Variants of NLRP genes encoding subcortical maternal complex components are linked to biparental placental mesenchymal dysplasia.

IF 4.3 3区 医学 Q2 GENETICS & HEREDITY
Ayaka Murase, Hiroyuki Mishima, Saori Aoki, Satoshi Hara, Musashi Kubiura-Ichimaru, Takashi Ohba, Koh-Ichiro Yoshiura, Hidenobu Soejima
{"title":"Variants of NLRP genes encoding subcortical maternal complex components are linked to biparental placental mesenchymal dysplasia.","authors":"Ayaka Murase, Hiroyuki Mishima, Saori Aoki, Satoshi Hara, Musashi Kubiura-Ichimaru, Takashi Ohba, Koh-Ichiro Yoshiura, Hidenobu Soejima","doi":"10.1186/s40246-025-00814-w","DOIUrl":null,"url":null,"abstract":"<p><strong>Background: </strong>Placental mesenchymal dysplasia (PMD) is a placental abnormality resembling partial hydatidiform moles without trophoblastic proliferation. Although many PMD cases involve androgenetic/biparental mosaicism or chimerism, we recently reported that approximately 30% of cases retain biparental genomes (BiPMD) and exhibit aberrant methylation at multiple imprinted differentially methylated regions (DMRs). This resembles multilocus imprinting disturbances (MLIDs) and biparental hydatidiform moles (BiHMs), which are associated with pathogenic variants in subcortical maternal complex (SCMC) genes. However, the involvement of SCMC variants in BiPMD pathogenesis remains unclear.</p><p><strong>Results: </strong>We performed whole-exome sequencing on seven mothers with BiPMD during pregnancy, focusing on SCMC-related and DNA methylation maintenance genes. We identified compound heterozygous frameshift and missense variants in NLRP5 in one mother, and a heterozygous missense variant in NLRP2 in another. In silico predictions suggested that the NLRP5 frameshift variant was pathogenic, whereas the missense variants were deemed likely benign. Methylation specific-multiplex ligation-dependent probe amplification (MS-MLPA) of placental tissues revealed aberrant methylation patterns in multiple imprinted DMRs. The affected DMRs varied between cases and within the same case, with abnormalities also observed in macroscopically normal placental regions.</p><p><strong>Conclusions: </strong>These findings suggest that maternal variants in NLRP genes, which encode components of the SCMC, may contribute to the development of BiPMD with MLIDs. SCMC dysfunction due to SCMC gene mutations may cause aberrant methylation at imprinted DMRs in early embryos with cell-to-cell variation in the affected DMRs among cells, leading to a mosaic pattern of abnormal cells and normal cells. Through differentiation into placental tissues in this mosaic condition, BiPMD with aberrant methylation of multiple DMRs can occur. Taken together, our findings support the hypothesis that MLID in live-born individuals, BiPMD, and BiHMs may collectively represent a continuum within the MLID spectrum. Further studies are needed to elucidate how SCMC dysfunction leads to imprinting errors and to improve the diagnosis and understanding of PMD and related imprinting disorders.</p>","PeriodicalId":13183,"journal":{"name":"Human Genomics","volume":"19 1","pages":"94"},"PeriodicalIF":4.3000,"publicationDate":"2025-08-19","publicationTypes":"Journal Article","fieldsOfStudy":null,"isOpenAccess":false,"openAccessPdf":"https://www.ncbi.nlm.nih.gov/pmc/articles/PMC12366317/pdf/","citationCount":"0","resultStr":null,"platform":"Semanticscholar","paperid":null,"PeriodicalName":"Human Genomics","FirstCategoryId":"3","ListUrlMain":"https://doi.org/10.1186/s40246-025-00814-w","RegionNum":3,"RegionCategory":"医学","ArticlePicture":[],"TitleCN":null,"AbstractTextCN":null,"PMCID":null,"EPubDate":"","PubModel":"","JCR":"Q2","JCRName":"GENETICS & HEREDITY","Score":null,"Total":0}
引用次数: 0

Abstract

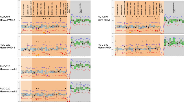
Background: Placental mesenchymal dysplasia (PMD) is a placental abnormality resembling partial hydatidiform moles without trophoblastic proliferation. Although many PMD cases involve androgenetic/biparental mosaicism or chimerism, we recently reported that approximately 30% of cases retain biparental genomes (BiPMD) and exhibit aberrant methylation at multiple imprinted differentially methylated regions (DMRs). This resembles multilocus imprinting disturbances (MLIDs) and biparental hydatidiform moles (BiHMs), which are associated with pathogenic variants in subcortical maternal complex (SCMC) genes. However, the involvement of SCMC variants in BiPMD pathogenesis remains unclear.

