Effect of Acupressure on Pain and Sleep Quality of Patients with Cancer after Undergoing Surgery Admitted to the Intensive Care Unit: A Single-blind Randomized Clinical Trial.

IF 1.2 Q3 NURSING
Iranian Journal of Nursing and Midwifery Research Pub Date : 2025-07-24 eCollection Date: 2025-07-01 DOI:10.4103/ijnmr.ijnmr_368_23
Mahya Jafari, Fidan Shabani, Mahmood Sheikh Fathollahi, Tohid Seif Barghi, Seyed Babak Peighambari, Seyyed Ebrahim Hosseini Zargaz
{"title":"Effect of Acupressure on Pain and Sleep Quality of Patients with Cancer after Undergoing Surgery Admitted to the Intensive Care Unit: A Single-blind Randomized Clinical Trial.","authors":"Mahya Jafari, Fidan Shabani, Mahmood Sheikh Fathollahi, Tohid Seif Barghi, Seyed Babak Peighambari, Seyyed Ebrahim Hosseini Zargaz","doi":"10.4103/ijnmr.ijnmr_368_23","DOIUrl":null,"url":null,"abstract":"<p><strong>Background: </strong>Pain and sleep disturbances are among the most common symptoms and complications in cancer patients. This study aims to evaluate the effect of acupressure at the LI4 and SP6 points on pain and sleep quality in cancer patients after surgery.</p><p><strong>Materials and methods: </strong>In this single-blind randomized clinical trial, cancer patients admitted to the intensive care unit at the Cancer Institute of Imam Khomeini Hospital in Tehran, Iran in 2022, following surgery, were divided into two equal groups of 39: an intervention group and a control group. On the second and third days after surgery, in the morning and evening, acupressure was applied bilaterally at the LI4 (hand) and SP6 (foot) points, in the experimental group. In the control group, surface touch was applied to the same points. Patients' pain was assessed using the visual analog scale of pain, and sleep quality was measured using the Richard-Campbell Sleep Questionnaire. Data were analyzed using the two-way repeated measures analysis of variance.</p><p><strong>Results: </strong>Statistical analysis showed that the interaction effect of group and time was statistically significant (<i>p</i> < 0.001), indicating that pain reduction was significantly greater in the experimental group compared to the control patients. A paired <i>t</i>-test demonstrated a significant increase in sleep quality after the acupressure intervention in the experimental group (<i>p</i> < 0.001), whereas no significant change was observed in the control group (<i>p</i> = 0.124).</p><p><strong>Conclusions: </strong>Acupressure was found to effectively reduce pain and improve sleep quality in cancer patients after surgery.</p>","PeriodicalId":44816,"journal":{"name":"Iranian Journal of Nursing and Midwifery Research","volume":"30 4","pages":"531-537"},"PeriodicalIF":1.2000,"publicationDate":"2025-07-24","publicationTypes":"Journal Article","fieldsOfStudy":null,"isOpenAccess":false,"openAccessPdf":"https://www.ncbi.nlm.nih.gov/pmc/articles/PMC12360763/pdf/","citationCount":"0","resultStr":null,"platform":"Semanticscholar","paperid":null,"PeriodicalName":"Iranian Journal of Nursing and Midwifery Research","FirstCategoryId":"1085","ListUrlMain":"https://doi.org/10.4103/ijnmr.ijnmr_368_23","RegionNum":0,"RegionCategory":null,"ArticlePicture":[],"TitleCN":null,"AbstractTextCN":null,"PMCID":null,"EPubDate":"2025/7/1 0:00:00","PubModel":"eCollection","JCR":"Q3","JCRName":"NURSING","Score":null,"Total":0}
引用次数: 0

Abstract

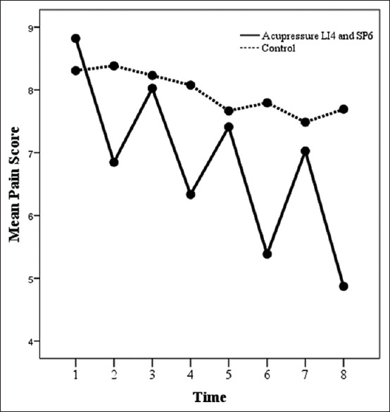
Background: Pain and sleep disturbances are among the most common symptoms and complications in cancer patients. This study aims to evaluate the effect of acupressure at the LI4 and SP6 points on pain and sleep quality in cancer patients after surgery.

