Non-invasive MRI-based assessment of reactive stromal grade in prostate cancer using diffusion kurtosis imaging and stretched-exponential model.

IF 3.2 3区 医学 Q2 RADIOLOGY, NUCLEAR MEDICINE & MEDICAL IMAGING
Kun-Peng Zhou, Hua-Bin Huang, Shu-Yi Li, Zhong-Xing Luo, Xian-Wen Cheng, Di-Min Liu, Jie Bian, Qing-Yu Liu
{"title":"Non-invasive MRI-based assessment of reactive stromal grade in prostate cancer using diffusion kurtosis imaging and stretched-exponential model.","authors":"Kun-Peng Zhou, Hua-Bin Huang, Shu-Yi Li, Zhong-Xing Luo, Xian-Wen Cheng, Di-Min Liu, Jie Bian, Qing-Yu Liu","doi":"10.1186/s12880-025-01881-0","DOIUrl":null,"url":null,"abstract":"<p><strong>Objectives: </strong>Reactive stroma plays a pivotal role in the genesis, progression, and metastasis of prostate cancer (PCa). Higher reactive stromal grade (RSG) generally portends a poorer prognosis. The aim of the study is non-invasively evaluate RSG by preoperative mono-exponential model, stretch-exponent model (SEM) and diffusion kurtosis imaging (DKI), and isolate the independent predictor of high RSG (> 50% reactive stroma) in parameters of mono-exponential model, SEM and DKI.</p><p><strong>Methods: </strong>Totally, 54 low RSG (≤ 50% reactive stroma) patients and 26 high RSG patients were prospectively enrolled in the study. Apparent diffusion coefficient (ADC), mean kurtosis (MK), mean diffusivity (MD), distributed diffusion coefficient (DDC), and heterogeneity index (α) values of all lesions were measured on GE Workstation 4.6. Spearman's rank correlation analysis was used to analysis the correlation between RSG and parameters of SEM and DKI. Receiver-operating characteristic (ROC) curve analysis was performed to evaluate the diagnostic performance of those parameters in differentiating low RSG and high RSG. DeLong's test was used to assess whether the differences of AUC for each parameter were statistically significant. Binary logistic regression analysis was performed to identify independent predictors of high RSG.</p><p><strong>Results: </strong>ADC (r = - 0.352, p = 0.001), DDC (r = - 0.579, p < 0.001) and MD (r = - 0.597, p < 0.001) values showed significant negative correlations with RSG, while MK value (r = 0.658, p < 0.001) demonstrated a significant positive correlation. MK (AUC = 0.816, p < 0.001) was superior to ADC (AUC = 0.717, p < 0.001), DDC (AUC = 0.781, p < 0.001) and MD (AUC = 0.774, p < 0.001) in differentiating low and high RSG, but the differences between these AUCs were not statistically significant (all p > 0.05). Binary logistic regression analysis demonstrated a statistically significant model (χ² =43.222, p < 0.001), and showed that MK (odds ratio = 10.185; 95% CI: 2.467 ~ 21.694; p < 0.001) and MD (odds ratio = 0.014; 95% CI: 0.003 ~ 0.367; p < 0.001) were the independent predictors of high RSG.</p><p><strong>Conclusion: </strong>Although ADC, DDC, and MD values were significantly negatively correlated with RSG, and MK was significantly positively correlated, and all three models-mono-exponential model, SEM, and DKI-demonstrated good performance in differentiating between low and high RSG, only parameters MD and MK values of DKI were identified as independent predictors of high RSG.</p>","PeriodicalId":9020,"journal":{"name":"BMC Medical Imaging","volume":"25 1","pages":"339"},"PeriodicalIF":3.2000,"publicationDate":"2025-08-19","publicationTypes":"Journal Article","fieldsOfStudy":null,"isOpenAccess":false,"openAccessPdf":"https://www.ncbi.nlm.nih.gov/pmc/articles/PMC12366237/pdf/","citationCount":"0","resultStr":null,"platform":"Semanticscholar","paperid":null,"PeriodicalName":"BMC Medical Imaging","FirstCategoryId":"3","ListUrlMain":"https://doi.org/10.1186/s12880-025-01881-0","RegionNum":3,"RegionCategory":"医学","ArticlePicture":[],"TitleCN":null,"AbstractTextCN":null,"PMCID":null,"EPubDate":"","PubModel":"","JCR":"Q2","JCRName":"RADIOLOGY, NUCLEAR MEDICINE & MEDICAL IMAGING","Score":null,"Total":0}
引用次数: 0

Abstract

Objectives: Reactive stroma plays a pivotal role in the genesis, progression, and metastasis of prostate cancer (PCa). Higher reactive stromal grade (RSG) generally portends a poorer prognosis. The aim of the study is non-invasively evaluate RSG by preoperative mono-exponential model, stretch-exponent model (SEM) and diffusion kurtosis imaging (DKI), and isolate the independent predictor of high RSG (> 50% reactive stroma) in parameters of mono-exponential model, SEM and DKI.

