Translation, cultural adaptation, and psychometric validation of the Female Sexual Function Index to Lebanese Arabic (FSFI-LB).

IF 2 3区 医学 Q1 MEDICINE, GENERAL & INTERNAL
Sexual Medicine Pub Date : 2025-08-05 eCollection Date: 2025-08-01 DOI:10.1093/sexmed/qfaf055
Stephanie Zakhour, Walter Gonçalves, Hugo Santos, Douglas Rodrigues, Nadine El Kassis, David Atallah, Antonio Egídio Nardi, Aline Sardinha
{"title":"Translation, cultural adaptation, and psychometric validation of the Female Sexual Function Index to Lebanese Arabic (FSFI-LB).","authors":"Stephanie Zakhour, Walter Gonçalves, Hugo Santos, Douglas Rodrigues, Nadine El Kassis, David Atallah, Antonio Egídio Nardi, Aline Sardinha","doi":"10.1093/sexmed/qfaf055","DOIUrl":null,"url":null,"abstract":"<p><strong>Background: </strong>The Female Sexual Function Index (FSFI) is widely used to assess female sexual function, but its applicability in Lebanon is limited due to linguistic and cultural barriers.</p><p><strong>Aim: </strong>This study aimed to develop and validate a Lebanese Arabic version of the FSFI (FSFI-LB) to improve accessibility for clinical and research use.</p><p><strong>Methods: </strong>A study was conducted with 119 Lebanese women between April 2023 and June 2024 at Hôtel-Dieu de France Hospital, Beirut. The FSFI was translated, back-translated, and psychometrically validated using exploratory factor analysis, Cronbach's alpha, test-retest reliability, and factor correlations.</p><p><strong>Outcomes: </strong>The FSFI-LB showed excellent internal consistency (Cronbach's alpha = 0.973) and test-retest reliability (<i>r</i> = 0.9997), with a Kaiser-Meyer-Olkin value of 0.925 and significant Bartlett's test of sphericity (<i>P</i> < .001). Test-retest reliability was assessed in a subsample of 42 participants after 4 weeks and demonstrated high consistency across all domains (<i>r</i> > 0.99) and total scale reliability (<i>r</i> = 0.9997).</p><p><strong>Results: </strong>A six-factor model was retained for the FSFI-LB, aligning with the original FSFI, with the pain domain showing the weakest correlations with other domains. The questionnaire included English translations alongside Arabic terms for improved comprehension.</p><p><strong>Clinical translation: </strong>The FSFI-LB is a reliable tool for assessing female sexual function in Lebanon, ensuring cultural and linguistic sensitivity for diverse populations.</p><p><strong>Strengths and limitations: </strong>The study's strengths include robust psychometric validation and the adaptation of a widely used instrument. The limitations include the focus on a specific Lebanese population, which may limit generalizability to other Arabic-speaking communities.</p><p><strong>Conclusion: </strong>The FSFI-LB is a valid and reliable tool for assessing female sexual function, contributing to the development of culturally appropriate measures in sexual health research and clinical practice.</p>","PeriodicalId":21782,"journal":{"name":"Sexual Medicine","volume":"13 4","pages":"qfaf055"},"PeriodicalIF":2.0000,"publicationDate":"2025-08-05","publicationTypes":"Journal Article","fieldsOfStudy":null,"isOpenAccess":false,"openAccessPdf":"https://www.ncbi.nlm.nih.gov/pmc/articles/PMC12358250/pdf/","citationCount":"0","resultStr":null,"platform":"Semanticscholar","paperid":null,"PeriodicalName":"Sexual Medicine","FirstCategoryId":"3","ListUrlMain":"https://doi.org/10.1093/sexmed/qfaf055","RegionNum":3,"RegionCategory":"医学","ArticlePicture":[],"TitleCN":null,"AbstractTextCN":null,"PMCID":null,"EPubDate":"2025/8/1 0:00:00","PubModel":"eCollection","JCR":"Q1","JCRName":"MEDICINE, GENERAL & INTERNAL","Score":null,"Total":0}
引用次数: 0

Abstract

Background: The Female Sexual Function Index (FSFI) is widely used to assess female sexual function, but its applicability in Lebanon is limited due to linguistic and cultural barriers.

Aim: This study aimed to develop and validate a Lebanese Arabic version of the FSFI (FSFI-LB) to improve accessibility for clinical and research use.

Methods: A study was conducted with 119 Lebanese women between April 2023 and June 2024 at Hôtel-Dieu de France Hospital, Beirut. The FSFI was translated, back-translated, and psychometrically validated using exploratory factor analysis, Cronbach's alpha, test-retest reliability, and factor correlations.

Outcomes: The FSFI-LB showed excellent internal consistency (Cronbach's alpha = 0.973) and test-retest reliability (r = 0.9997), with a Kaiser-Meyer-Olkin value of 0.925 and significant Bartlett's test of sphericity (P < .001). Test-retest reliability was assessed in a subsample of 42 participants after 4 weeks and demonstrated high consistency across all domains (r > 0.99) and total scale reliability (r = 0.9997).

