Supersonic Euler Flow Through a Two-dimensional Finite Straight Nozzle

IF 1.3 3区 数学 Q2 MATHEMATICS, APPLIED
Qianfeng Li, Ting Xiao, Hairong Yuan
{"title":"Supersonic Euler Flow Through a Two-dimensional Finite Straight Nozzle","authors":"Qianfeng Li,&nbsp;Ting Xiao,&nbsp;Hairong Yuan","doi":"10.1007/s00021-025-00969-5","DOIUrl":null,"url":null,"abstract":"<div><p>This paper studies stationary supersonic compressible Euler flow in a two-dimensional finite straight nozzle. By introducing Glimm functionals with variable weights, we overcome the potential accumulation of successive reflections of weak waves between the two lateral walls, thus establish the existence of a weak entropy solution to a boundary-value problem of the Euler equations in the space of functions with bounded variations by a modified Glimm scheme.</p></div>","PeriodicalId":649,"journal":{"name":"Journal of Mathematical Fluid Mechanics","volume":"27 4","pages":""},"PeriodicalIF":1.3000,"publicationDate":"2025-08-23","publicationTypes":"Journal Article","fieldsOfStudy":null,"isOpenAccess":false,"openAccessPdf":"","citationCount":"0","resultStr":null,"platform":"Semanticscholar","paperid":null,"PeriodicalName":"Journal of Mathematical Fluid Mechanics","FirstCategoryId":"100","ListUrlMain":"https://link.springer.com/article/10.1007/s00021-025-00969-5","RegionNum":3,"RegionCategory":"数学","ArticlePicture":[],"TitleCN":null,"AbstractTextCN":null,"PMCID":null,"EPubDate":"","PubModel":"","JCR":"Q2","JCRName":"MATHEMATICS, APPLIED","Score":null,"Total":0}
引用次数: 0

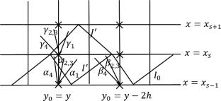
Abstract

This paper studies stationary supersonic compressible Euler flow in a two-dimensional finite straight nozzle. By introducing Glimm functionals with variable weights, we overcome the potential accumulation of successive reflections of weak waves between the two lateral walls, thus establish the existence of a weak entropy solution to a boundary-value problem of the Euler equations in the space of functions with bounded variations by a modified Glimm scheme.

Abstract Image

Abstract Image

二维有限直喷管中的超声速欧拉流
本文研究了二维有限直喷管内的静止超声速可压缩欧拉流。通过引入变权的Glimm泛函,克服了弱波在两侧壁间连续反射的潜在积累,从而用改进的Glimm格式建立了有界变分函数空间中欧拉方程边值问题的弱熵解的存在性。
本文章由计算机程序翻译,如有差异,请以英文原文为准。
求助全文
约1分钟内获得全文 求助全文
来源期刊
CiteScore
2.00
自引率
15.40%
发文量
97
审稿时长
>12 weeks
期刊介绍: The Journal of Mathematical Fluid Mechanics (JMFM)is a forum for the publication of high-quality peer-reviewed papers on the mathematical theory of fluid mechanics, with special regards to the Navier-Stokes equations. As an important part of that, the journal encourages papers dealing with mathematical aspects of computational theory, as well as with applications in science and engineering. The journal also publishes in related areas of mathematics that have a direct bearing on the mathematical theory of fluid mechanics. All papers will be characterized by originality and mathematical rigor. For a paper to be accepted, it is not enough that it contains original results. In fact, results should be highly relevant to the mathematical theory of fluid mechanics, and meet a wide readership.
×
引用
GB/T 7714-2015
复制
MLA
复制
APA
复制
导出至
BibTeX EndNote RefMan NoteFirst NoteExpress
×
提示
您的信息不完整,为了账户安全,请先补充。
现在去补充
×
提示
您因"违规操作"
具体请查看互助需知
我知道了
×
提示
确定
请完成安全验证×
copy
已复制链接
快去分享给好友吧!
我知道了
右上角分享
点击右上角分享
0
联系我们:info@booksci.cn Book学术提供免费学术资源搜索服务,方便国内外学者检索中英文文献。致力于提供最便捷和优质的服务体验。 Copyright © 2023 布克学术 All rights reserved.
京ICP备2023020795号-1
ghs 京公网安备 11010802042870号
Book学术文献互助
Book学术文献互助群
群 号:604180095
Book学术官方微信