Diagnostic performance of specific oxidative stress biomarkers, acute phase proteins, and certain trace elements in different severities of equine colic.

Q3 Veterinary
Journal of Equine Science Pub Date : 2025-06-01 Epub Date: 2025-06-12 DOI:10.1294/jes.36.45
Ahmadreza Mirzaei, Ali Hajimohammadi
{"title":"Diagnostic performance of specific oxidative stress biomarkers, acute phase proteins, and certain trace elements in different severities of equine colic.","authors":"Ahmadreza Mirzaei, Ali Hajimohammadi","doi":"10.1294/jes.36.45","DOIUrl":null,"url":null,"abstract":"<p><p>Sixty-one horses were included in this study and classified into three groups based on the severity of colic, assessed by heart rate, oral mucous membrane color, and abdominal distension. The groups consisted of a strangulating colic (SC) group (n=21), a non-strangulating colic (NC) group (n=20), and a control group (n=20) of randomly selected healthy horses without colic. Serum concentrations of tumor necrosis factor α (TNFα), haptoglobin (Hp), nitric oxide (NO), malondialdehyde (MDA), zinc, iron, and copper were measured in all horses. Receiver operating characteristic (ROC) analysis was conducted to assess and compare the diagnostic performance of the analytes in terms of sensitivity, specificity, and area under the curve (AUC). TNFα demonstrated the highest diagnostic accuracy for non-strangulating colic at a cutoff value of >24 mg/l, with 100% sensitivity, 95% specificity, and an AUC of 0.996. For strangulating colic, TNFα also exhibited the best diagnostic performance at a cutoff value of >33 mg/l, achieving 100% sensitivity and specificity with an AUC of 1.00. Haptoglobin followed with a cutoff value of >52 µg/l, showing 95% sensitivity, 75% specificity, and an AUC of 0.898. This study provides new insights into the diagnostic performance of TNFα for detecting non-strangulating colic and TNFα and haptoglobin for diagnosing strangulating intestinal conditions in horses with colic.</p>","PeriodicalId":35701,"journal":{"name":"Journal of Equine Science","volume":"36 2","pages":"45-54"},"PeriodicalIF":0.0000,"publicationDate":"2025-06-01","publicationTypes":"Journal Article","fieldsOfStudy":null,"isOpenAccess":false,"openAccessPdf":"https://www.ncbi.nlm.nih.gov/pmc/articles/PMC12360160/pdf/","citationCount":"0","resultStr":null,"platform":"Semanticscholar","paperid":null,"PeriodicalName":"Journal of Equine Science","FirstCategoryId":"1085","ListUrlMain":"https://doi.org/10.1294/jes.36.45","RegionNum":0,"RegionCategory":null,"ArticlePicture":[],"TitleCN":null,"AbstractTextCN":null,"PMCID":null,"EPubDate":"2025/6/12 0:00:00","PubModel":"Epub","JCR":"Q3","JCRName":"Veterinary","Score":null,"Total":0}
引用次数: 0

Abstract

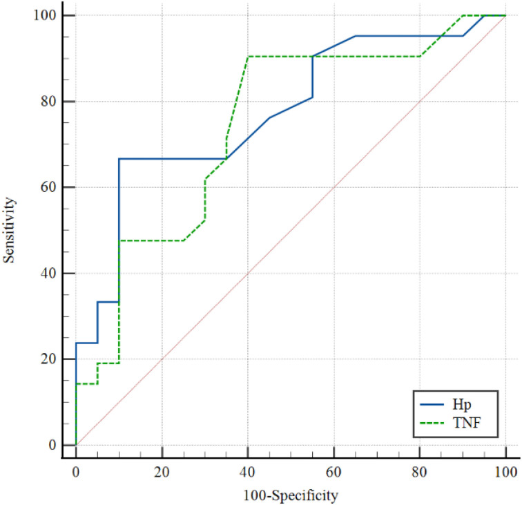
Sixty-one horses were included in this study and classified into three groups based on the severity of colic, assessed by heart rate, oral mucous membrane color, and abdominal distension. The groups consisted of a strangulating colic (SC) group (n=21), a non-strangulating colic (NC) group (n=20), and a control group (n=20) of randomly selected healthy horses without colic. Serum concentrations of tumor necrosis factor α (TNFα), haptoglobin (Hp), nitric oxide (NO), malondialdehyde (MDA), zinc, iron, and copper were measured in all horses. Receiver operating characteristic (ROC) analysis was conducted to assess and compare the diagnostic performance of the analytes in terms of sensitivity, specificity, and area under the curve (AUC). TNFα demonstrated the highest diagnostic accuracy for non-strangulating colic at a cutoff value of >24 mg/l, with 100% sensitivity, 95% specificity, and an AUC of 0.996. For strangulating colic, TNFα also exhibited the best diagnostic performance at a cutoff value of >33 mg/l, achieving 100% sensitivity and specificity with an AUC of 1.00. Haptoglobin followed with a cutoff value of >52 µg/l, showing 95% sensitivity, 75% specificity, and an AUC of 0.898. This study provides new insights into the diagnostic performance of TNFα for detecting non-strangulating colic and TNFα and haptoglobin for diagnosing strangulating intestinal conditions in horses with colic.

Abstract Image

Abstract Image

Abstract Image

特定氧化应激生物标志物、急性期蛋白和某些微量元素在不同严重程度马绞痛中的诊断价值。
这项研究包括61匹马,并根据绞痛的严重程度分为三组,通过心率,口腔粘膜颜色和腹胀来评估。各组分为绞窄性绞痛组(n=21)、非绞窄性绞痛组(n=20)和对照组(n=20)。测定所有马血清中肿瘤坏死因子α (TNFα)、接触珠蛋白(Hp)、一氧化氮(NO)、丙二醛(MDA)、锌、铁和铜的浓度。进行受试者工作特征(ROC)分析,以评估和比较分析物在敏感性、特异性和曲线下面积(AUC)方面的诊断性能。TNFα对非绞窄性绞痛的诊断准确率最高,临界值为bbb24 mg/l,灵敏度100%,特异性95%,AUC为0.996。对于绞窄性绞痛,TNFα也表现出最佳的诊断性能,截止值为> - 33 mg/l,达到100%的敏感性和特异性,AUC为1.00。其次是Haptoglobin,截止值为bbb52µg/l,灵敏度为95%,特异性为75%,AUC为0.898。本研究为tnf - α检测非绞窄性肠绞痛和tnf - α结合珠蛋白诊断绞窄性肠绞痛提供了新的见解。
本文章由计算机程序翻译,如有差异,请以英文原文为准。
求助全文
约1分钟内获得全文 求助全文
来源期刊
Journal of Equine Science
Journal of Equine Science Veterinary-Equine
CiteScore
1.60
自引率
0.00%
发文量
9
×
引用
GB/T 7714-2015
复制
MLA
复制
APA
复制
导出至
BibTeX EndNote RefMan NoteFirst NoteExpress
×
提示
您的信息不完整,为了账户安全,请先补充。
现在去补充
×
提示
您因"违规操作"
具体请查看互助需知
我知道了
×
提示
确定
请完成安全验证×
copy
已复制链接
快去分享给好友吧!
我知道了
右上角分享
点击右上角分享
0
联系我们:info@booksci.cn Book学术提供免费学术资源搜索服务,方便国内外学者检索中英文文献。致力于提供最便捷和优质的服务体验。 Copyright © 2023 布克学术 All rights reserved.
京ICP备2023020795号-1
ghs 京公网安备 11010802042870号
Book学术文献互助
Book学术文献互助群
群 号:604180095
Book学术官方微信
小红书