The complex inflammatory indexes predict the prognostic risk for patients with acute coronary syndrome undergoing percutaneous coronary intervention.

IF 2.7 4区 医学 Q3 IMMUNOLOGY
Ge Song, Yan Liu, Ying Zhang, Weichao Shan, Qiyu Sun, Yuewen Qi, Jingyi Liu, Lixian Sun
{"title":"The complex inflammatory indexes predict the prognostic risk for patients with acute coronary syndrome undergoing percutaneous coronary intervention.","authors":"Ge Song, Yan Liu, Ying Zhang, Weichao Shan, Qiyu Sun, Yuewen Qi, Jingyi Liu, Lixian Sun","doi":"10.1186/s12865-025-00745-0","DOIUrl":null,"url":null,"abstract":"<p><strong>Introduction: </strong>An accurate assessment of prognostic risk is widely recognized to be important in improving the survival of patients with acute coronary syndrome (ACS). This study aimed to investigate the roles of neutrophil-to-lymphocyte * platelet (NLPR) and neutrophil-lymphocyte (NLR) ratios with high- and (HDL-C) and low-density lipoprotein cholesterol (LDL-C) levels in predicting the risk of major adverse cardiovascular events (MACEs) in patients with ACS undergoing percutaneous coronary intervention (PCI).</p><p><strong>Results: </strong>Overall, 1,263 patients with ACS undergoing PCI between January 2016 and December 2018 were consecutively enrolled. The patients were divided into MACEs (n = 54) and non-MACEs (n = 1,209) groups. The study endpoints were MACEs, including cardiac-related mortality and re-hospitalization for severe heart failure (HF), myocardial infarction (MI), and in-stent restenosis (ISR). The Kaplan-Meier curve showed the low NLPR and NLR groups had higher cumulative survival than the high NLPR and NLR group. Patients with high NLPR/HDL-C, NLPR×LDL-C, NLR/HDL-C, and NLR×LDL-C also had significantly lower cumulative survival.</p><p><strong>Conclusion: </strong>NLPR ≥ 2.843, NLPR/HDL-C ≥ 1.977, NLPR*LDL-C ≥ 4.608, NLR ≥ 0.025, NLR/HDL-C ≥ 0.030, and NLR*LDL-C ≥ 0.038 were all independent prognostic risk factors in patients with ACS undergoing PCI, which may be useful markers for long prognosis.</p>","PeriodicalId":9040,"journal":{"name":"BMC Immunology","volume":"26 1","pages":"64"},"PeriodicalIF":2.7000,"publicationDate":"2025-09-01","publicationTypes":"Journal Article","fieldsOfStudy":null,"isOpenAccess":false,"openAccessPdf":"https://www.ncbi.nlm.nih.gov/pmc/articles/PMC12400584/pdf/","citationCount":"0","resultStr":null,"platform":"Semanticscholar","paperid":null,"PeriodicalName":"BMC Immunology","FirstCategoryId":"3","ListUrlMain":"https://doi.org/10.1186/s12865-025-00745-0","RegionNum":4,"RegionCategory":"医学","ArticlePicture":[],"TitleCN":null,"AbstractTextCN":null,"PMCID":null,"EPubDate":"","PubModel":"","JCR":"Q3","JCRName":"IMMUNOLOGY","Score":null,"Total":0}
引用次数: 0

Abstract

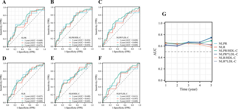
Introduction: An accurate assessment of prognostic risk is widely recognized to be important in improving the survival of patients with acute coronary syndrome (ACS). This study aimed to investigate the roles of neutrophil-to-lymphocyte * platelet (NLPR) and neutrophil-lymphocyte (NLR) ratios with high- and (HDL-C) and low-density lipoprotein cholesterol (LDL-C) levels in predicting the risk of major adverse cardiovascular events (MACEs) in patients with ACS undergoing percutaneous coronary intervention (PCI).

