Enhancing Lesion Segmentation in Ultrasound Images: The Impact of Targeted Data Augmentation Strategies.

IF 1.3 Q2 ENGINEERING, BIOMEDICAL
International Journal of Biomedical Imaging Pub Date : 2025-08-11 eCollection Date: 2025-01-01 DOI:10.1155/ijbi/3309822
Xu Wang, Patrice Monkam, Bonan Zhao, Shouliang Qi, He Ma, Long Huang, Wei Qian
{"title":"Enhancing Lesion Segmentation in Ultrasound Images: The Impact of Targeted Data Augmentation Strategies.","authors":"Xu Wang, Patrice Monkam, Bonan Zhao, Shouliang Qi, He Ma, Long Huang, Wei Qian","doi":"10.1155/ijbi/3309822","DOIUrl":null,"url":null,"abstract":"<p><p>Automated lesion segmentation in ultrasound (US) images based on deep learning (DL) approaches plays a crucial role in disease diagnosis and treatment. However, the successful implementation of these approaches is conditioned by large-scale and diverse annotated datasets whose obtention is tedious and expertise demanding. Although methods like generative adversarial networks (GANs) can help address sample scarcity, they are often associated with complex training processes and high computational demands, which can limit their practicality and feasibility, especially in resource-constrained scenarios. Therefore, this study is aimed at exploring new solutions to address the challenge of limited annotated samples in automated lesion delineation in US images. Specifically, we propose five distinct mixed sample augmentation strategies and assess their effectiveness using four deep segmentation models for the delineation of two lesion types: breast and thyroid lesions. Extensive experimental analyses indicate that the effectiveness of these augmentation strategies is strongly influenced by both the lesion type and the model architecture. When appropriately selected, these strategies result in substantial performance improvements, with the Dice and Jaccard indices increasing by up to 37.95% and 36.32% for breast lesions and 14.59% and 13.01% for thyroid lesions, respectively. These improvements highlight the potential of the proposed strategies as a reliable solution to address data scarcity in automated lesion segmentation tasks. Furthermore, the study emphasizes the critical importance of carefully selecting data augmentation approaches, offering valuable insights into how their strategic application can significantly enhance the performance of DL models.</p>","PeriodicalId":47063,"journal":{"name":"International Journal of Biomedical Imaging","volume":"2025 ","pages":"3309822"},"PeriodicalIF":1.3000,"publicationDate":"2025-08-11","publicationTypes":"Journal Article","fieldsOfStudy":null,"isOpenAccess":false,"openAccessPdf":"https://www.ncbi.nlm.nih.gov/pmc/articles/PMC12360876/pdf/","citationCount":"0","resultStr":null,"platform":"Semanticscholar","paperid":null,"PeriodicalName":"International Journal of Biomedical Imaging","FirstCategoryId":"1085","ListUrlMain":"https://doi.org/10.1155/ijbi/3309822","RegionNum":0,"RegionCategory":null,"ArticlePicture":[],"TitleCN":null,"AbstractTextCN":null,"PMCID":null,"EPubDate":"2025/1/1 0:00:00","PubModel":"eCollection","JCR":"Q2","JCRName":"ENGINEERING, BIOMEDICAL","Score":null,"Total":0}
引用次数: 0

Abstract

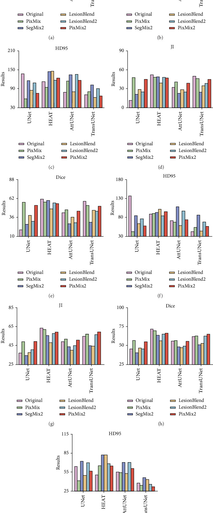
Automated lesion segmentation in ultrasound (US) images based on deep learning (DL) approaches plays a crucial role in disease diagnosis and treatment. However, the successful implementation of these approaches is conditioned by large-scale and diverse annotated datasets whose obtention is tedious and expertise demanding. Although methods like generative adversarial networks (GANs) can help address sample scarcity, they are often associated with complex training processes and high computational demands, which can limit their practicality and feasibility, especially in resource-constrained scenarios. Therefore, this study is aimed at exploring new solutions to address the challenge of limited annotated samples in automated lesion delineation in US images. Specifically, we propose five distinct mixed sample augmentation strategies and assess their effectiveness using four deep segmentation models for the delineation of two lesion types: breast and thyroid lesions. Extensive experimental analyses indicate that the effectiveness of these augmentation strategies is strongly influenced by both the lesion type and the model architecture. When appropriately selected, these strategies result in substantial performance improvements, with the Dice and Jaccard indices increasing by up to 37.95% and 36.32% for breast lesions and 14.59% and 13.01% for thyroid lesions, respectively. These improvements highlight the potential of the proposed strategies as a reliable solution to address data scarcity in automated lesion segmentation tasks. Furthermore, the study emphasizes the critical importance of carefully selecting data augmentation approaches, offering valuable insights into how their strategic application can significantly enhance the performance of DL models.

