Development of Potting Media from Composted Organic Food Waste Supplemented with Trichoderma asperellum and Talaromyces tratensis for Control of Root and Stem-End Rot in Chinese Kale (Brassica oleracea)

IF 1.1 Q3 AGRONOMY
Chutima Kaewkrajay, Tida Dethoup
{"title":"Development of Potting Media from Composted Organic Food Waste Supplemented with Trichoderma asperellum and Talaromyces tratensis for Control of Root and Stem-End Rot in Chinese Kale (Brassica oleracea)","authors":"Chutima Kaewkrajay,&nbsp;Tida Dethoup","doi":"10.1007/s40003-024-00790-y","DOIUrl":null,"url":null,"abstract":"<div><p>Food waste is a significant factor that directly affects both the environment and human health. Utilizing composted organic food waste to create potting media, especially when supplemented with<i> Trichoderma asperellum and Talaromyces tratensis\n</i> offers an eco-friendly solution. In this context, the present study aimed to repurpose composted organic food waste into potting media, simultaneously evaluating the efficacy of antagonistic fungi in mitigating root and stem-end rot diseases affecting Chinese kale. For this purpose, 10 distinct formulations of potting mixtures were developed and employed for their efficacy with the aforementioned vegetable. The findings indicated that the media containing composted organic food waste, when used at a ratio of 1 part by volume, notably enhanced its growth. Furthermore, the media composed of an equal blend of composted organic food waste and black chaff exhibited optimal results. This was closely followed by a mixture consisting of composted organic food waste and chopped coconut husks in an identical 1:1 ratio. Moreover, the incorporation of the antagonistic fungus <i>T. asperellum</i> into the potting media was observed to be highly effective against <i>Sclerotium rolfsii</i>, particularly under greenhouse conditions. As an outcome of this intervention, the growth trajectory of Chinese kale mirrored that achieved using chemical fungicides. It is evident from these observations that <i>T. asperellum</i> plays a pivotal role in the biological control of plant diseases.</p></div>","PeriodicalId":7553,"journal":{"name":"Agricultural Research","volume":"14 3","pages":"485 - 494"},"PeriodicalIF":1.1000,"publicationDate":"2024-09-28","publicationTypes":"Journal Article","fieldsOfStudy":null,"isOpenAccess":false,"openAccessPdf":"","citationCount":"0","resultStr":null,"platform":"Semanticscholar","paperid":null,"PeriodicalName":"Agricultural Research","FirstCategoryId":"1085","ListUrlMain":"https://link.springer.com/article/10.1007/s40003-024-00790-y","RegionNum":0,"RegionCategory":null,"ArticlePicture":[],"TitleCN":null,"AbstractTextCN":null,"PMCID":null,"EPubDate":"","PubModel":"","JCR":"Q3","JCRName":"AGRONOMY","Score":null,"Total":0}
引用次数: 0

Abstract

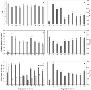
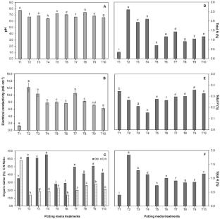
Food waste is a significant factor that directly affects both the environment and human health. Utilizing composted organic food waste to create potting media, especially when supplemented with Trichoderma asperellum and Talaromyces tratensis offers an eco-friendly solution. In this context, the present study aimed to repurpose composted organic food waste into potting media, simultaneously evaluating the efficacy of antagonistic fungi in mitigating root and stem-end rot diseases affecting Chinese kale. For this purpose, 10 distinct formulations of potting mixtures were developed and employed for their efficacy with the aforementioned vegetable. The findings indicated that the media containing composted organic food waste, when used at a ratio of 1 part by volume, notably enhanced its growth. Furthermore, the media composed of an equal blend of composted organic food waste and black chaff exhibited optimal results. This was closely followed by a mixture consisting of composted organic food waste and chopped coconut husks in an identical 1:1 ratio. Moreover, the incorporation of the antagonistic fungus T. asperellum into the potting media was observed to be highly effective against Sclerotium rolfsii, particularly under greenhouse conditions. As an outcome of this intervention, the growth trajectory of Chinese kale mirrored that achieved using chemical fungicides. It is evident from these observations that T. asperellum plays a pivotal role in the biological control of plant diseases.

Abstract Image

Abstract Image

有机厨余堆肥中添加曲霉木霉和芥蓝菌防治芥蓝根茎端腐病的盆栽培养基的开发
食物浪费是直接影响环境和人类健康的一个重要因素。利用堆肥有机食物垃圾来制作盆栽介质,特别是当补充曲霉木霉和塔拉香霉时,提供了一个环保的解决方案。在此背景下,本研究旨在将堆肥后的有机食物垃圾转化为盆栽培养基,同时评估拮抗真菌对甘蓝根茎端腐病的缓解效果。为此,开发了10种不同的盆栽混合物配方,并对上述蔬菜的功效进行了应用。结果表明,当有机食物垃圾堆肥的培养基以1体积比使用时,其生长明显增强。此外,由堆肥有机食物垃圾和黑糠等量混合组成的培养基表现出最佳效果。紧随其后的是由堆肥有机食物垃圾和切碎的椰子壳以相同的1:1比例组成的混合物。此外,在盆栽培养基中掺入拮抗真菌曲霉(T. asperellum)对罗尔夫菌核病(Sclerotium rolfsii)有很高的防治效果,特别是在温室条件下。作为干预的结果,芥蓝的生长轨迹与使用化学杀菌剂的结果一致。由此可见,曲霉在植物病害的生物防治中起着重要的作用。
本文章由计算机程序翻译,如有差异,请以英文原文为准。
求助全文
约1分钟内获得全文 求助全文
来源期刊
CiteScore
3.80
自引率
0.00%
发文量
24
期刊介绍: The main objective of this initiative is to promote agricultural research and development. The journal will publish high quality original research papers and critical reviews on emerging fields and concepts for providing future directions. The publications will include both applied and basic research covering the following disciplines of agricultural sciences: Genetic resources, genetics and breeding, biotechnology, physiology, biochemistry, management of biotic and abiotic stresses, and nutrition of field crops, horticultural crops, livestock and fishes; agricultural meteorology, environmental sciences, forestry and agro forestry, agronomy, soils and soil management, microbiology, water management, agricultural engineering and technology, agricultural policy, agricultural economics, food nutrition, agricultural statistics, and extension research; impact of climate change and the emerging technologies on agriculture, and the role of agricultural research and innovation for development.
×
引用
GB/T 7714-2015
复制
MLA
复制
APA
复制
导出至
BibTeX EndNote RefMan NoteFirst NoteExpress
×
提示
您的信息不完整,为了账户安全,请先补充。
现在去补充
×
提示
您因"违规操作"
具体请查看互助需知
我知道了
×
提示
确定
请完成安全验证×
copy
已复制链接
快去分享给好友吧!
我知道了
右上角分享
点击右上角分享
0
联系我们:info@booksci.cn Book学术提供免费学术资源搜索服务,方便国内外学者检索中英文文献。致力于提供最便捷和优质的服务体验。 Copyright © 2023 布克学术 All rights reserved.
京ICP备2023020795号-1
ghs 京公网安备 11010802042870号
Book学术文献互助
Book学术文献互助群
群 号:604180095
Book学术官方微信