Methods: Totally, 54 low RSG (≤ 50% reactive stroma) patients and 26 high RSG patients were prospectively enrolled in the study. Apparent diffusion coefficient (ADC), mean kurtosis (MK), mean diffusivity (MD), distributed diffusion coefficient (DDC), and heterogeneity index (α) values of all lesions were measured on GE Workstation 4.6. Spearman's rank correlation analysis was used to analysis the correlation between RSG and parameters of SEM and DKI. Receiver-operating characteristic (ROC) curve analysis was performed to evaluate the diagnostic performance of those parameters in differentiating low RSG and high RSG. DeLong's test was used to assess whether the differences of AUC for each parameter were statistically significant. Binary logistic regression analysis was performed to identify independent predictors of high RSG.

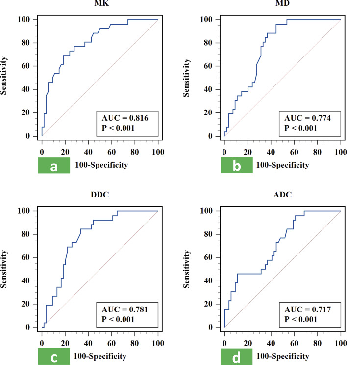
Results: ADC (r = - 0.352, p = 0.001), DDC (r = - 0.579, p < 0.001) and MD (r = - 0.597, p < 0.001) values showed significant negative correlations with RSG, while MK value (r = 0.658, p < 0.001) demonstrated a significant positive correlation. MK (AUC = 0.816, p < 0.001) was superior to ADC (AUC = 0.717, p < 0.001), DDC (AUC = 0.781, p < 0.001) and MD (AUC = 0.774, p < 0.001) in differentiating low and high RSG, but the differences between these AUCs were not statistically significant (all p > 0.05). Binary logistic regression analysis demonstrated a statistically significant model (χ² =43.222, p < 0.001), and showed that MK (odds ratio = 10.185; 95% CI: 2.467 ~ 21.694; p < 0.001) and MD (odds ratio = 0.014; 95% CI: 0.003 ~ 0.367; p < 0.001) were the independent predictors of high RSG.

Conclusion: Although ADC, DDC, and MD values were significantly negatively correlated with RSG, and MK was significantly positively correlated, and all three models-mono-exponential model, SEM, and DKI-demonstrated good performance in differentiating between low and high RSG, only parameters MD and MK values of DKI were identified as independent predictors of high RSG.

Abstract Image

Abstract Image

Abstract Image

利用弥散峰度成像和扩展指数模型对前列腺癌反应性间质分级进行无创mri评估。
目的:反应性基质在前列腺癌(PCa)的发生、发展和转移中起着关键作用。较高的反应性间质分级(RSG)通常预示着较差的预后。本研究的目的是通过术前单指数模型、拉伸指数模型(SEM)和扩散峰度成像(DKI)对RSG进行无创评估,并在单指数模型、SEM和DKI参数中分离高RSG(> 50%反应性基质)的独立预测因子。方法:共前瞻性纳入54例低RSG(≤50%反应性基质)患者和26例高RSG患者。在GE Workstation 4.6上测量所有病变的表观扩散系数(ADC)、平均峰度(MK)、平均扩散系数(MD)、分布扩散系数(DDC)和异质性指数(α)值。采用Spearman秩相关分析分析RSG与SEM、DKI参数的相关性。采用受试者工作特征(ROC)曲线分析,评价这些参数在鉴别低RSG和高RSG中的诊断效能。采用DeLong检验法评估各参数AUC的差异是否有统计学意义。采用二元logistic回归分析确定高RSG的独立预测因素。结果:ADC (r = - 0.352, p = 0.001),如DDC (r = - 0.579, p 0.05)。结论:虽然ADC、DDC、MD值与RSG呈显著负相关,而MK值与RSG呈显著正相关,且单指数模型、SEM和DKI均能较好地区分RSG高低,但只有DKI参数MD和MK值可作为高RSG的独立预测因子。
本文章由计算机程序翻译,如有差异,请以英文原文为准。
求助全文
约1分钟内获得全文 求助全文
来源期刊
BMC Medical Imaging
BMC Medical Imaging RADIOLOGY, NUCLEAR MEDICINE & MEDICAL IMAGING-
CiteScore
4.60
自引率
3.70%
发文量
198
审稿时长
27 weeks
期刊介绍: BMC Medical Imaging is an open access journal publishing original peer-reviewed research articles in the development, evaluation, and use of imaging techniques and image processing tools to diagnose and manage disease.
×
引用
GB/T 7714-2015
复制
MLA
复制
APA
复制
导出至
BibTeX EndNote RefMan NoteFirst NoteExpress
×
提示
您的信息不完整,为了账户安全,请先补充。
现在去补充
×
提示
您因"违规操作"
具体请查看互助需知
我知道了
×
提示
确定
请完成安全验证×
copy
已复制链接
快去分享给好友吧!
我知道了
右上角分享
点击右上角分享
0
联系我们:info@booksci.cn Book学术提供免费学术资源搜索服务,方便国内外学者检索中英文文献。致力于提供最便捷和优质的服务体验。 Copyright © 2023 布克学术 All rights reserved.
京ICP备2023020795号-1
ghs 京公网安备 11010802042870号
Book学术文献互助
Book学术文献互助群
群 号:604180095
Book学术官方微信