Progressive decline in soil nitrogen stocks with warming in a Tibetan permafrost ecosystem

IF 16.1 1区 地球科学 Q1 GEOSCIENCES, MULTIDISCIPLINARY
Bin Wei, Dianye Zhang, Carolina Voigt, Wei Zhou, Yuxuan Bai, Zhihu Zheng, Yuhong Xie, Chunbao Zhao, Feiqi Wang, Luyao Huang, Guibiao Yang, Dan Kou, Yunfeng Peng, Yiqi Luo, Josep Peñuelas, Yuanhe Yang
{"title":"Progressive decline in soil nitrogen stocks with warming in a Tibetan permafrost ecosystem","authors":"Bin Wei, Dianye Zhang, Carolina Voigt, Wei Zhou, Yuxuan Bai, Zhihu Zheng, Yuhong Xie, Chunbao Zhao, Feiqi Wang, Luyao Huang, Guibiao Yang, Dan Kou, Yunfeng Peng, Yiqi Luo, Josep Peñuelas, Yuanhe Yang","doi":"10.1038/s41561-025-01786-1","DOIUrl":null,"url":null,"abstract":"<p>Permafrost regions contain a substantial fraction of Earth’s soil nitrogen, which is vulnerable to climate change. The response of this crucial N stock to warming could impact the permafrost–climate feedback by altering plant productivity, microbial decomposition and nitrous oxide emissions. However, the long-term trajectory of soil N stocks in response to warming remains unclear. Here we present results from a ten-year field warming experiment in a permafrost ecosystem on the Tibetan Plateau. We made repeated measurements of soil N stocks to 50 cm depth and assessed 28 N-cycling variables to explore three primary pathways affecting soil N stocks, including N inputs, microbial N transformations and N losses. Our results reveal that, despite no changes being observed during the initial years of the experiment, warmed plots experienced a decline in surface soil N stocks (an average 7.7% reduction relative to control plots) after eight years of warming. This decrease is associated with the enhanced N sequestration in perennial plant biomass, increased ecosystem N leaching and gaseous N losses from soils. Our findings underscore the vulnerability of soil N stocks in permafrost regions to ongoing warming, and suggest that the potential permafrost–climate feedback may be stronger than previously anticipated.</p>","PeriodicalId":19053,"journal":{"name":"Nature Geoscience","volume":"29 1","pages":""},"PeriodicalIF":16.1000,"publicationDate":"2025-09-02","publicationTypes":"Journal Article","fieldsOfStudy":null,"isOpenAccess":false,"openAccessPdf":"","citationCount":"0","resultStr":null,"platform":"Semanticscholar","paperid":null,"PeriodicalName":"Nature Geoscience","FirstCategoryId":"89","ListUrlMain":"https://doi.org/10.1038/s41561-025-01786-1","RegionNum":1,"RegionCategory":"地球科学","ArticlePicture":[],"TitleCN":null,"AbstractTextCN":null,"PMCID":null,"EPubDate":"","PubModel":"","JCR":"Q1","JCRName":"GEOSCIENCES, MULTIDISCIPLINARY","Score":null,"Total":0}
引用次数: 0

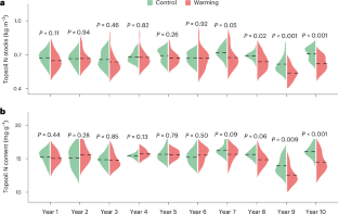
Abstract

Permafrost regions contain a substantial fraction of Earth’s soil nitrogen, which is vulnerable to climate change. The response of this crucial N stock to warming could impact the permafrost–climate feedback by altering plant productivity, microbial decomposition and nitrous oxide emissions. However, the long-term trajectory of soil N stocks in response to warming remains unclear. Here we present results from a ten-year field warming experiment in a permafrost ecosystem on the Tibetan Plateau. We made repeated measurements of soil N stocks to 50 cm depth and assessed 28 N-cycling variables to explore three primary pathways affecting soil N stocks, including N inputs, microbial N transformations and N losses. Our results reveal that, despite no changes being observed during the initial years of the experiment, warmed plots experienced a decline in surface soil N stocks (an average 7.7% reduction relative to control plots) after eight years of warming. This decrease is associated with the enhanced N sequestration in perennial plant biomass, increased ecosystem N leaching and gaseous N losses from soils. Our findings underscore the vulnerability of soil N stocks in permafrost regions to ongoing warming, and suggest that the potential permafrost–climate feedback may be stronger than previously anticipated.

Abstract Image

永久冻土区含有地球土壤氮的很大一部分,易受气候变化的影响。这种至关重要的氮储量对变暖的响应可能通过改变植物生产力、微生物分解和氧化亚氮排放来影响永久冻土-气候反馈。然而,土壤氮储量响应变暖的长期轨迹仍不清楚。研究人员对50 cm深度的土壤氮储量进行了重复测量,并评估了28个氮循环变量,以探索影响土壤氮储量的三个主要途径,包括氮输入、微生物氮转化和氮损失。我们的研究结果表明,尽管在试验的最初几年没有观察到变化,但经过8年的变暖,暖地的表层土壤氮储量下降(相对于对照地平均减少7.7%)。这种减少与多年生植物生物量氮固存增强、生态系统氮淋失增加和土壤气态氮损失有关。我们的研究结果强调了永久冻土区土壤N储量对持续变暖的脆弱性,并表明潜在的永久冻土区-气候反馈可能比先前预期的更强。
本文章由计算机程序翻译,如有差异,请以英文原文为准。
求助全文
约1分钟内获得全文 求助全文
来源期刊
Nature Geoscience
Nature Geoscience 地学-地球科学综合
CiteScore
26.70
自引率
1.60%
发文量
187
审稿时长
3.3 months
期刊介绍: Nature Geoscience is a monthly interdisciplinary journal that gathers top-tier research spanning Earth Sciences and related fields. The journal covers all geoscience disciplines, including fieldwork, modeling, and theoretical studies. Topics include atmospheric science, biogeochemistry, climate science, geobiology, geochemistry, geoinformatics, remote sensing, geology, geomagnetism, paleomagnetism, geomorphology, geophysics, glaciology, hydrology, limnology, mineralogy, oceanography, paleontology, paleoclimatology, paleoceanography, petrology, planetary science, seismology, space physics, tectonics, and volcanology. Nature Geoscience upholds its commitment to publishing significant, high-quality Earth Sciences research through fair, rapid, and rigorous peer review, overseen by a team of full-time professional editors.
×
引用
GB/T 7714-2015
复制
MLA
复制
APA
复制
导出至
BibTeX EndNote RefMan NoteFirst NoteExpress
×
提示
您的信息不完整,为了账户安全,请先补充。
现在去补充
×
提示
您因"违规操作"
具体请查看互助需知
我知道了
×
提示
确定
请完成安全验证×
copy
已复制链接
快去分享给好友吧!
我知道了
右上角分享
点击右上角分享
0
联系我们:info@booksci.cn Book学术提供免费学术资源搜索服务,方便国内外学者检索中英文文献。致力于提供最便捷和优质的服务体验。 Copyright © 2023 布克学术 All rights reserved.
京ICP备2023020795号-1
ghs 京公网安备 11010802042870号
Book学术文献互助
Book学术文献互助群
群 号:604180095
Book学术官方微信