Improving risk stratification of PI-RADS 3 + 1 lesions of the peripheral zone: expert lexicon of terms, multi-reader performance and contribution of artificial intelligence.

IF 3.5 2区 医学 Q2 ONCOLOGY
Philip A Glemser, Nils Netzer, Christian H Ziener, Markus Wilhelm, Thomas Hielscher, Kevin Sun Zhang, Magdalena Görtz, Viktoria Schütz, Albrecht Stenzinger, Markus Hohenfellner, Heinz-Peter Schlemmer, David Bonekamp
{"title":"Improving risk stratification of PI-RADS 3 + 1 lesions of the peripheral zone: expert lexicon of terms, multi-reader performance and contribution of artificial intelligence.","authors":"Philip A Glemser, Nils Netzer, Christian H Ziener, Markus Wilhelm, Thomas Hielscher, Kevin Sun Zhang, Magdalena Görtz, Viktoria Schütz, Albrecht Stenzinger, Markus Hohenfellner, Heinz-Peter Schlemmer, David Bonekamp","doi":"10.1186/s40644-025-00916-7","DOIUrl":null,"url":null,"abstract":"<p><strong>Background: </strong>According to PI-RADS v2.1, peripheral PI-RADS 3 lesions are upgraded to PI-RADS 4 if dynamic contrast-enhanced MRI is positive (3+1 lesions), however those lesions are radiologically challenging. We aimed to define criteria by expert consensus and test applicability by other radiologists for sPC prediction of PI-RADS 3+1 lesions and determine their value in integrated regression models.</p><p><strong>Methods: </strong>From consecutive 3 Tesla MR examinations performed between 08/2016 to 12/2018 we identified 85 MRI examinations from 83 patients with a total of 94 PI-RADS 3+1 lesions in the official clinical report. Lesions were retrospectively assessed by expert consensus with construction of a newly devised feature catalogue which was utilized subsequently by two additional radiologists specialized in prostate MRI for independent lesion assessment. With reference to extended fused targeted and systematic TRUS/MRI-biopsy histopathological correlation, relevant catalogue features were identified by univariate analysis and put into context to typically available clinical features and automated AI image assessment utilizing lasso-penalized logistic regression models, also focusing on the contribution of DCE imaging (feature-based, bi- and multiparametric AI-enhanced and solely bi- and multiparametric AI-driven).</p><p><strong>Results: </strong>The feature catalog enabled image-based lesional risk stratification for all readers. Expert consensus provided 3 significant features in univariate analysis (adj. p-value <0.05; most relevant feature T2w configuration: \"irregular/microlobulated/spiculated\", OR 9.0 (95%CI 2.3-44.3); adj. p-value: 0.016). These remained after lasso penalized regression based feature reduction, while the only selected clinical feature was prostate volume (OR<1), enabling nomogram construction. While DCE-derived consensus features did not enhance model performance (bootstrapped AUC), there was a trend for increased performance by including multiparametric AI, but not biparametric AI into models, both for combined and AI-only models.</p><p><strong>Conclusions: </strong>PI-RADS 3+1 lesions can be risk-stratified using lexicon terms and a key feature nomogram. AI potentially benefits more from DCE imaging than experienced prostate radiologists.</p><p><strong>Clinical trial number: </strong>Not applicable.</p>","PeriodicalId":9548,"journal":{"name":"Cancer Imaging","volume":"25 1","pages":"102"},"PeriodicalIF":3.5000,"publicationDate":"2025-08-19","publicationTypes":"Journal Article","fieldsOfStudy":null,"isOpenAccess":false,"openAccessPdf":"https://www.ncbi.nlm.nih.gov/pmc/articles/PMC12366217/pdf/","citationCount":"0","resultStr":null,"platform":"Semanticscholar","paperid":null,"PeriodicalName":"Cancer Imaging","FirstCategoryId":"3","ListUrlMain":"https://doi.org/10.1186/s40644-025-00916-7","RegionNum":2,"RegionCategory":"医学","ArticlePicture":[],"TitleCN":null,"AbstractTextCN":null,"PMCID":null,"EPubDate":"","PubModel":"","JCR":"Q2","JCRName":"ONCOLOGY","Score":null,"Total":0}
引用次数: 0

Abstract

Background: According to PI-RADS v2.1, peripheral PI-RADS 3 lesions are upgraded to PI-RADS 4 if dynamic contrast-enhanced MRI is positive (3+1 lesions), however those lesions are radiologically challenging. We aimed to define criteria by expert consensus and test applicability by other radiologists for sPC prediction of PI-RADS 3+1 lesions and determine their value in integrated regression models.

Methods: From consecutive 3 Tesla MR examinations performed between 08/2016 to 12/2018 we identified 85 MRI examinations from 83 patients with a total of 94 PI-RADS 3+1 lesions in the official clinical report. Lesions were retrospectively assessed by expert consensus with construction of a newly devised feature catalogue which was utilized subsequently by two additional radiologists specialized in prostate MRI for independent lesion assessment. With reference to extended fused targeted and systematic TRUS/MRI-biopsy histopathological correlation, relevant catalogue features were identified by univariate analysis and put into context to typically available clinical features and automated AI image assessment utilizing lasso-penalized logistic regression models, also focusing on the contribution of DCE imaging (feature-based, bi- and multiparametric AI-enhanced and solely bi- and multiparametric AI-driven).