Results: Overall, 1,263 patients with ACS undergoing PCI between January 2016 and December 2018 were consecutively enrolled. The patients were divided into MACEs (n = 54) and non-MACEs (n = 1,209) groups. The study endpoints were MACEs, including cardiac-related mortality and re-hospitalization for severe heart failure (HF), myocardial infarction (MI), and in-stent restenosis (ISR). The Kaplan-Meier curve showed the low NLPR and NLR groups had higher cumulative survival than the high NLPR and NLR group. Patients with high NLPR/HDL-C, NLPR×LDL-C, NLR/HDL-C, and NLR×LDL-C also had significantly lower cumulative survival.

Conclusion: NLPR ≥ 2.843, NLPR/HDL-C ≥ 1.977, NLPR*LDL-C ≥ 4.608, NLR ≥ 0.025, NLR/HDL-C ≥ 0.030, and NLR*LDL-C ≥ 0.038 were all independent prognostic risk factors in patients with ACS undergoing PCI, which may be useful markers for long prognosis.

Abstract Image

Abstract Image

Abstract Image

复杂炎症指标预测急性冠状动脉综合征患者经皮冠状动脉介入治疗的预后风险。
准确的预后风险评估被广泛认为是提高急性冠脉综合征(ACS)患者生存率的重要因素。本研究旨在探讨中性粒细胞-淋巴细胞*血小板(NLPR)和中性粒细胞-淋巴细胞(NLR)比例在高、(HDL-C)和低密度脂蛋白胆固醇(LDL-C)水平下对ACS经皮冠状动脉介入治疗(PCI)患者主要不良心血管事件(mace)风险的预测作用。结果:总体而言,2016年1月至2018年12月期间连续入组1263例ACS患者。患者分为mace组(n = 54)和非mace组(n = 1209)。研究终点为mace,包括心脏相关死亡率和因严重心力衰竭(HF)、心肌梗死(MI)和支架内再狭窄(ISR)而再次住院。Kaplan-Meier曲线显示低NLPR和NLR组的累积生存期高于高NLPR和NLR组。高NLPR/HDL-C、NLPR×LDL-C、NLR/HDL-C和NLR×LDL-C患者的累积生存期也明显较低。结论:NLPR≥2.843、NLPR/HDL-C≥1.977、NLPR*LDL-C≥4.608、NLR≥0.025、NLR/HDL-C≥0.030、NLR*LDL-C≥0.038均为ACS行PCI患者的独立预后危险因素,可作为判断远期预后的有用指标。
本文章由计算机程序翻译,如有差异,请以英文原文为准。
求助全文
约1分钟内获得全文 求助全文
来源期刊
BMC Immunology
BMC Immunology 医学-免疫学
CiteScore
5.50
自引率
0.00%
发文量
54
审稿时长
1 months
期刊介绍: BMC Immunology is an open access journal publishing original peer-reviewed research articles in molecular, cellular, tissue-level, organismal, functional, and developmental aspects of the immune system as well as clinical studies and animal models of human diseases.
×
引用
GB/T 7714-2015
复制
MLA
复制
APA
复制
导出至
BibTeX EndNote RefMan NoteFirst NoteExpress
×
提示
您的信息不完整,为了账户安全,请先补充。
现在去补充
×
提示
您因"违规操作"
具体请查看互助需知
我知道了
×
提示
确定
请完成安全验证×
copy
已复制链接
快去分享给好友吧!
我知道了
右上角分享
点击右上角分享
0
联系我们:info@booksci.cn Book学术提供免费学术资源搜索服务,方便国内外学者检索中英文文献。致力于提供最便捷和优质的服务体验。 Copyright © 2023 布克学术 All rights reserved.
京ICP备2023020795号-1
ghs 京公网安备 11010802042870号
Book学术文献互助
Book学术文献互助群
群 号:604180095
Book学术官方微信