","ListUrlMain":"https://doi.org/10.1186/s12905-025-03843-8","RegionNum":3,"RegionCategory":"医学","ArticlePicture":[],"TitleCN":null,"AbstractTextCN":null,"PMCID":null,"EPubDate":"","PubModel":"","JCR":"Q2","JCRName":"OBSTETRICS & GYNECOLOGY","Score":null,"Total":0}
引用次数: 0

Abstract

Purpose: Breast cancer, the most common cancer in women worldwide, is linked to microbiome imbalances. This suggests the potential for microbiome-based breast cancer management. However, a comprehensive and reproducible understanding of the microbiome's role in breast cancer is lacking. We conducted a systematic literature review to explore microbiome signatures and specific genera associated with breast cancer development, subtypes, and outcomes.

Methods: We searched PubMed, Embase, Scopus, and Web of Science using the terms "microbiome" and "breast cancer", limiting to publications of human studies in English language between January 2011 and January 2025, and adhering to the Preferred Reporting Items for Systematic Reviews and Meta Analyses (PRISMA) guidelines. We extracted the study characteristics and results and summarized our findings.

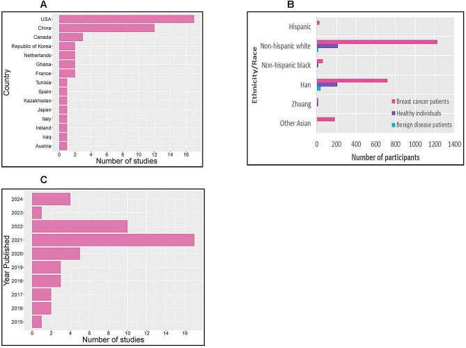
Results: From 2536 articles, we identified 48 eligible studies - 22 case-control, 13 cohorts without any intervention, and 13 cohorts with an intervention. These studies included 3735 women with and 2023 without a diagnosis of breast cancer. Most studies used fecal (29) or breast tissue (14) samples. The genera Clostridium, Lcatobacillus, Prevotella were most commonly associated with breast cancer. However, no genus was consistently linked to the same outcome across studies, rendering meta-analysis unfeasible. Overall, we observed heterogenous methods for data generation and computational analysis leading to challenges in comparative analysis.

Conclusions: While several genera are linked to breast cancer, the findings lack consistency across studies. Future studies should employ standardized outcomes, data collection, and processing methods to establish reproducible microbial markers to develop effective microbiome-based breast cancer management strategies.

Abstract Image

Abstract Image

Abstract Image

乳腺癌和微生物组:强调临床翻译挑战的系统综述。
目的:乳腺癌是全球女性中最常见的癌症,与微生物群失衡有关。这表明基于微生物组的乳腺癌管理的潜力。然而,对微生物组在乳腺癌中的作用缺乏全面和可重复的理解。我们进行了系统的文献综述,以探索与乳腺癌发展、亚型和结局相关的微生物组特征和特定属。方法:我们使用术语“microbiome”和“breast cancer”检索PubMed、Embase、Scopus和Web of Science,限于2011年1月至2025年1月间的英文人类研究出版物,并遵循系统评价和Meta分析(PRISMA)指南的首选报告项目。我们提取了研究特点和结果,总结了我们的发现。结果:从2536篇文章中,我们确定了48个符合条件的研究——22个病例对照,13个没有任何干预的队列,13个有干预的队列。这些研究包括3735名患有乳腺癌的女性和2023名未被诊断为乳腺癌的女性。大多数研究使用粪便(29)或乳房组织(14)样本。梭状芽孢杆菌属、乳酸杆菌属、普雷沃氏菌属与乳腺癌最常相关。然而,在所有研究中,没有一个属与相同的结果一致,因此荟萃分析不可行。总的来说,我们观察到数据生成和计算分析的异构方法导致比较分析的挑战。结论:虽然有几个属与乳腺癌有关,但研究结果缺乏一致性。未来的研究应采用标准化的结果、数据收集和处理方法来建立可重复的微生物标记物,以制定有效的基于微生物组的乳腺癌管理策略。
本文章由计算机程序翻译,如有差异,请以英文原文为准。
求助全文
约1分钟内获得全文 求助全文
来源期刊
BMC Women's Health
BMC Women's Health OBSTETRICS & GYNECOLOGY-
CiteScore
3.40
自引率
4.00%
发文量
444
审稿时长
>12 weeks
期刊介绍: BMC Women''s Health is an open access, peer-reviewed journal that considers articles on all aspects of the health and wellbeing of adolescent girls and women, with a particular focus on the physical, mental, and emotional health of women in developed and developing nations. The journal welcomes submissions on women''s public health issues, health behaviours, breast cancer, gynecological diseases, mental health and health promotion.
×
引用
GB/T 7714-2015
复制
MLA
复制
APA
复制
导出至
BibTeX EndNote RefMan NoteFirst NoteExpress
×
提示
您的信息不完整,为了账户安全,请先补充。
现在去补充
×
提示
您因"违规操作"
具体请查看互助需知
我知道了
×
提示
确定
请完成安全验证×
copy
已复制链接
快去分享给好友吧!
我知道了
右上角分享
点击右上角分享
0
联系我们:info@booksci.cn Book学术提供免费学术资源搜索服务,方便国内外学者检索中英文文献。致力于提供最便捷和优质的服务体验。 Copyright © 2023 布克学术 All rights reserved.
京ICP备2023020795号-1
ghs 京公网安备 11010802042870号
Book学术文献互助
Book学术文献互助群
群 号:604180095
Book学术官方微信