Materials and methods: In this single-blind randomized clinical trial, cancer patients admitted to the intensive care unit at the Cancer Institute of Imam Khomeini Hospital in Tehran, Iran in 2022, following surgery, were divided into two equal groups of 39: an intervention group and a control group. On the second and third days after surgery, in the morning and evening, acupressure was applied bilaterally at the LI4 (hand) and SP6 (foot) points, in the experimental group. In the control group, surface touch was applied to the same points. Patients' pain was assessed using the visual analog scale of pain, and sleep quality was measured using the Richard-Campbell Sleep Questionnaire. Data were analyzed using the two-way repeated measures analysis of variance.

Results: Statistical analysis showed that the interaction effect of group and time was statistically significant (p < 0.001), indicating that pain reduction was significantly greater in the experimental group compared to the control patients. A paired t-test demonstrated a significant increase in sleep quality after the acupressure intervention in the experimental group (p < 0.001), whereas no significant change was observed in the control group (p = 0.124).

Conclusions: Acupressure was found to effectively reduce pain and improve sleep quality in cancer patients after surgery.

Abstract Image

Abstract Image

穴位按压对重症监护病房癌症术后患者疼痛和睡眠质量的影响:一项单盲随机临床试验
背景:疼痛和睡眠障碍是癌症患者最常见的症状和并发症。本研究旨在探讨穴位按压LI4和SP6穴位对癌症患者术后疼痛和睡眠质量的影响。材料与方法:在这项单盲随机临床试验中,将2022年在伊朗德黑兰伊玛目霍梅尼医院癌症研究所重症监护室接受手术治疗的癌症患者分为两组,每组39人,均为干预组和对照组。实验组于术后第2天、第3天早晚分别在双侧LI4(手)、SP6(脚)穴位进行穴位按压。在对照组中,表面触摸应用于相同的点。采用视觉模拟疼痛量表评估患者的疼痛程度,采用理查德-坎贝尔睡眠问卷测量患者的睡眠质量。数据分析采用双向重复测量方差分析。结果:统计学分析显示,组与时间的交互作用有统计学意义(p < 0.001),实验组疼痛减轻明显大于对照组。配对t检验显示实验组在穴位按压干预后睡眠质量显著提高(p < 0.001),而对照组无显著变化(p = 0.124)。结论:穴位按压可有效减轻癌症患者术后疼痛,改善睡眠质量。
本文章由计算机程序翻译,如有差异,请以英文原文为准。
求助全文
约1分钟内获得全文 求助全文
来源期刊
CiteScore
1.80
自引率
0.00%
发文量
79
审稿时长
46 weeks
×
引用
GB/T 7714-2015
复制
MLA
复制
APA
复制
导出至
BibTeX EndNote RefMan NoteFirst NoteExpress
×
提示
您的信息不完整,为了账户安全,请先补充。
现在去补充
×
提示
您因"违规操作"
具体请查看互助需知
我知道了
×
提示
确定
请完成安全验证×
copy
已复制链接
快去分享给好友吧!
我知道了
右上角分享
点击右上角分享
0
联系我们:info@booksci.cn Book学术提供免费学术资源搜索服务,方便国内外学者检索中英文文献。致力于提供最便捷和优质的服务体验。 Copyright © 2023 布克学术 All rights reserved.
京ICP备2023020795号-1
ghs 京公网安备 11010802042870号
Book学术文献互助
Book学术文献互助群
群 号:604180095
Book学术官方微信