Abstract Image

Abstract Image

Abstract Image

增强超声图像病变分割:目标数据增强策略的影响。
基于深度学习(DL)方法的超声图像病灶自动分割在疾病诊断和治疗中起着至关重要的作用。然而,这些方法的成功实现取决于大规模和多样化的注释数据集,这些数据集的注意是繁琐的,并且需要专业知识。虽然像生成对抗网络(gan)这样的方法可以帮助解决样本稀缺性问题,但它们通常与复杂的训练过程和高计算需求相关,这限制了它们的实用性和可行性,特别是在资源受限的情况下。因此,本研究旨在探索新的解决方案,以解决美国图像中自动病变描绘中有限的注释样本的挑战。具体来说,我们提出了五种不同的混合样本增强策略,并使用四种深度分割模型来评估它们的有效性,以描述两种病变类型:乳腺和甲状腺病变。大量的实验分析表明,这些增强策略的有效性受到损伤类型和模型结构的强烈影响。如果选择得当,这些策略可以显著提高性能,乳房病变的Dice和Jaccard指数分别提高了37.95%和36.32%,甲状腺病变的Dice和Jaccard指数分别提高了14.59%和13.01%。这些改进突出了所提出的策略作为解决自动病变分割任务中数据稀缺性的可靠解决方案的潜力。此外,该研究强调了仔细选择数据增强方法的重要性,并就其战略应用如何显著提高深度学习模型的性能提供了有价值的见解。
本文章由计算机程序翻译,如有差异,请以英文原文为准。
求助全文
约1分钟内获得全文 求助全文
来源期刊
CiteScore
12.00
自引率
0.00%
发文量
11
审稿时长
20 weeks
期刊介绍: The International Journal of Biomedical Imaging is managed by a board of editors comprising internationally renowned active researchers. The journal is freely accessible online and also offered for purchase in print format. It employs a web-based review system to ensure swift turnaround times while maintaining high standards. In addition to regular issues, special issues are organized by guest editors. The subject areas covered include (but are not limited to): Digital radiography and tomosynthesis X-ray computed tomography (CT) Magnetic resonance imaging (MRI) Single photon emission computed tomography (SPECT) Positron emission tomography (PET) Ultrasound imaging Diffuse optical tomography, coherence, fluorescence, bioluminescence tomography, impedance tomography Neutron imaging for biomedical applications Magnetic and optical spectroscopy, and optical biopsy Optical, electron, scanning tunneling/atomic force microscopy Small animal imaging Functional, cellular, and molecular imaging Imaging assays for screening and molecular analysis Microarray image analysis and bioinformatics Emerging biomedical imaging techniques Imaging modality fusion Biomedical imaging instrumentation Biomedical image processing, pattern recognition, and analysis Biomedical image visualization, compression, transmission, and storage Imaging and modeling related to systems biology and systems biomedicine Applied mathematics, applied physics, and chemistry related to biomedical imaging Grid-enabling technology for biomedical imaging and informatics
×
引用
GB/T 7714-2015
复制
MLA
复制
APA
复制
导出至
BibTeX EndNote RefMan NoteFirst NoteExpress
×
提示
您的信息不完整,为了账户安全,请先补充。
现在去补充
×
提示
您因"违规操作"
具体请查看互助需知
我知道了
×
提示
确定
请完成安全验证×
copy
已复制链接
快去分享给好友吧!
我知道了
右上角分享
点击右上角分享
0
联系我们:info@booksci.cn Book学术提供免费学术资源搜索服务,方便国内外学者检索中英文文献。致力于提供最便捷和优质的服务体验。 Copyright © 2023 布克学术 All rights reserved.
京ICP备2023020795号-1
ghs 京公网安备 11010802042870号
Book学术文献互助
Book学术文献互助群
群 号:604180095
Book学术官方微信