Results: We performed whole-exome sequencing on seven mothers with BiPMD during pregnancy, focusing on SCMC-related and DNA methylation maintenance genes. We identified compound heterozygous frameshift and missense variants in NLRP5 in one mother, and a heterozygous missense variant in NLRP2 in another. In silico predictions suggested that the NLRP5 frameshift variant was pathogenic, whereas the missense variants were deemed likely benign. Methylation specific-multiplex ligation-dependent probe amplification (MS-MLPA) of placental tissues revealed aberrant methylation patterns in multiple imprinted DMRs. The affected DMRs varied between cases and within the same case, with abnormalities also observed in macroscopically normal placental regions.

Conclusions: These findings suggest that maternal variants in NLRP genes, which encode components of the SCMC, may contribute to the development of BiPMD with MLIDs. SCMC dysfunction due to SCMC gene mutations may cause aberrant methylation at imprinted DMRs in early embryos with cell-to-cell variation in the affected DMRs among cells, leading to a mosaic pattern of abnormal cells and normal cells. Through differentiation into placental tissues in this mosaic condition, BiPMD with aberrant methylation of multiple DMRs can occur. Taken together, our findings support the hypothesis that MLID in live-born individuals, BiPMD, and BiHMs may collectively represent a continuum within the MLID spectrum. Further studies are needed to elucidate how SCMC dysfunction leads to imprinting errors and to improve the diagnosis and understanding of PMD and related imprinting disorders.

Abstract Image

Abstract Image

编码皮质下母体复合物成分的NLRP基因变异与双亲胎盘间充质发育不良有关。
背景:胎盘间充质发育不良(PMD)是一种类似部分葡萄胎的胎盘异常,没有滋养细胞增生。尽管许多PMD病例涉及雄激素基因/双亲嵌合或嵌合,但我们最近报道了大约30%的病例保留了双亲基因组(BiPMD),并在多个印迹差异甲基化区域(DMRs)表现出异常甲基化。这类似于多位点印记干扰(MLIDs)和双亲本包体痣(BiHMs),它们与皮质下母体复合物(SCMC)基因的致病变异有关。然而,SCMC变异在BiPMD发病机制中的作用尚不清楚。结果:我们对7名怀孕期间患有BiPMD的母亲进行了全外显子组测序,重点关注scmc相关基因和DNA甲基化维持基因。我们在一个母亲NLRP5中发现了复合杂合移码和错义变体,在另一个母亲NLRP2中发现了杂合错义变体。计算机预测表明NLRP5移码变体是致病的,而错义变体被认为可能是良性的。胎盘组织甲基化特异性多重连接依赖探针扩增(MS-MLPA)揭示了多个印迹dmr中甲基化模式的异常。受影响的DMRs在病例之间和同一病例内变化,在宏观上正常的胎盘区域也观察到异常。结论:这些发现表明,编码SCMC成分的NLRP基因的母系变异可能有助于MLIDs合并BiPMD的发展。SCMC基因突变导致的SCMC功能障碍可能导致早期胚胎中印迹DMRs的异常甲基化,细胞间受影响的DMRs在细胞间发生变异,导致异常细胞和正常细胞的马赛克模式。在这种嵌合状态下,通过向胎盘组织的分化,可以发生具有多个DMRs异常甲基化的BiPMD。综上所述,我们的研究结果支持这样的假设,即活产个体的MLID、BiPMD和BiHMs可能共同代表了MLID谱系中的一个连续体。需要进一步的研究来阐明SCMC功能障碍如何导致印迹错误,并提高对PMD和相关印迹疾病的诊断和理解。
本文章由计算机程序翻译,如有差异,请以英文原文为准。
求助全文
约1分钟内获得全文 求助全文
来源期刊
Human Genomics
Human Genomics GENETICS & HEREDITY-
CiteScore
6.00
自引率
2.20%
发文量
55
审稿时长
11 weeks
期刊介绍: Human Genomics is a peer-reviewed, open access, online journal that focuses on the application of genomic analysis in all aspects of human health and disease, as well as genomic analysis of drug efficacy and safety, and comparative genomics. Topics covered by the journal include, but are not limited to: pharmacogenomics, genome-wide association studies, genome-wide sequencing, exome sequencing, next-generation deep-sequencing, functional genomics, epigenomics, translational genomics, expression profiling, proteomics, bioinformatics, animal models, statistical genetics, genetic epidemiology, human population genetics and comparative genomics.
×
引用
GB/T 7714-2015
复制
MLA
复制
APA
复制
导出至
BibTeX EndNote RefMan NoteFirst NoteExpress
×
提示
您的信息不完整,为了账户安全,请先补充。
现在去补充
×
提示
您因"违规操作"
具体请查看互助需知
我知道了
×
提示
确定
请完成安全验证×
copy
已复制链接
快去分享给好友吧!
我知道了
右上角分享
点击右上角分享
0
联系我们:info@booksci.cn Book学术提供免费学术资源搜索服务,方便国内外学者检索中英文文献。致力于提供最便捷和优质的服务体验。 Copyright © 2023 布克学术 All rights reserved.
京ICP备2023020795号-1
ghs 京公网安备 11010802042870号
Book学术文献互助
Book学术文献互助群
群 号:604180095
Book学术官方微信