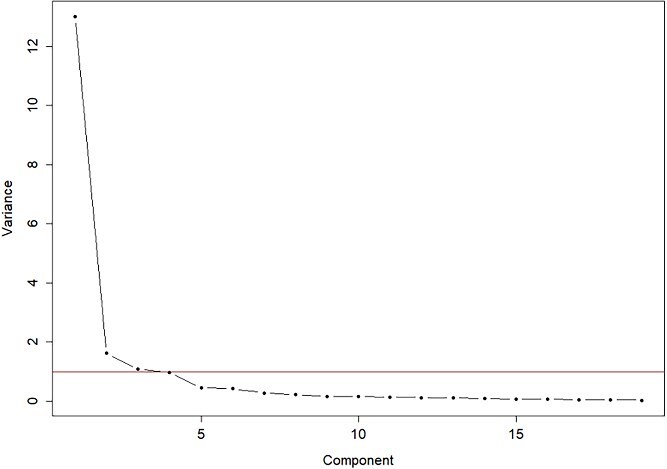
Results: A six-factor model was retained for the FSFI-LB, aligning with the original FSFI, with the pain domain showing the weakest correlations with other domains. The questionnaire included English translations alongside Arabic terms for improved comprehension.

Clinical translation: The FSFI-LB is a reliable tool for assessing female sexual function in Lebanon, ensuring cultural and linguistic sensitivity for diverse populations.

Strengths and limitations: The study's strengths include robust psychometric validation and the adaptation of a widely used instrument. The limitations include the focus on a specific Lebanese population, which may limit generalizability to other Arabic-speaking communities.

Conclusion: The FSFI-LB is a valid and reliable tool for assessing female sexual function, contributing to the development of culturally appropriate measures in sexual health research and clinical practice.

Abstract Image

黎巴嫩阿拉伯语女性性功能指数(FSFI-LB)的翻译、文化适应和心理测量验证。
背景:女性性功能指数(FSFI)被广泛用于评估女性性功能,但由于语言和文化障碍,其在黎巴嫩的适用性受到限制。目的:本研究旨在开发和验证黎巴嫩阿拉伯语版本的FSFI (FSFI- lb),以提高临床和研究使用的可及性。方法:2023年4月至2024年6月在贝鲁特Hôtel-Dieu de France医院对119名黎巴嫩妇女进行了一项研究。对FSFI进行翻译、反翻译,并使用探索性因子分析、Cronbach’s alpha、重测信度和因子相关性对其进行心理测量学验证。结果:FSFI-LB具有良好的内部一致性(Cronbach's alpha = 0.973)和重测信度(r = 0.9997), Kaiser-Meyer-Olkin值为0.925,Bartlett's球形检验(P = 0.99)和总量表信度(r = 0.9997)显著。结果:FSFI- lb保留了一个六因素模型,与原始FSFI一致,疼痛域与其他域的相关性最弱。问卷包括英语翻译和阿拉伯语术语,以提高理解能力。临床翻译:FSFI-LB是评估黎巴嫩女性性功能的可靠工具,确保不同人群的文化和语言敏感性。优势和局限性:该研究的优势包括强大的心理测量验证和广泛使用的工具的适应性。这些限制包括集中于特定的黎巴嫩人口,这可能限制推广到其他讲阿拉伯语的社区。结论:FSFI-LB是一种有效、可靠的评估女性性功能的工具,有助于在性健康研究和临床实践中制定适合文化的措施。
本文章由计算机程序翻译,如有差异,请以英文原文为准。
求助全文
约1分钟内获得全文 求助全文
来源期刊
Sexual Medicine
Sexual Medicine MEDICINE, GENERAL & INTERNAL-
CiteScore
5.40
自引率
0.00%
发文量
103
审稿时长
22 weeks
期刊介绍: Sexual Medicine is an official publication of the International Society for Sexual Medicine, and serves the field as the peer-reviewed, open access journal for rapid dissemination of multidisciplinary clinical and basic research in all areas of global sexual medicine, and particularly acts as a venue for topics of regional or sub-specialty interest. The journal is focused on issues in clinical medicine and epidemiology but also publishes basic science papers with particular relevance to specific populations. Sexual Medicine offers clinicians and researchers a rapid route to publication and the opportunity to publish in a broadly distributed and highly visible global forum. The journal publishes high quality articles from all over the world and actively seeks submissions from countries with expanding sexual medicine communities. Sexual Medicine relies on the same expert panel of editors and reviewers as The Journal of Sexual Medicine and Sexual Medicine Reviews.
×
引用
GB/T 7714-2015
复制
MLA
复制
APA
复制
导出至
BibTeX EndNote RefMan NoteFirst NoteExpress
×
提示
您的信息不完整,为了账户安全,请先补充。
现在去补充
×
提示
您因"违规操作"
具体请查看互助需知
我知道了
×
提示
确定
请完成安全验证×
copy
已复制链接
快去分享给好友吧!
我知道了
右上角分享
点击右上角分享
0
联系我们:info@booksci.cn Book学术提供免费学术资源搜索服务,方便国内外学者检索中英文文献。致力于提供最便捷和优质的服务体验。 Copyright © 2023 布克学术 All rights reserved.
京ICP备2023020795号-1
ghs 京公网安备 11010802042870号
Book学术文献互助
Book学术文献互助群
群 号:604180095
Book学术官方微信