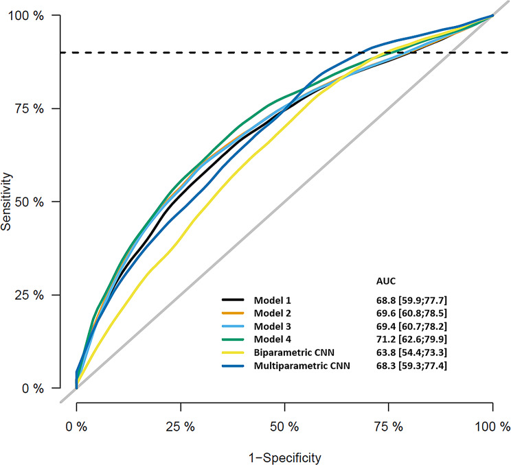
Results: The feature catalog enabled image-based lesional risk stratification for all readers. Expert consensus provided 3 significant features in univariate analysis (adj. p-value <0.05; most relevant feature T2w configuration: "irregular/microlobulated/spiculated", OR 9.0 (95%CI 2.3-44.3); adj. p-value: 0.016). These remained after lasso penalized regression based feature reduction, while the only selected clinical feature was prostate volume (OR<1), enabling nomogram construction. While DCE-derived consensus features did not enhance model performance (bootstrapped AUC), there was a trend for increased performance by including multiparametric AI, but not biparametric AI into models, both for combined and AI-only models.

Conclusions: PI-RADS 3+1 lesions can be risk-stratified using lexicon terms and a key feature nomogram. AI potentially benefits more from DCE imaging than experienced prostate radiologists.

Clinical trial number: Not applicable.

Abstract Image

Abstract Image

Abstract Image

改善PI-RADS外围区3 + 1病变的风险分层:专家词汇、多读本性能及人工智能贡献
背景:根据PI-RADS v2.1,如果动态增强MRI呈阳性(3+1病变),周围PI-RADS 3病变可升级为PI-RADS 4,然而这些病变在放射学上具有挑战性。我们的目标是通过专家共识来定义标准,并测试其他放射科医生对PI-RADS 3+1病变的sPC预测的适用性,并确定其在综合回归模型中的价值。方法:从2016年8月至2018年12月连续3次Tesla MR检查中,鉴定83例患者85次MRI检查,共94例正式临床报告PI-RADS 3+1病变。病变回顾性评估专家共识与建设新设计的特征目录,随后利用另外两名放射科医生专门从事前列腺MRI独立病变评估。参考扩展的融合靶向和系统TRUS/ mri活检组织病理学相关性,通过单变量分析确定相关目录特征,并将其与典型可用的临床特征和使用lasso-penalized logistic回归模型的自动AI图像评估相结合,同时关注DCE成像的贡献(基于特征,双参数和多参数AI增强,单参数和多参数AI驱动)。结果:特征目录为所有读者实现了基于图像的病变风险分层。专家共识在单变量分析中提供了3个显著特征(形容词p值)结论:PI-RADS 3+1病变可以使用词典术语和关键特征nomogram进行风险分层。相比经验丰富的前列腺放射科医生,人工智能从DCE成像中获益更多。临床试验号:不适用。
本文章由计算机程序翻译,如有差异,请以英文原文为准。
求助全文
约1分钟内获得全文 求助全文
来源期刊
Cancer Imaging
Cancer Imaging ONCOLOGY-RADIOLOGY, NUCLEAR MEDICINE & MEDICAL IMAGING
CiteScore
7.00
自引率
0.00%
发文量
66
审稿时长
>12 weeks
期刊介绍: Cancer Imaging is an open access, peer-reviewed journal publishing original articles, reviews and editorials written by expert international radiologists working in oncology. The journal encompasses CT, MR, PET, ultrasound, radionuclide and multimodal imaging in all kinds of malignant tumours, plus new developments, techniques and innovations. Topics of interest include: Breast Imaging Chest Complications of treatment Ear, Nose & Throat Gastrointestinal Hepatobiliary & Pancreatic Imaging biomarkers Interventional Lymphoma Measurement of tumour response Molecular functional imaging Musculoskeletal Neuro oncology Nuclear Medicine Paediatric.
×
引用
GB/T 7714-2015
复制
MLA
复制
APA
复制
导出至
BibTeX EndNote RefMan NoteFirst NoteExpress
×
提示
您的信息不完整,为了账户安全,请先补充。
现在去补充
×
提示
您因"违规操作"
具体请查看互助需知
我知道了
×
提示
确定
请完成安全验证×
copy
已复制链接
快去分享给好友吧!
我知道了
右上角分享
点击右上角分享
0
联系我们:info@booksci.cn Book学术提供免费学术资源搜索服务,方便国内外学者检索中英文文献。致力于提供最便捷和优质的服务体验。 Copyright © 2023 布克学术 All rights reserved.
京ICP备2023020795号-1
ghs 京公网安备 11010802042870号
Book学术文献互助
Book学术文献互助群
群 号:604180095
Book学术官方微信